Номер 4.133, страница 289 - гдз по алгебре 7 класс учебник Арефьева, Пирютко

Алгебра, 7 класс Учебник, авторы: Арефьева Ирина Глебовна, Пирютко Ольга Николаевна, издательство Народная асвета, Минск, 2022, зелёного цвета

Авторы: Арефьева И. Г., Пирютко О. Н.

Тип: Учебник

Издательство: Народная асвета

Год издания: 2022 - 2026

Цвет обложки: зелёный с графиком

ISBN: ISBN 978-985-03-3770-2

Допущено Министерством образования Республики Беларусь

Популярные ГДЗ в 7 классе

Глава 4. Системы двух линейных уравнений с двумя переменными. Параграф 24. Способы решения системы линейных уравнений с двумя переменными - номер 4.133, страница 289.

№4.133 (с. 289)
Условие. №4.133 (с. 289)
скриншот условия
Алгебра, 7 класс Учебник, авторы: Арефьева Ирина Глебовна, Пирютко Ольга Николаевна, издательство Народная асвета, Минск, 2022, зелёного цвета, страница 289, номер 4.133, Условие

4.133. Решите неравенство:

a) $3(x-2)+1 \le 4x$;

б) $\frac{15+2c}{9} - \frac{1-c}{5} < \frac{c}{3}$.

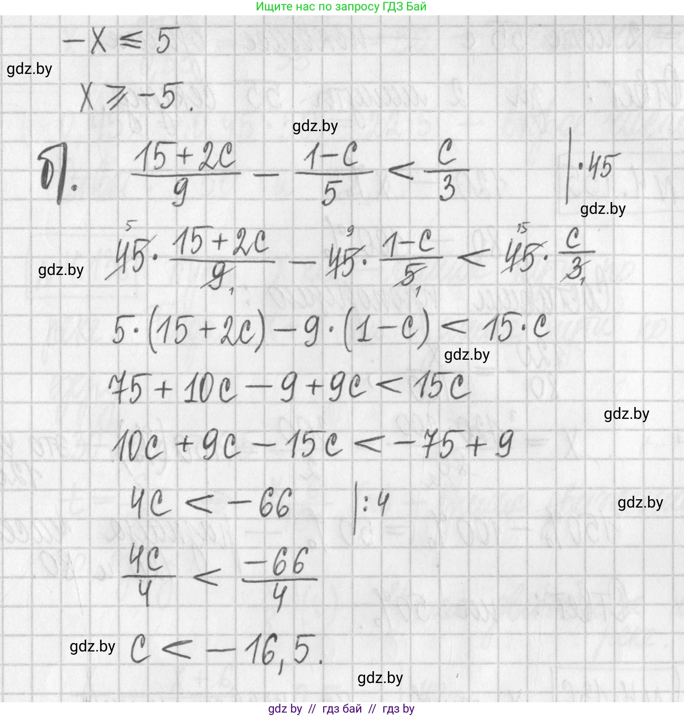
Решение. №4.133 (с. 289)
Алгебра, 7 класс Учебник, авторы: Арефьева Ирина Глебовна, Пирютко Ольга Николаевна, издательство Народная асвета, Минск, 2022, зелёного цвета, страница 289, номер 4.133, Решение Алгебра, 7 класс Учебник, авторы: Арефьева Ирина Глебовна, Пирютко Ольга Николаевна, издательство Народная асвета, Минск, 2022, зелёного цвета, страница 289, номер 4.133, Решение (продолжение 2)
Решение 2. №4.133 (с. 289)

а) Решим неравенство $3(x-2) + 1 \le 4x$.

1. Раскроем скобки в левой части неравенства, умножив 3 на каждый член в скобках:

$3 \cdot x - 3 \cdot 2 + 1 \le 4x$

$3x - 6 + 1 \le 4x$

2. Упростим выражение в левой части, сложив константы:

$3x - 5 \le 4x$

3. Перенесем все члены с переменной $x$ в одну сторону, а константы — в другую. Вычтем $3x$ из обеих частей неравенства:

$-5 \le 4x - 3x$

4. Упростим правую часть:

$-5 \le x$

Это неравенство можно записать в более привычном виде $x \ge -5$.

Ответ: $x \ge -5$.


б) Решим неравенство $\frac{15+2c}{9} - \frac{1-c}{5} < \frac{c}{3}$.

1. Чтобы избавиться от дробей, найдем наименьшее общее кратное (НОК) знаменателей 9, 5 и 3. НОК(9, 5, 3) = 45.

2. Умножим обе части неравенства на 45. Так как 45 — положительное число, знак неравенства не меняется.

$45 \cdot \left(\frac{15+2c}{9} - \frac{1-c}{5}\right) < 45 \cdot \left(\frac{c}{3}\right)$

$\frac{45 \cdot (15+2c)}{9} - \frac{45 \cdot (1-c)}{5} < \frac{45c}{3}$

3. Выполним сокращение в каждом члене:

$5(15+2c) - 9(1-c) < 15c$

4. Раскроем скобки. Обратим внимание на знак "минус" перед второй скобкой:

$75 + 10c - 9 - (-9c) < 15c$

$75 + 10c - 9 + 9c < 15c$

5. Сгруппируем и приведем подобные слагаемые в левой части:

$(10c + 9c) + (75 - 9) < 15c$

$19c + 66 < 15c$

6. Перенесем члены с переменной $c$ в левую часть, а константы — в правую:

$19c - 15c < -66$

$4c < -66$

7. Разделим обе части неравенства на 4:

$c < -\frac{66}{4}$

8. Сократим дробь, разделив числитель и знаменатель на 2:

$c < -\frac{33}{2}$

9. Преобразуем неправильную дробь в смешанное число, то есть выделим целую часть:

$-\frac{33}{2} = -(16 \cdot 2 + 1)/2 = -16\frac{1}{2}$

Таким образом, решением неравенства является $c < -16\frac{1}{2}$.

Ответ: $c < -16\frac{1}{2}$.

Помогло решение? Оставьте отзыв в комментариях ниже.

Присоединяйтесь к Телеграм-группе @gdz_by_belarus

Присоединиться

Мы подготовили для вас ответ c подробным объяснением домашего задания по алгебре за 7 класс, для упражнения номер 4.133 расположенного на странице 289 к учебнику 2022 года издания для учащихся школ и гимназий.

Теперь на нашем сайте ГДЗ.ТОП вы всегда легко и бесплатно найдёте условие с правильным ответом на вопрос «Как решить ДЗ» и «Как сделать» задание по алгебре к упражнению №4.133 (с. 289), авторов: Арефьева (Ирина Глебовна), Пирютко (Ольга Николаевна), учебного пособия издательства Народная асвета.