Номер 2.84, страница 66 - гдз по алгебре 7 класс учебник Арефьева, Пирютко

Алгебра, 7 класс Учебник, авторы: Арефьева Ирина Глебовна, Пирютко Ольга Николаевна, издательство Народная асвета, Минск, 2022, зелёного цвета

Авторы: Арефьева И. Г., Пирютко О. Н.

Тип: Учебник

Издательство: Народная асвета

Год издания: 2022 - 2026

Цвет обложки: зелёный с графиком

ISBN: ISBN 978-985-03-3770-2

Допущено Министерством образования Республики Беларусь

Популярные ГДЗ в 7 классе

Глава 2. Выражения и их преобразования. Параграф 6. Одночлен - номер 2.84, страница 66.

№2.84 (с. 66)
Условие. №2.84 (с. 66)
скриншот условия
Алгебра, 7 класс Учебник, авторы: Арефьева Ирина Глебовна, Пирютко Ольга Николаевна, издательство Народная асвета, Минск, 2022, зелёного цвета, страница 66, номер 2.84, Условие

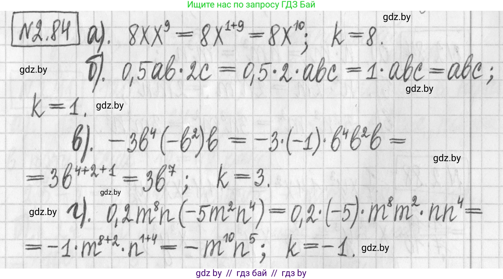
2.84. Приведите одночлен к стандартному виду и назовите его коэффициент:

а) $8xx^9$;

б) $0.5ab \cdot 2c$;

в) $-3b^4(-b^2)b$;

г) $0.2m^8n(-5m^2n^4)$.

Решение. №2.84 (с. 66)
Алгебра, 7 класс Учебник, авторы: Арефьева Ирина Глебовна, Пирютко Ольга Николаевна, издательство Народная асвета, Минск, 2022, зелёного цвета, страница 66, номер 2.84, Решение
Решение 2. №2.84 (с. 66)

а) Дан одночлен $8xx^9$. Для приведения к стандартному виду необходимо перемножить все переменные с одинаковым основанием. Учитывая, что $x = x^1$, складываем показатели степеней:
$8 \cdot x^1 \cdot x^1 \cdot x^9 = 8x^{1+1+9} = 8x^{11}$.
Одночлен в стандартном виде: $8x^{11}$.
Коэффициент — это числовой множитель перед переменной, то есть 8.

Ответ: стандартный вид $8x^{11}$, коэффициент 8.

б) Дан одночлен $0,5ab \cdot 2c$. Сначала перемножаем числовые множители: $0,5 \cdot 2 = 1$. Затем записываем буквенные множители в алфавитном порядке: $abc$.
Произведение равно $1 \cdot abc = abc$.
Одночлен в стандартном виде: $abc$.
Коэффициент равен 1. (Если коэффициент равен 1, его принято не писать).

Ответ: стандартный вид $abc$, коэффициент 1.

в) Дан одночлен $-3b^4(-b^2)b$. Перемножаем числовые множители: $-3 \cdot (-1) = 3$. Затем перемножаем степени с основанием $b$, складывая их показатели: $b^4 \cdot b^2 \cdot b^1 = b^{4+2+1} = b^7$.
Результат: $3b^7$.
Одночлен в стандартном виде: $3b^7$.
Коэффициент равен 3.

Ответ: стандартный вид $3b^7$, коэффициент 3.

г) Дан одночлен $0,2m^8n(-5m^2n^4)$. Группируем и перемножаем числовые множители и степени с одинаковыми основаниями.
Числовой коэффициент: $0,2 \cdot (-5) = -1$.
Переменная $m$: $m^8 \cdot m^2 = m^{8+2} = m^{10}$.
Переменная $n$: $n^1 \cdot n^4 = n^{1+4} = n^5$.
Собираем всё вместе: $-1 \cdot m^{10}n^5 = -m^{10}n^5$.
Одночлен в стандартном виде: $-m^{10}n^5$.
Коэффициент равен -1. (Если коэффициент равен -1, принято писать только знак «-»).

Ответ: стандартный вид $-m^{10}n^5$, коэффициент -1.

Помогло решение? Оставьте отзыв в комментариях ниже.

Присоединяйтесь к Телеграм-группе @gdz_by_belarus

Присоединиться

Мы подготовили для вас ответ c подробным объяснением домашего задания по алгебре за 7 класс, для упражнения номер 2.84 расположенного на странице 66 к учебнику 2022 года издания для учащихся школ и гимназий.

Теперь на нашем сайте ГДЗ.ТОП вы всегда легко и бесплатно найдёте условие с правильным ответом на вопрос «Как решить ДЗ» и «Как сделать» задание по алгебре к упражнению №2.84 (с. 66), авторов: Арефьева (Ирина Глебовна), Пирютко (Ольга Николаевна), учебного пособия издательства Народная асвета.