Номер 4.128, страница 289 - гдз по алгебре 7 класс учебник Арефьева, Пирютко

Алгебра, 7 класс Учебник, авторы: Арефьева Ирина Глебовна, Пирютко Ольга Николаевна, издательство Народная асвета, Минск, 2022, зелёного цвета

Авторы: Арефьева И. Г., Пирютко О. Н.

Тип: Учебник

Издательство: Народная асвета

Год издания: 2022 - 2026

Цвет обложки: зелёный с графиком

ISBN: ISBN 978-985-03-3770-2

Допущено Министерством образования Республики Беларусь

Популярные ГДЗ в 7 классе

Глава 4. Системы двух линейных уравнений с двумя переменными. Параграф 24. Способы решения системы линейных уравнений с двумя переменными - номер 4.128, страница 289.

№4.128 (с. 289)
Условие. №4.128 (с. 289)
скриншот условия
Алгебра, 7 класс Учебник, авторы: Арефьева Ирина Глебовна, Пирютко Ольга Николаевна, издательство Народная асвета, Минск, 2022, зелёного цвета, страница 289, номер 4.128, Условие

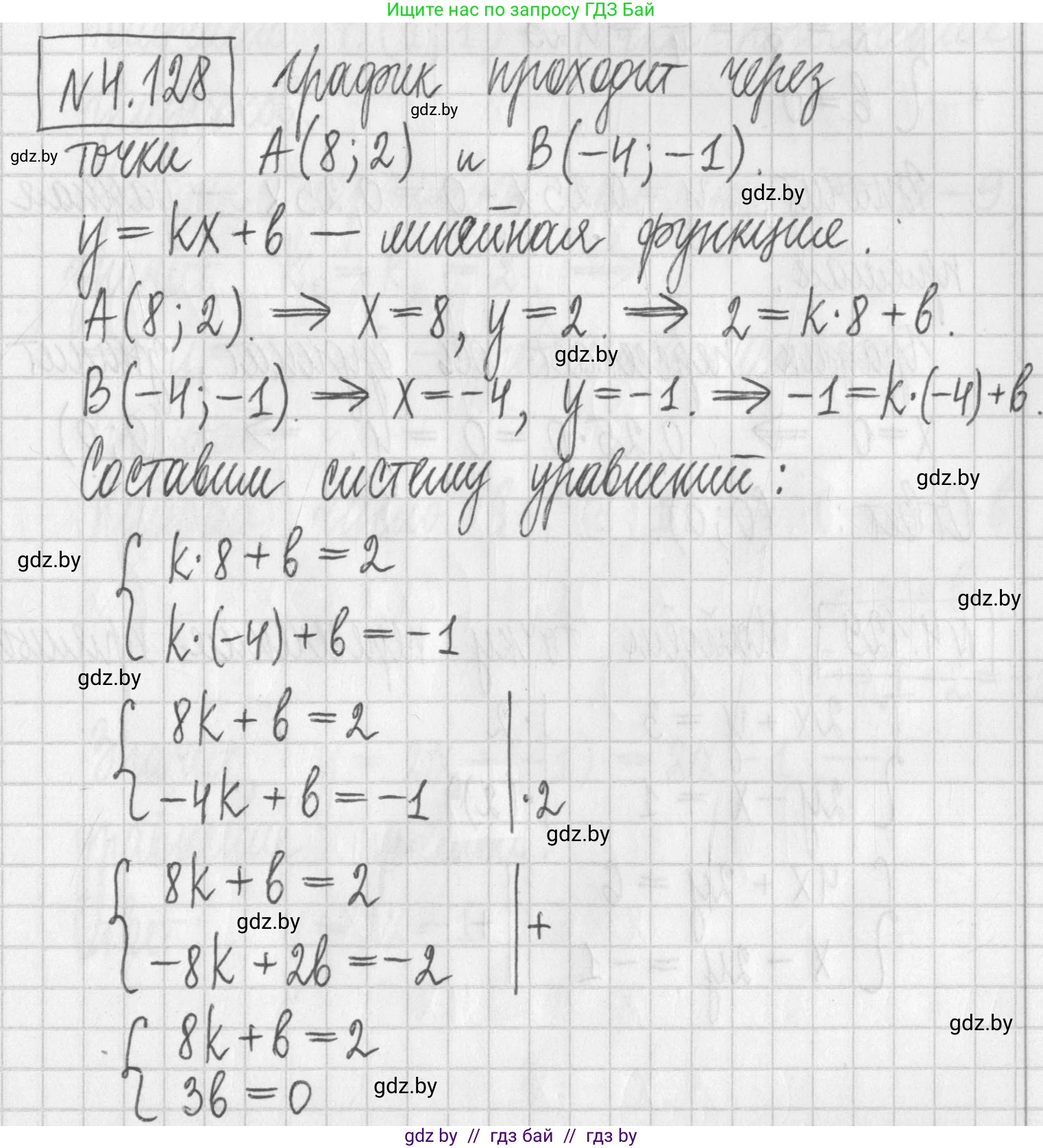
4.128. Прямая проходит через точки $A(8; 2)$ и $B(-4; -1)$. Найдите координаты точки пересечения данной прямой с осью ординат.

Решение. №4.128 (с. 289)
Алгебра, 7 класс Учебник, авторы: Арефьева Ирина Глебовна, Пирютко Ольга Николаевна, издательство Народная асвета, Минск, 2022, зелёного цвета, страница 289, номер 4.128, Решение Алгебра, 7 класс Учебник, авторы: Арефьева Ирина Глебовна, Пирютко Ольга Николаевна, издательство Народная асвета, Минск, 2022, зелёного цвета, страница 289, номер 4.128, Решение (продолжение 2)
Решение 2. №4.128 (с. 289)

Для того чтобы найти координаты точки пересечения прямой с осью ординат, необходимо сначала составить уравнение этой прямой, проходящей через заданные точки $A(8; 2)$ и $B(-4; -1)$.

Уравнение прямой, проходящей через две точки с координатами $(x_1, y_1)$ и $(x_2, y_2)$, задается канонической формулой: $$ \frac{x - x_1}{x_2 - x_1} = \frac{y - y_1}{y_2 - y_1} $$

Подставим координаты точек $A(8; 2)$ и $B(-4; -1)$ в эту формулу: $$ \frac{x - 8}{-4 - 8} = \frac{y - 2}{-1 - 2} $$ $$ \frac{x - 8}{-12} = \frac{y - 2}{-3} $$

Теперь упростим полученное уравнение, чтобы выразить $y$ через $x$. Умножим обе части уравнения на -12: $$ x - 8 = \frac{-12}{-3} \cdot (y - 2) $$ $$ x - 8 = 4(y - 2) $$ $$ x - 8 = 4y - 8 $$

Прибавим 8 к обеим частям уравнения: $$ x = 4y $$ Отсюда выразим $y$, чтобы получить уравнение прямой в виде $y = kx+b$: $$ y = \frac{1}{4}x $$

Прямая пересекает ось ординат (ось Oy) в точке, где абсцисса $x$ равна 0. Чтобы найти ординату точки пересечения, подставим $x = 0$ в уравнение прямой: $$ y = \frac{1}{4} \cdot 0 $$ $$ y = 0 $$

Таким образом, координаты точки пересечения данной прямой с осью ординат равны (0; 0).
Ответ: (0; 0).

Помогло решение? Оставьте отзыв в комментариях ниже.

Присоединяйтесь к Телеграм-группе @gdz_by_belarus

Присоединиться

Мы подготовили для вас ответ c подробным объяснением домашего задания по алгебре за 7 класс, для упражнения номер 4.128 расположенного на странице 289 к учебнику 2022 года издания для учащихся школ и гимназий.

Теперь на нашем сайте ГДЗ.ТОП вы всегда легко и бесплатно найдёте условие с правильным ответом на вопрос «Как решить ДЗ» и «Как сделать» задание по алгебре к упражнению №4.128 (с. 289), авторов: Арефьева (Ирина Глебовна), Пирютко (Ольга Николаевна), учебного пособия издательства Народная асвета.