Номер 2.86, страница 66 - гдз по алгебре 7 класс учебник Арефьева, Пирютко

Алгебра, 7 класс Учебник, авторы: Арефьева Ирина Глебовна, Пирютко Ольга Николаевна, издательство Народная асвета, Минск, 2022, зелёного цвета

Авторы: Арефьева И. Г., Пирютко О. Н.

Тип: Учебник

Издательство: Народная асвета

Год издания: 2022 - 2026

Цвет обложки: зелёный с графиком

ISBN: ISBN 978-985-03-3770-2

Допущено Министерством образования Республики Беларусь

Популярные ГДЗ в 7 классе

Глава 2. Выражения и их преобразования. Параграф 6. Одночлен - номер 2.86, страница 66.

№2.86 (с. 66)
Условие. №2.86 (с. 66)
скриншот условия
Алгебра, 7 класс Учебник, авторы: Арефьева Ирина Глебовна, Пирютко Ольга Николаевна, издательство Народная асвета, Минск, 2022, зелёного цвета, страница 66, номер 2.86, Условие

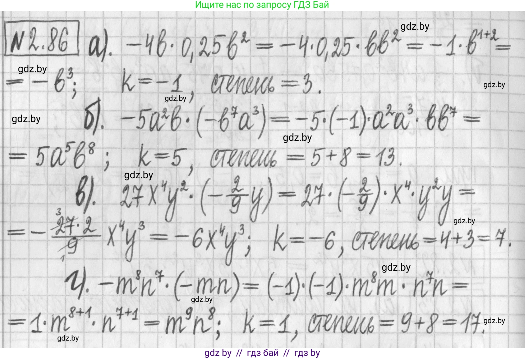
2.86. Приведите одночлен к стандартному виду:

а) $-4b \cdot 0.25b^2$;

б) $-5a^2b(-b^7a^3)$;

в) $27x^4y^2\left(-\frac{2}{9}y\right)$;

г) $-m^8n^7(-mn)$.

Назовите коэффициент и степень результата.

Решение. №2.86 (с. 66)
Алгебра, 7 класс Учебник, авторы: Арефьева Ирина Глебовна, Пирютко Ольга Николаевна, издательство Народная асвета, Минск, 2022, зелёного цвета, страница 66, номер 2.86, Решение
Решение 2. №2.86 (с. 66)

а) $-4b \cdot 0,25b^2$
Чтобы привести одночлен к стандартному виду, необходимо перемножить все числовые множители и отдельно переменные с одинаковыми основаниями, сложив их показатели степени.
1. Умножаем числовые коэффициенты: $ -4 \cdot 0,25 = -1 $.
2. Умножаем переменные: $ b^1 \cdot b^2 = b^{1+2} = b^3 $.
3. Записываем результат в стандартном виде: $ -1 \cdot b^3 = -b^3 $.
Коэффициент этого одночлена равен -1.
Степень одночлена — это сумма показателей степеней всех его переменных, то есть 3.
Ответ: стандартный вид: $-b^3$; коэффициент: -1; степень: 3.

б) $-5a^2b(-b^7a^3)$
Сначала раскроем скобки и сгруппируем множители.
1. Умножаем числовые коэффициенты: $ -5 \cdot (-1) = 5 $.
2. Умножаем переменные $a$: $ a^2 \cdot a^3 = a^{2+3} = a^5 $.
3. Умножаем переменные $b$: $ b^1 \cdot b^7 = b^{1+7} = b^8 $.
4. Записываем результат в стандартном виде, располагая переменные в алфавитном порядке: $ 5a^5b^8 $.
Коэффициент этого одночлена равен 5.
Степень одночлена: $ 5 + 8 = 13 $.
Ответ: стандартный вид: $5a^5b^8$; коэффициент: 5; степень: 13.

в) $27x^4y^2(-\frac{2}{9}y)$
Перемножим коэффициенты и переменные.
1. Умножаем числовые коэффициенты: $ 27 \cdot (-\frac{2}{9}) = -\frac{27 \cdot 2}{9} = -3 \cdot 2 = -6 $.
2. Переменная $x$ остается без изменений: $ x^4 $.
3. Умножаем переменные $y$: $ y^2 \cdot y^1 = y^{2+1} = y^3 $.
4. Записываем результат в стандартном виде: $ -6x^4y^3 $.
Коэффициент этого одночлена равен -6.
Степень одночлена: $ 4 + 3 = 7 $.
Ответ: стандартный вид: $-6x^4y^3$; коэффициент: -6; степень: 7.

г) $-m^8n^7(-mn)$
Коэффициент первого одночлена $-m^8n^7$ равен -1. Перемножим все множители.
1. Умножаем числовые коэффициенты: $ -1 \cdot (-1) = 1 $.
2. Умножаем переменные $m$: $ m^8 \cdot m^1 = m^{8+1} = m^9 $.
3. Умножаем переменные $n$: $ n^7 \cdot n^1 = n^{7+1} = n^8 $.
4. Записываем результат в стандартном виде: $ 1 \cdot m^9n^8 = m^9n^8 $.
Коэффициент этого одночлена равен 1.
Степень одночлена: $ 9 + 8 = 17 $.
Ответ: стандартный вид: $m^9n^8$; коэффициент: 1; степень: 17.

Помогло решение? Оставьте отзыв в комментариях ниже.

Присоединяйтесь к Телеграм-группе @gdz_by_belarus

Присоединиться

Мы подготовили для вас ответ c подробным объяснением домашего задания по алгебре за 7 класс, для упражнения номер 2.86 расположенного на странице 66 к учебнику 2022 года издания для учащихся школ и гимназий.

Теперь на нашем сайте ГДЗ.ТОП вы всегда легко и бесплатно найдёте условие с правильным ответом на вопрос «Как решить ДЗ» и «Как сделать» задание по алгебре к упражнению №2.86 (с. 66), авторов: Арефьева (Ирина Глебовна), Пирютко (Ольга Николаевна), учебного пособия издательства Народная асвета.