Номер 4.121, страница 288 - гдз по алгебре 7 класс учебник Арефьева, Пирютко
Авторы: Арефьева И. Г., Пирютко О. Н.
Тип: Учебник
Издательство: Народная асвета
Год издания: 2022 - 2026
Цвет обложки: зелёный с графиком
ISBN: ISBN 978-985-03-3770-2
Допущено Министерством образования Республики Беларусь
Популярные ГДЗ в 7 классе
Глава 4. Системы двух линейных уравнений с двумя переменными. Параграф 24. Способы решения системы линейных уравнений с двумя переменными - номер 4.121, страница 288.
№4.121 (с. 288)
Условие. №4.121 (с. 288)
скриншот условия
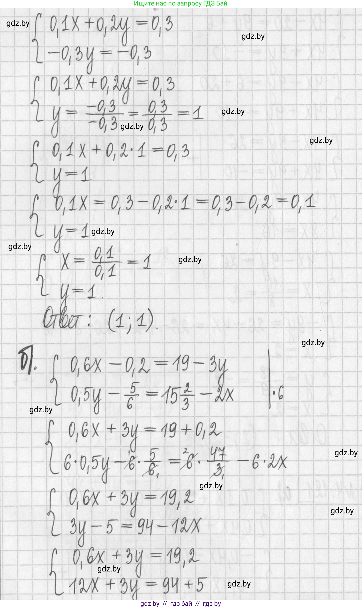
4.121. Решите систему уравнений наиболее рациональным способом:
а) $\begin{cases} 0.1x + 0.2y = 0.3, \\ 0.4x + 0.5y = 0.9; \end{cases}$
б) $\begin{cases} 0.6x - 0.2 = 19 - 3y, \\ 0.5y - \frac{5}{6} = 15\frac{2}{3} - 2x. \end{cases}$
Решение. №4.121 (с. 288)
Решение 2. №4.121 (с. 288)
Требуется решить системы уравнений наиболее рациональным способом.
а) Дана система уравнений:
$$ \begin{cases} 0,1x + 0,2y = 0,3 \\ 0,4x + 0,5y = 0,9 \end{cases} $$Наиболее рациональным первым шагом будет избавление от десятичных дробей. Для этого умножим оба уравнения системы на 10:
$$ \begin{cases} 10 \cdot (0,1x + 0,2y) = 10 \cdot 0,3 \\ 10 \cdot (0,4x + 0,5y) = 10 \cdot 0,9 \end{cases} $$В результате получаем систему с целыми коэффициентами:
$$ \begin{cases} x + 2y = 3 \\ 4x + 5y = 9 \end{cases} $$Решим полученную систему методом алгебраического сложения (методом исключения). Умножим первое уравнение на -4, чтобы коэффициенты при переменной $x$ стали противоположными числами.
$$ -4(x + 2y) = -4 \cdot 3 $$ $$ -4x - 8y = -12 $$Теперь сложим полученное уравнение со вторым уравнением исходной упрощенной системы ($4x + 5y = 9$):
$$ (-4x - 8y) + (4x + 5y) = -12 + 9 $$ $$ -3y = -3 $$ $$ y = 1 $$Подставим найденное значение $y=1$ в первое упрощенное уравнение ($x + 2y = 3$), чтобы найти $x$:
$$ x + 2(1) = 3 $$ $$ x + 2 = 3 $$ $$ x = 3 - 2 $$ $$ x = 1 $$Проверим решение, подставив $x=1$ и $y=1$ в исходные уравнения:
1) $0,1(1) + 0,2(1) = 0,1 + 0,2 = 0,3$ (верно)
2) $0,4(1) + 0,5(1) = 0,4 + 0,5 = 0,9$ (верно)
Ответ: $x=1, y=1$.
б) Дана система уравнений:
$$ \begin{cases} 0,6x - 0,2 = 19 - 3y \\ 0,5y - \frac{5}{6} = 15\frac{2}{3} - 2x \end{cases} $$Для рационального решения сначала преобразуем каждое уравнение, приведя его к стандартному виду $Ax + By = C$ и избавившись от дробей.
Первое уравнение:
$$ 0,6x - 0,2 = 19 - 3y $$Перенесем слагаемое с $y$ в левую часть, а число - в правую:
$$ 0,6x + 3y = 19 + 0,2 $$ $$ 0,6x + 3y = 19,2 $$Умножим уравнение на 10, чтобы избавиться от десятичной дроби:
$$ 6x + 30y = 192 $$Все коэффициенты делятся на 6, разделим уравнение на 6 для упрощения:
$$ x + 5y = 32 $$Второе уравнение:
$$ 0,5y - \frac{5}{6} = 15\frac{2}{3} - 2x $$Перенесем слагаемое с $x$ в левую часть, а число - в правую. Также преобразуем десятичную дробь и смешанное число в обыкновенные дроби: $0,5 = \frac{1}{2}$, $15\frac{2}{3} = \frac{15 \cdot 3 + 2}{3} = \frac{47}{3}$.
$$ 2x + \frac{1}{2}y = \frac{47}{3} + \frac{5}{6} $$Приведем дроби в правой части к общему знаменателю 6:
$$ 2x + \frac{1}{2}y = \frac{47 \cdot 2}{6} + \frac{5}{6} = \frac{94}{6} + \frac{5}{6} = \frac{99}{6} $$Сократим дробь в правой части на 3: $\frac{99}{6} = \frac{33}{2}$.
$$ 2x + \frac{1}{2}y = \frac{33}{2} $$Умножим все уравнение на 2, чтобы избавиться от знаменателей:
$$ 2(2x + \frac{1}{2}y) = 2 \cdot \frac{33}{2} $$ $$ 4x + y = 33 $$Теперь мы имеем упрощенную систему уравнений:
$$ \begin{cases} x + 5y = 32 \\ 4x + y = 33 \end{cases} $$Решим эту систему методом подстановки. Из второго уравнения легко выразить $y$:
$$ y = 33 - 4x $$Подставим это выражение в первое уравнение:
$$ x + 5(33 - 4x) = 32 $$ $$ x + 165 - 20x = 32 $$ $$ -19x = 32 - 165 $$ $$ -19x = -133 $$ $$ x = \frac{-133}{-19} = 7 $$Теперь найдем $y$, подставив значение $x=7$ в выражение для $y$:
$$ y = 33 - 4(7) = 33 - 28 = 5 $$Проверим решение, подставив $x=7$ и $y=5$ в исходные уравнения:
1) $0,6(7) - 0,2 = 4,2 - 0,2 = 4$. Правая часть: $19 - 3(5) = 19 - 15 = 4$. (верно)
2) $0,5(5) - \frac{5}{6} = 2,5 - \frac{5}{6} = \frac{5}{2} - \frac{5}{6} = \frac{15}{6} - \frac{5}{6} = \frac{10}{6} = \frac{5}{3}$. Правая часть: $15\frac{2}{3} - 2(7) = \frac{47}{3} - 14 = \frac{47}{3} - \frac{42}{3} = \frac{5}{3}$. (верно)
Ответ: $x=7, y=5$.
Другие задания:
Помогло решение? Оставьте отзыв в комментариях ниже.
Присоединяйтесь к Телеграм-группе @gdz_by_belarus
ПрисоединитьсяМы подготовили для вас ответ c подробным объяснением домашего задания по алгебре за 7 класс, для упражнения номер 4.121 расположенного на странице 288 к учебнику 2022 года издания для учащихся школ и гимназий.
Теперь на нашем сайте ГДЗ.ТОП вы всегда легко и бесплатно найдёте условие с правильным ответом на вопрос «Как решить ДЗ» и «Как сделать» задание по алгебре к упражнению №4.121 (с. 288), авторов: Арефьева (Ирина Глебовна), Пирютко (Ольга Николаевна), учебного пособия издательства Народная асвета.