Номер 4.123, страница 288 - гдз по алгебре 7 класс учебник Арефьева, Пирютко

Алгебра, 7 класс Учебник, авторы: Арефьева Ирина Глебовна, Пирютко Ольга Николаевна, издательство Народная асвета, Минск, 2022, зелёного цвета

Авторы: Арефьева И. Г., Пирютко О. Н.

Тип: Учебник

Издательство: Народная асвета

Год издания: 2022 - 2026

Цвет обложки: зелёный с графиком

ISBN: ISBN 978-985-03-3770-2

Допущено Министерством образования Республики Беларусь

Популярные ГДЗ в 7 классе

Глава 4. Системы двух линейных уравнений с двумя переменными. Параграф 24. Способы решения системы линейных уравнений с двумя переменными - номер 4.123, страница 288.

№4.123 (с. 288)
Условие. №4.123 (с. 288)
скриншот условия
Алгебра, 7 класс Учебник, авторы: Арефьева Ирина Глебовна, Пирютко Ольга Николаевна, издательство Народная асвета, Минск, 2022, зелёного цвета, страница 288, номер 4.123, Условие

4.123. Решите систему уравнений:

а) $\begin{cases} 3 - (x - 2y) - 4y = 18, \\ 2x - 3y + 3 = 2(3x - y); \end{cases}$

б) $\begin{cases} 3(y - 2x) - (5y + 2) = 5(1 - x), \\ 7 - 6(x + y) = 2(3 - 2x) + y. \end{cases}$

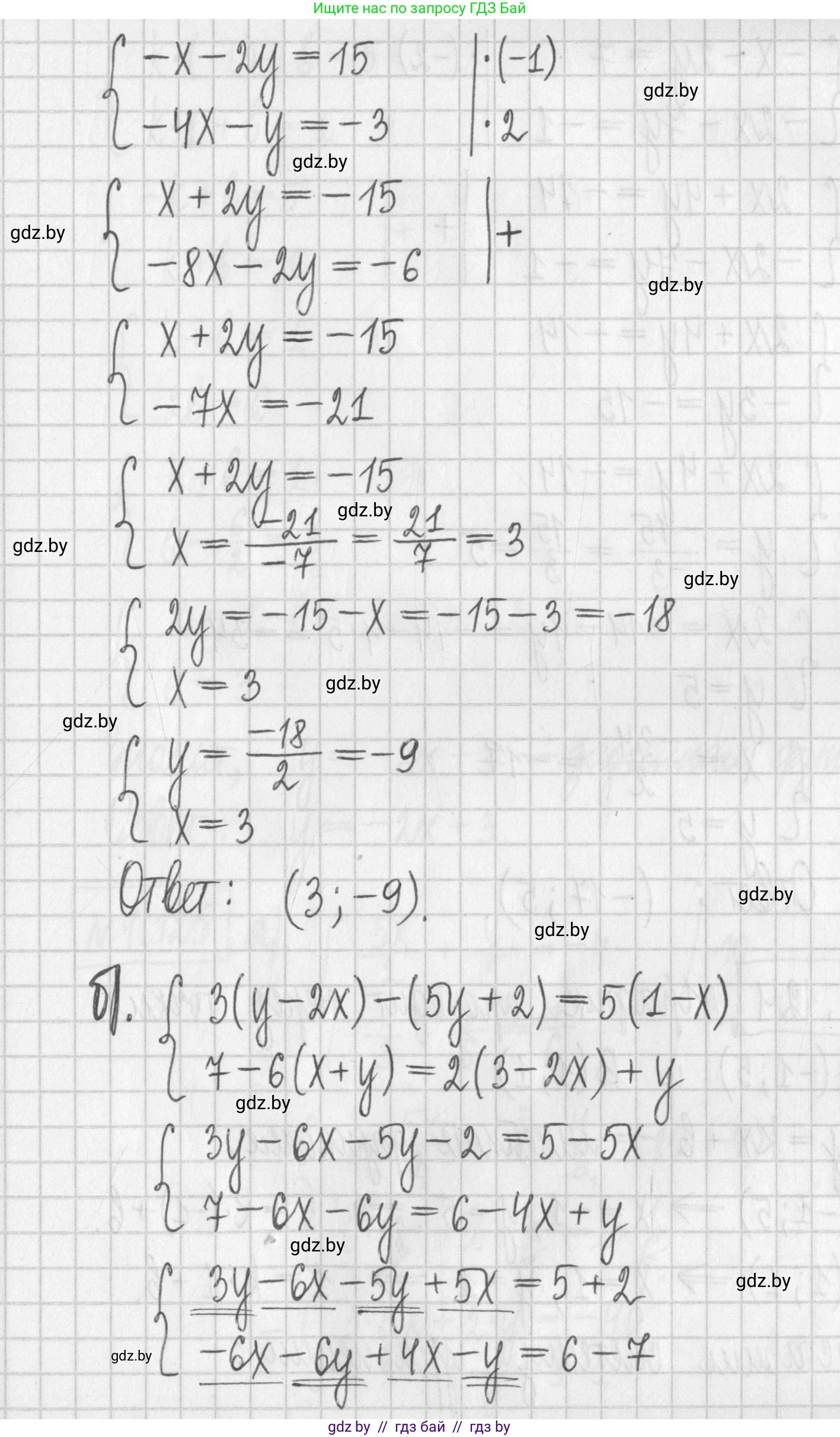
Решение. №4.123 (с. 288)
Алгебра, 7 класс Учебник, авторы: Арефьева Ирина Глебовна, Пирютко Ольга Николаевна, издательство Народная асвета, Минск, 2022, зелёного цвета, страница 288, номер 4.123, Решение Алгебра, 7 класс Учебник, авторы: Арефьева Ирина Глебовна, Пирютко Ольга Николаевна, издательство Народная асвета, Минск, 2022, зелёного цвета, страница 288, номер 4.123, Решение (продолжение 2)
Решение 2. №4.123 (с. 288)

Необходимо решить две системы линейных уравнений.

а) Исходная система уравнений:

$$ \begin{cases} 3 - (x - 2y) - 4y = 18 \\ 2x - 3y + 3 = 2(3x - y) \end{cases} $$

Шаг 1: Упростим каждое уравнение.

Упростим первое уравнение:

$3 - (x - 2y) - 4y = 18$
$3 - x + 2y - 4y = 18$
$-x - 2y = 18 - 3$
$-x - 2y = 15$
Умножим обе части на -1 для удобства:
$x + 2y = -15$

Упростим второе уравнение:

$2x - 3y + 3 = 2(3x - y)$
$2x - 3y + 3 = 6x - 2y$
Перенесем переменные в одну сторону, а константы в другую:
$3 = 6x - 2x - 2y + 3y$
$3 = 4x + y$
$4x + y = 3$

Шаг 2: Решим полученную систему уравнений.

$$ \begin{cases} x + 2y = -15 \\ 4x + y = 3 \end{cases} $$

Воспользуемся методом подстановки. Выразим $y$ из второго уравнения:

$y = 3 - 4x$

Подставим это выражение в первое уравнение:

$x + 2(3 - 4x) = -15$
$x + 6 - 8x = -15$
$-7x = -15 - 6$
$-7x = -21$
$x = \frac{-21}{-7}$
$x = 3$

Теперь найдем $y$, подставив значение $x$ в выражение для $y$:

$y = 3 - 4(3)$
$y = 3 - 12$
$y = -9$

Ответ: $x = 3, y = -9$.


б) Исходная система уравнений:

$$ \begin{cases} 3(y - 2x) - (5y + 2) = 5(1 - x) \\ 7 - 6(x + y) = 2(3 - 2x) + y \end{cases} $$

Шаг 1: Упростим каждое уравнение.

Упростим первое уравнение:

$3(y - 2x) - (5y + 2) = 5(1 - x)$
$3y - 6x - 5y - 2 = 5 - 5x$
$-2y - 6x - 2 = 5 - 5x$
Перенесем переменные в одну сторону, а константы в другую:
$-6x + 5x - 2y = 5 + 2$
$-x - 2y = 7$
$x + 2y = -7$

Упростим второе уравнение:

$7 - 6(x + y) = 2(3 - 2x) + y$
$7 - 6x - 6y = 6 - 4x + y$
Перенесем переменные в одну сторону, а константы в другую:
$-6x + 4x - 6y - y = 6 - 7$
$-2x - 7y = -1$
$2x + 7y = 1$

Шаг 2: Решим полученную систему уравнений.

$$ \begin{cases} x + 2y = -7 \\ 2x + 7y = 1 \end{cases} $$

Воспользуемся методом подстановки. Выразим $x$ из первого уравнения:

$x = -7 - 2y$

Подставим это выражение во второе уравнение:

$2(-7 - 2y) + 7y = 1$
$-14 - 4y + 7y = 1$
$3y = 1 + 14$
$3y = 15$
$y = \frac{15}{3}$
$y = 5$

Теперь найдем $x$, подставив значение $y$ в выражение для $x$:

$x = -7 - 2(5)$
$x = -7 - 10$
$x = -17$

Ответ: $x = -17, y = 5$.

Помогло решение? Оставьте отзыв в комментариях ниже.

Присоединяйтесь к Телеграм-группе @gdz_by_belarus

Присоединиться

Мы подготовили для вас ответ c подробным объяснением домашего задания по алгебре за 7 класс, для упражнения номер 4.123 расположенного на странице 288 к учебнику 2022 года издания для учащихся школ и гимназий.

Теперь на нашем сайте ГДЗ.ТОП вы всегда легко и бесплатно найдёте условие с правильным ответом на вопрос «Как решить ДЗ» и «Как сделать» задание по алгебре к упражнению №4.123 (с. 288), авторов: Арефьева (Ирина Глебовна), Пирютко (Ольга Николаевна), учебного пособия издательства Народная асвета.