Номер 1.57, страница 17 - гдз по алгебре 7 класс учебник Арефьева, Пирютко

Алгебра, 7 класс Учебник, авторы: Арефьева Ирина Глебовна, Пирютко Ольга Николаевна, издательство Народная асвета, Минск, 2022, зелёного цвета

Авторы: Арефьева И. Г., Пирютко О. Н.

Тип: Учебник

Издательство: Народная асвета

Год издания: 2022 - 2026

Цвет обложки: зелёный с графиком

ISBN: ISBN 978-985-03-3770-2

Допущено Министерством образования Республики Беларусь

Популярные ГДЗ в 7 классе

Глава 1. Степень с натуральным и целым показателями. Параграф 1. Степень с натуральным показателем и ее свойства - номер 1.57, страница 17.

№1.57 (с. 17)
Условие. №1.57 (с. 17)
скриншот условия
Алгебра, 7 класс Учебник, авторы: Арефьева Ирина Глебовна, Пирютко Ольга Николаевна, издательство Народная асвета, Минск, 2022, зелёного цвета, страница 17, номер 1.57, Условие

1.57*. Докажите, что значение выражения не зависит от $n$:

а) $12^{n+2} : 12^{n+1};$

б) $\frac{3^{2n+6} \cdot 3^{n+1}}{3^{3n-2}};$

В) $\frac{(5^{n-1})^2 \cdot 5^{3n+7}}{5^{5n+3}}.$

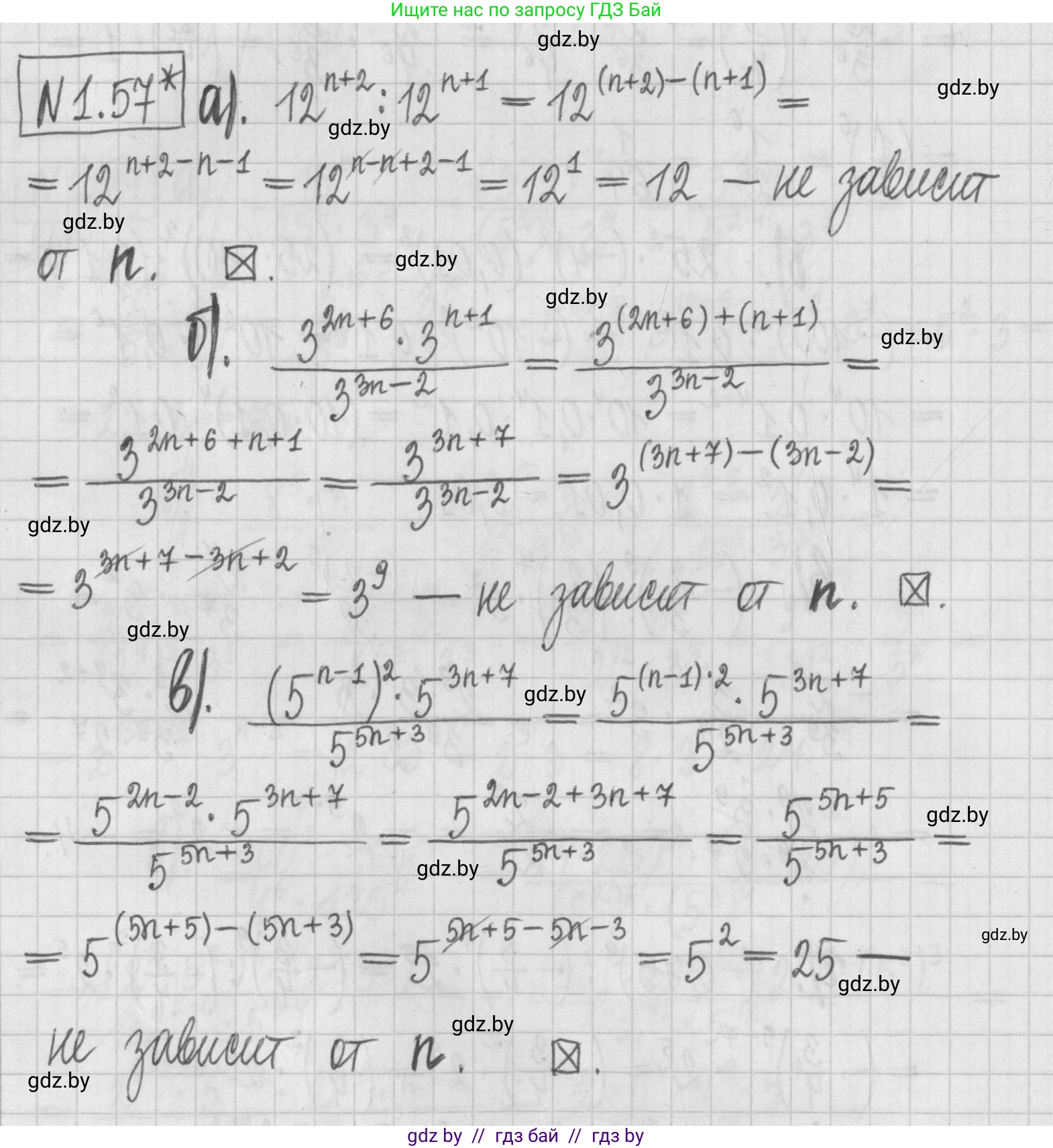
Решение. №1.57 (с. 17)
Алгебра, 7 класс Учебник, авторы: Арефьева Ирина Глебовна, Пирютко Ольга Николаевна, издательство Народная асвета, Минск, 2022, зелёного цвета, страница 17, номер 1.57, Решение
Решение 2. №1.57 (с. 17)

Доказательство, что значение выражения не зависит от n

Для доказательства мы упростим каждое выражение, используя свойства степеней. Если в итоговом выражении переменная $n$ сократится, и останется только числовое значение (константа), то это будет доказывать, что значение выражения не зависит от $n$.

Основные свойства степеней, которые мы будем использовать:

  • При умножении степеней с одинаковым основанием их показатели складываются: $a^m \cdot a^k = a^{m+k}$
  • При делении степеней с одинаковым основанием из показателя делимого вычитается показатель делителя: $a^m : a^k = \frac{a^m}{a^k} = a^{m-k}$
  • При возведении степени в степень показатели перемножаются: $(a^m)^k = a^{m \cdot k}$

а) Упростим выражение $12^{n+2} : 12^{n+1}$.

Согласно правилу деления степеней с одинаковым основанием, вычитаем показатели:

$12^{n+2} : 12^{n+1} = 12^{(n+2) - (n+1)} = 12^{n+2-n-1} = 12^1 = 12$.

Результат является константой (числом 12) и не содержит переменную $n$. Следовательно, значение выражения не зависит от $n$.

Ответ: 12.


б) Упростим выражение $\frac{3^{2n+6} \cdot 3^{n+1}}{3^{3n-2}}$.

1. Сначала упростим числитель, используя правило умножения степеней (сложим их показатели):

$3^{2n+6} \cdot 3^{n+1} = 3^{(2n+6) + (n+1)} = 3^{3n+7}$.

2. Теперь разделим полученное выражение в числителе на знаменатель, используя правило деления степеней (вычтем показатели):

$\frac{3^{3n+7}}{3^{3n-2}} = 3^{(3n+7) - (3n-2)} = 3^{3n+7-3n+2} = 3^9$.

3. Вычислим значение $3^9$:

$3^9 = 19683$.

Результат является константой (числом 19683) и не содержит переменную $n$. Следовательно, значение выражения не зависит от $n$.

Ответ: 19683.


в) Упростим выражение $\frac{(5^{n-1})^2 \cdot 5^{3n+7}}{5^{5n+3}}$.

1. Сначала упростим числитель. Начнем с возведения степени в степень (перемножим показатели):

$(5^{n-1})^2 = 5^{(n-1) \cdot 2} = 5^{2n-2}$.

2. Теперь выполним умножение в числителе (сложим показатели):

$5^{2n-2} \cdot 5^{3n+7} = 5^{(2n-2) + (3n+7)} = 5^{5n+5}$.

3. Разделим полученный числитель на знаменатель (вычтем показатели):

$\frac{5^{5n+5}}{5^{5n+3}} = 5^{(5n+5) - (5n+3)} = 5^{5n+5-5n-3} = 5^2$.

4. Вычислим значение $5^2$:

$5^2 = 25$.

Результат является константой (числом 25) и не содержит переменную $n$. Следовательно, значение выражения не зависит от $n$.

Ответ: 25.

Помогло решение? Оставьте отзыв в комментариях ниже.

Присоединяйтесь к Телеграм-группе @gdz_by_belarus

Присоединиться

Мы подготовили для вас ответ c подробным объяснением домашего задания по алгебре за 7 класс, для упражнения номер 1.57 расположенного на странице 17 к учебнику 2022 года издания для учащихся школ и гимназий.

Теперь на нашем сайте ГДЗ.ТОП вы всегда легко и бесплатно найдёте условие с правильным ответом на вопрос «Как решить ДЗ» и «Как сделать» задание по алгебре к упражнению №1.57 (с. 17), авторов: Арефьева (Ирина Глебовна), Пирютко (Ольга Николаевна), учебного пособия издательства Народная асвета.