Номер 7.6, страница 219 - гдз по алгебре 11 класс учебник Никольский, Потапов

Алгебра, 11 класс Учебник, авторы: Никольский Сергей Михайлович, Потапов Михаил Константинович, Решетников Николай Николаевич, Шевкин Александр Владимирович, издательство Просвещение, Москва, 2014, голубого цвета

Авторы: Никольский С. М., Потапов М. К., Решетников Н. Н., Шевкин А. В.

Тип: Учебник

Серия: мгу - школе

Издательство: Просвещение

Год издания: 2014 - 2026

Уровень обучения: базовый и углублённый

Цвет обложки: голубой в сеточку

ISBN: 978-5-09-087641-4

Допущено Министерством просвещения Российской Федерации

Математика: алгебра и начала математического анализа, геометрия

Популярные ГДЗ в 11 классе

Глава 2. Уравнения. Неравенства. Системы. Параграф 7. Равносильность уравнений и неравенств - номер 7.6, страница 219.

№7.6 (с. 219)
Условие. №7.6 (с. 219)
скриншот условия
Алгебра, 11 класс Учебник, авторы: Никольский Сергей Михайлович, Потапов Михаил Константинович, Решетников Николай Николаевич, Шевкин Александр Владимирович, издательство Просвещение, Москва, 2014, голубого цвета, страница 219, номер 7.6, Условие

7.6 а) $\sqrt[3]{x} = x;$

Б) $3\sqrt[3]{x} = x - 2;$

В) $4\sqrt[3]{x + 2} = x + 2;$

Г) $3\sqrt[3]{x - 2} = x.$

Решение 1. №7.6 (с. 219)
Алгебра, 11 класс Учебник, авторы: Никольский Сергей Михайлович, Потапов Михаил Константинович, Решетников Николай Николаевич, Шевкин Александр Владимирович, издательство Просвещение, Москва, 2014, голубого цвета, страница 219, номер 7.6, Решение 1
Алгебра, 11 класс Учебник, авторы: Никольский Сергей Михайлович, Потапов Михаил Константинович, Решетников Николай Николаевич, Шевкин Александр Владимирович, издательство Просвещение, Москва, 2014, голубого цвета, страница 219, номер 7.6, Решение 1 (продолжение 2)
Решение 2. №7.6 (с. 219)
Алгебра, 11 класс Учебник, авторы: Никольский Сергей Михайлович, Потапов Михаил Константинович, Решетников Николай Николаевич, Шевкин Александр Владимирович, издательство Просвещение, Москва, 2014, голубого цвета, страница 219, номер 7.6, Решение 2
Алгебра, 11 класс Учебник, авторы: Никольский Сергей Михайлович, Потапов Михаил Константинович, Решетников Николай Николаевич, Шевкин Александр Владимирович, издательство Просвещение, Москва, 2014, голубого цвета, страница 219, номер 7.6, Решение 2 (продолжение 2)
Решение 4. №7.6 (с. 219)

а) Дано уравнение $\sqrt[3]{x} = x$.
Чтобы избавиться от знака корня, возведем обе части уравнения в третью степень. Это преобразование является равносильным, так как корень нечетной степени определен для любых действительных чисел.
$(\sqrt[3]{x})^3 = x^3$
$x = x^3$
Перенесем все члены уравнения в левую часть:
$x^3 - x = 0$
Вынесем общий множитель $x$ за скобки:
$x(x^2 - 1) = 0$
Применим формулу разности квадратов $a^2 - b^2 = (a-b)(a+b)$ к выражению в скобках:
$x(x - 1)(x + 1) = 0$
Произведение равно нулю тогда и только тогда, когда хотя бы один из множителей равен нулю. Отсюда получаем три корня:
$x_1 = 0$
$x_2 - 1 = 0 \Rightarrow x_2 = 1$
$x_3 + 1 = 0 \Rightarrow x_3 = -1$

Ответ: $x = -1; 0; 1$.

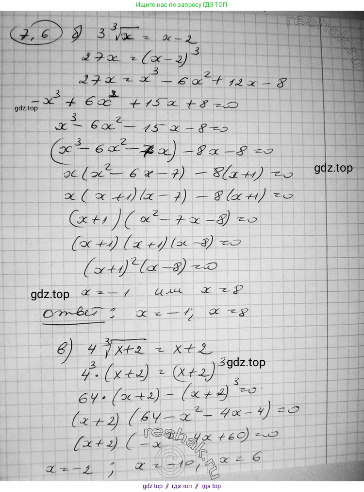
б) Дано уравнение $3\sqrt[3]{x} = x - 2$.
Для удобства решения введем замену переменной. Пусть $y = \sqrt[3]{x}$, тогда $x = y^3$.
Подставим новую переменную в исходное уравнение:
$3y = y^3 - 2$
Перенесем все члены в одну сторону и получим кубическое уравнение относительно $y$:
$y^3 - 3y - 2 = 0$
Найдем целые корни этого уравнения среди делителей свободного члена $-2$ (т.е. среди чисел $\pm1, \pm2$).
Проверим $y = -1$: $(-1)^3 - 3(-1) - 2 = -1 + 3 - 2 = 0$. Корень найден.
Проверим $y = 2$: $2^3 - 3(2) - 2 = 8 - 6 - 2 = 0$. Корень найден.
Разделив многочлен $y^3 - 3y - 2$ на $(y+1)$, получим $y^2 - y - 2$.
Таким образом, уравнение можно переписать в виде $(y+1)(y^2 - y - 2) = 0$.
Решим квадратное уравнение $y^2 - y - 2 = 0$. Его корни $y=2$ и $y=-1$.
Следовательно, уравнение для $y$ имеет два различных корня: $y_1 = -1$ и $y_2 = 2$.
Теперь вернемся к исходной переменной $x$, используя формулу $x = y^3$.
Если $y_1 = -1$, то $x_1 = (-1)^3 = -1$.
Если $y_2 = 2$, то $x_2 = 2^3 = 8$.

Ответ: $x = -1; 8$.

в) Дано уравнение $4\sqrt[3]{x+2} = x+2$.
Введем замену переменной. Пусть $y = \sqrt[3]{x+2}$, тогда $y^3 = x+2$.
Подставим новую переменную в уравнение:
$4y = y^3$
Перенесем все члены в одну сторону:
$y^3 - 4y = 0$
Вынесем $y$ за скобки:
$y(y^2 - 4) = 0$
Разложим на множители разность квадратов:
$y(y - 2)(y + 2) = 0$
Получаем три решения для $y$: $y_1 = 0$, $y_2 = 2$, $y_3 = -2$.
Теперь найдем соответствующие значения $x$ из соотношения $x = y^3 - 2$.
При $y_1 = 0$: $x_1 = 0^3 - 2 = -2$.
При $y_2 = 2$: $x_2 = 2^3 - 2 = 8 - 2 = 6$.
При $y_3 = -2$: $x_3 = (-2)^3 - 2 = -8 - 2 = -10$.

Ответ: $x = -10; -2; 6$.

г) Дано уравнение $3\sqrt[3]{x-2} = x$.
Возведем обе части уравнения в третью степень:
$(3\sqrt[3]{x-2})^3 = x^3$
$27(x-2) = x^3$
Раскроем скобки:
$27x - 54 = x^3$
Перенесем все члены в одну сторону:
$x^3 - 27x + 54 = 0$
Найдем целые корни этого уравнения среди делителей свободного члена $54$.
Проверим $x = 3$: $3^3 - 27(3) + 54 = 27 - 81 + 54 = 0$. Корень найден.
Проверим $x = -6$: $(-6)^3 - 27(-6) + 54 = -216 + 162 + 54 = 0$. Корень найден.
Разделив многочлен $x^3 - 27x + 54$ на $(x-3)$, получим $x^2 + 3x - 18$.
Таким образом, уравнение можно представить в виде $(x-3)(x^2 + 3x - 18) = 0$.
Решим квадратное уравнение $x^2 + 3x - 18 = 0$. Его можно разложить на множители: $(x-3)(x+6) = 0$. Корни $x=3$ и $x=-6$.
Следовательно, исходное кубическое уравнение имеет два различных корня: $x_1 = -6$ и $x_2 = 3$.

Ответ: $x = -6; 3$.

Помогло решение? Оставьте отзыв в комментариях ниже.

Присоединяйтесь к Телеграм-группе @top_gdz

Присоединиться

Мы подготовили для вас ответ c подробным объяснением домашего задания по алгебре за 11 класс, для упражнения номер 7.6 расположенного на странице 219 к учебнику серии мгу - школе 2014 года издания для учащихся школ и гимназий.

Теперь на нашем сайте ГДЗ.ТОП вы всегда легко и бесплатно найдёте условие с правильным ответом на вопрос «Как решить ДЗ» и «Как сделать» задание по алгебре к упражнению №7.6 (с. 219), авторов: Никольский (Сергей Михайлович), Потапов (Михаил Константинович), Решетников (Николай Николаевич), Шевкин (Александр Владимирович), ФГОС (старый) базовый и углублённый уровень обучения учебного пособия издательства Просвещение.