Номер 1.50, страница 16 - гдз по алгебре 7 класс учебник Арефьева, Пирютко

Алгебра, 7 класс Учебник, авторы: Арефьева Ирина Глебовна, Пирютко Ольга Николаевна, издательство Народная асвета, Минск, 2022, зелёного цвета

Авторы: Арефьева И. Г., Пирютко О. Н.

Тип: Учебник

Издательство: Народная асвета

Год издания: 2022 - 2026

Цвет обложки: зелёный с графиком

ISBN: ISBN 978-985-03-3770-2

Допущено Министерством образования Республики Беларусь

Популярные ГДЗ в 7 классе

Глава 1. Степень с натуральным и целым показателями. Параграф 1. Степень с натуральным показателем и ее свойства - номер 1.50, страница 16.

№1.50 (с. 16)
Условие. №1.50 (с. 16)
скриншот условия
Алгебра, 7 класс Учебник, авторы: Арефьева Ирина Глебовна, Пирютко Ольга Николаевна, издательство Народная асвета, Минск, 2022, зелёного цвета, страница 16, номер 1.50, Условие

1.50. Представьте произведение степеней в виде степени и найдите значение выражения:

а) $2^5 \cdot 5^5$;

б) $0,25^9 \cdot 4^9$;

в) $(-\frac{1}{3})^7 \cdot 3^7$;

г) $7^4 \cdot (\frac{1}{14})^4$;

д) $0,8^6 \cdot 0,125^6$;

е) $(-12)^3 \cdot 0,25^3$.

Решение. №1.50 (с. 16)
Алгебра, 7 класс Учебник, авторы: Арефьева Ирина Глебовна, Пирютко Ольга Николаевна, издательство Народная асвета, Минск, 2022, зелёного цвета, страница 16, номер 1.50, Решение
Решение 2. №1.50 (с. 16)

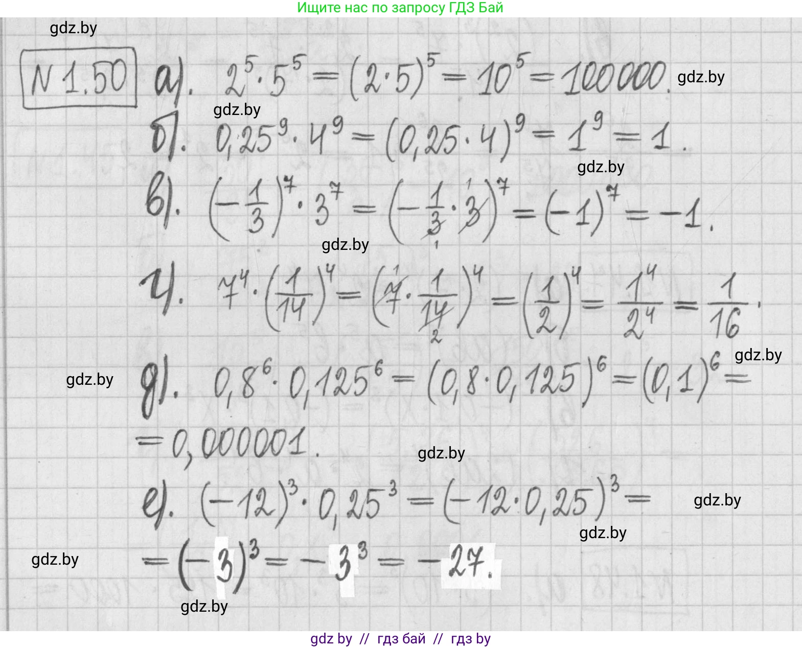
а) $2^5 \cdot 5^5$

Для решения используем свойство произведения степеней с одинаковыми показателями: $a^n \cdot b^n = (a \cdot b)^n$.

Представим произведение в виде степени:

$2^5 \cdot 5^5 = (2 \cdot 5)^5 = 10^5$

Теперь найдем значение этого выражения:

$10^5 = 100000$

Ответ: 100000

б) $0,25^9 \cdot 4^9$

Применяем то же свойство степеней:

$0,25^9 \cdot 4^9 = (0,25 \cdot 4)^9 = 1^9$

Найдем значение выражения:

$1^9 = 1$

Ответ: 1

в) $(-\frac{1}{3})^7 \cdot 3^7$

Используем свойство произведения степеней:

$(-\frac{1}{3})^7 \cdot 3^7 = (-\frac{1}{3} \cdot 3)^7 = (-1)^7$

Найдем значение выражения. Так как показатель степени (7) нечетный, результат будет отрицательным:

$(-1)^7 = -1$

Ответ: -1

г) $7^4 \cdot (\frac{1}{14})^4$

Снова применяем свойство произведения степеней:

$7^4 \cdot (\frac{1}{14})^4 = (7 \cdot \frac{1}{14})^4 = (\frac{7}{14})^4 = (\frac{1}{2})^4$

Найдем значение выражения:

$(\frac{1}{2})^4 = \frac{1^4}{2^4} = \frac{1}{16}$

Ответ: $\frac{1}{16}$

д) $0,8^6 \cdot 0,125^6$

Используем свойство произведения степеней:

$0,8^6 \cdot 0,125^6 = (0,8 \cdot 0,125)^6$

Вычислим произведение в скобках:

$0,8 \cdot 0,125 = 0,1$

Таким образом, выражение принимает вид:

$(0,1)^6 = 0,000001$

Ответ: 0,000001

е) $(-12)^3 \cdot 0,25^3$

Применяем свойство произведения степеней:

$(-12)^3 \cdot 0,25^3 = (-12 \cdot 0,25)^3$

Вычислим произведение в скобках:

$-12 \cdot 0,25 = -12 \cdot \frac{1}{4} = -3$

Таким образом, получаем:

$(-3)^3 = -27$

Ответ: -27

Помогло решение? Оставьте отзыв в комментариях ниже.

Присоединяйтесь к Телеграм-группе @gdz_by_belarus

Присоединиться

Мы подготовили для вас ответ c подробным объяснением домашего задания по алгебре за 7 класс, для упражнения номер 1.50 расположенного на странице 16 к учебнику 2022 года издания для учащихся школ и гимназий.

Теперь на нашем сайте ГДЗ.ТОП вы всегда легко и бесплатно найдёте условие с правильным ответом на вопрос «Как решить ДЗ» и «Как сделать» задание по алгебре к упражнению №1.50 (с. 16), авторов: Арефьева (Ирина Глебовна), Пирютко (Ольга Николаевна), учебного пособия издательства Народная асвета.