Номер 2.179, страница 89 - гдз по алгебре 7 класс учебник Арефьева, Пирютко
Авторы: Арефьева И. Г., Пирютко О. Н.
Тип: Учебник
Издательство: Народная асвета
Год издания: 2022 - 2026
Цвет обложки: зелёный с графиком
ISBN: ISBN 978-985-03-3770-2
Допущено Министерством образования Республики Беларусь
Популярные ГДЗ в 7 классе
Глава 2. Выражения и их преобразования. Параграф 9. Сложение и вычитание многочленов - номер 2.179, страница 89.
№2.179 (с. 89)
Условие. №2.179 (с. 89)
скриншот условия
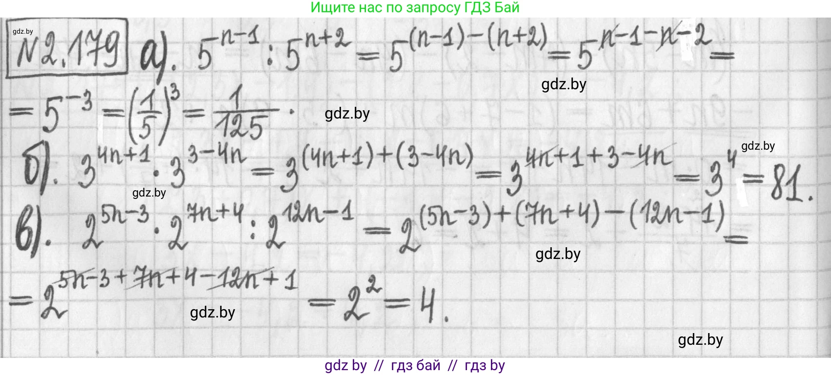
2.179. Найдите значение выражения:
a) $5^{n-1} : 5^{n+2}$
б) $3^{4n+1} \cdot 3^{3-4n}$
в) $2^{5n-3} \cdot 2^{7n+4} \cdot 2^{12n-1}$
Решение. №2.179 (с. 89)
Решение 2. №2.179 (с. 89)
а) $5^{n-1} : 5^{n+2}$
Для решения данного примера воспользуемся свойством деления степеней с одинаковым основанием: $a^m : a^n = a^{m-n}$. В этом случае основание $a=5$, показатель делимого $m = n-1$, а показатель делителя $n = n+2$.
Вычтем из показателя первой степени показатель второй:
$$5^{(n-1) - (n+2)} = 5^{n-1-n-2} = 5^{-3}$$
Теперь воспользуемся свойством степени с отрицательным показателем: $a^{-m} = \frac{1}{a^m}$.
$$5^{-3} = \frac{1}{5^3} = \frac{1}{125}$$
Ответ: $\frac{1}{125}$.
б) $3^{4n+1} \cdot 3^{3-4n}$
Для решения этого примера воспользуемся свойством умножения степеней с одинаковым основанием: $a^m \cdot a^n = a^{m+n}$. Здесь основание $a=3$, а показатели степеней — $(4n+1)$ и $(3-4n)$.
Сложим показатели степеней:
$$3^{(4n+1) + (3-4n)} = 3^{4n+1+3-4n}$$
Сгруппируем и упростим слагаемые в показателе:
$$3^{(4n-4n) + (1+3)} = 3^{0+4} = 3^4$$
Вычислим значение $3^4$:
$$3^4 = 3 \cdot 3 \cdot 3 \cdot 3 = 81$$
Ответ: $81$.
в) $2^{5n-3} \cdot 2^{7n+4} : 2^{12n-1}$
В этом выражении используются операции умножения и деления степеней с одинаковым основанием $a=2$. Применим последовательно свойства $a^m \cdot a^n = a^{m+n}$ и $a^m : a^k = a^{m-k}$.
Сначала выполним умножение:
$$2^{5n-3} \cdot 2^{7n+4} = 2^{(5n-3) + (7n+4)} = 2^{5n-3+7n+4} = 2^{12n+1}$$
Теперь выполним деление полученного результата на $2^{12n-1}$:
$$2^{12n+1} : 2^{12n-1} = 2^{(12n+1) - (12n-1)} = 2^{12n+1-12n+1} = 2^2$$
Можно также объединить все действия с показателями в один шаг:
$$2^{(5n-3) + (7n+4) - (12n-1)} = 2^{5n-3+7n+4-12n+1} = 2^{(5n+7n-12n) + (-3+4+1)} = 2^{0 \cdot n + 2} = 2^2$$
Вычислим итоговое значение:
$$2^2 = 4$$
Ответ: $4$.
Другие задания:
Помогло решение? Оставьте отзыв в комментариях ниже.
Присоединяйтесь к Телеграм-группе @gdz_by_belarus
ПрисоединитьсяМы подготовили для вас ответ c подробным объяснением домашего задания по алгебре за 7 класс, для упражнения номер 2.179 расположенного на странице 89 к учебнику 2022 года издания для учащихся школ и гимназий.
Теперь на нашем сайте ГДЗ.ТОП вы всегда легко и бесплатно найдёте условие с правильным ответом на вопрос «Как решить ДЗ» и «Как сделать» задание по алгебре к упражнению №2.179 (с. 89), авторов: Арефьева (Ирина Глебовна), Пирютко (Ольга Николаевна), учебного пособия издательства Народная асвета.