Номер 2.183, страница 90 - гдз по алгебре 7 класс учебник Арефьева, Пирютко
Авторы: Арефьева И. Г., Пирютко О. Н.
Тип: Учебник
Издательство: Народная асвета
Год издания: 2022 - 2026
Цвет обложки: зелёный с графиком
ISBN: ISBN 978-985-03-3770-2
Допущено Министерством образования Республики Беларусь
Популярные ГДЗ в 7 классе
Глава 2. Выражения и их преобразования. Параграф 9. Сложение и вычитание многочленов - номер 2.183, страница 90.
№2.183 (с. 90)
Условие. №2.183 (с. 90)
скриншот условия
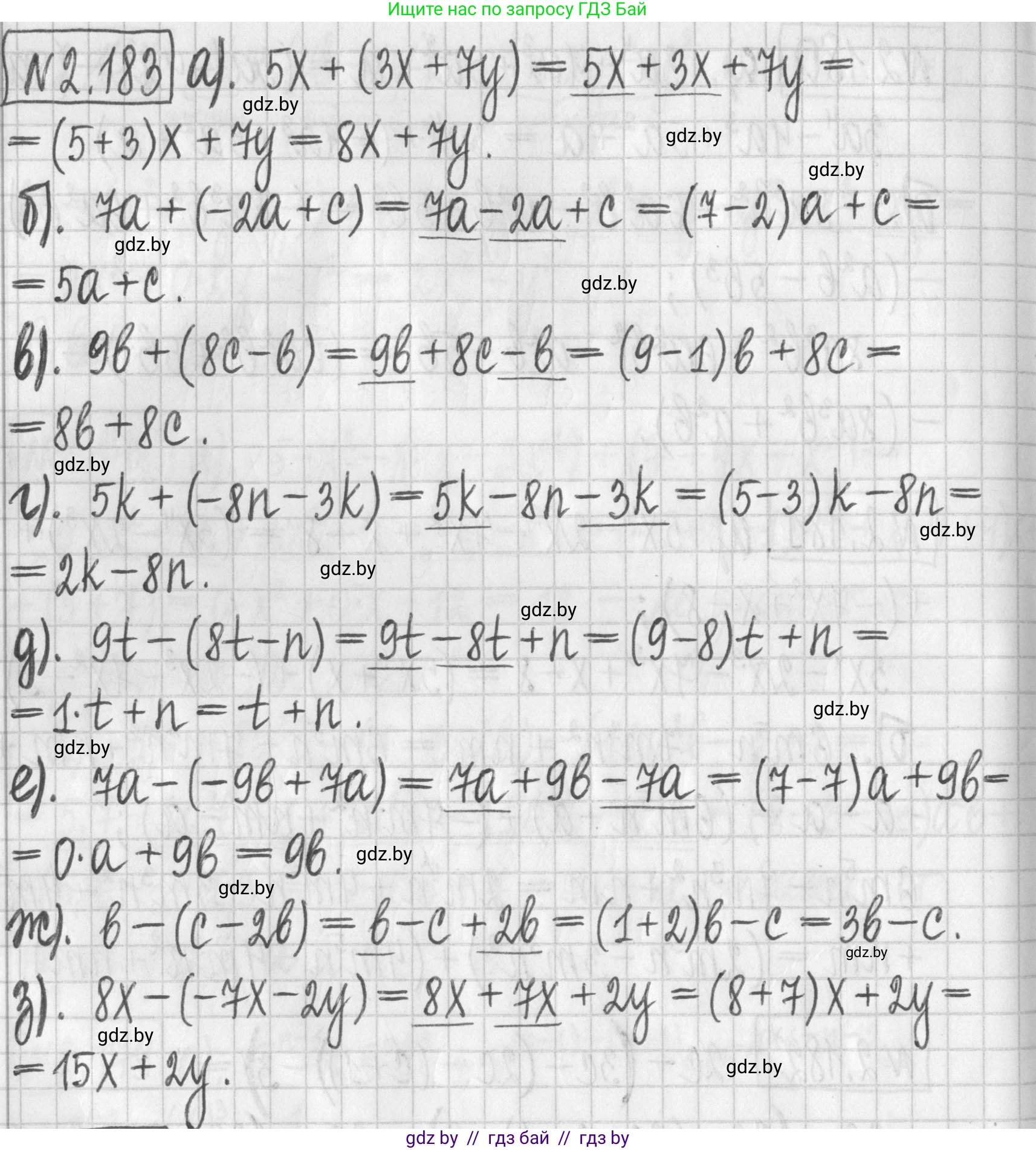
2.183. Упростите выражение:
а) $5x + (3x + 7y)$;
б) $7a + (-2a + c)$;
в) $9b + (8c - b)$;
г) $5k + (-8n - 3k)$;
д) $9t - (8t - n)$;
е) $7a - (-9b + 7a)$;
ж) $b - (c - 2b)$;
з) $8x - (-7x - 2y).$
Решение. №2.183 (с. 90)
Решение 2. №2.183 (с. 90)
Для упрощения алгебраических выражений необходимо выполнить два основных шага: раскрыть скобки и привести подобные слагаемые.
Правило раскрытия скобок:
- Если перед скобками стоит знак "+", то знаки слагаемых в скобках не меняются.
- Если перед скобками стоит знак "-", то знаки всех слагаемых в скобках меняются на противоположные.
а) $5x + (3x + 7y)$
Раскрываем скобки (знак "+" перед ними):
$5x + (3x + 7y) = 5x + 3x + 7y$
Приводим подобные слагаемые с переменной $x$:
$(5 + 3)x + 7y = 8x + 7y$
Ответ: $8x + 7y$
б) $7a + (-2a + c)$
Раскрываем скобки (знак "+"):
$7a + (-2a + c) = 7a - 2a + c$
Приводим подобные слагаемые с переменной $a$:
$(7 - 2)a + c = 5a + c$
Ответ: $5a + c$
в) $9b + (8c - b)$
Раскрываем скобки (знак "+"):
$9b + (8c - b) = 9b + 8c - b$
Приводим подобные слагаемые с переменной $b$:
$(9 - 1)b + 8c = 8b + 8c$
Ответ: $8b + 8c$
г) $5k + (-8n - 3k)$
Раскрываем скобки (знак "+"):
$5k + (-8n - 3k) = 5k - 8n - 3k$
Приводим подобные слагаемые с переменной $k$:
$(5 - 3)k - 8n = 2k - 8n$
Ответ: $2k - 8n$
д) $9t - (8t - n)$
Раскрываем скобки, меняя знаки внутри, так как перед скобками стоит знак "-":
$9t - (8t - n) = 9t - 8t + n$
Приводим подобные слагаемые с переменной $t$:
$(9 - 8)t + n = 1t + n = t + n$
Ответ: $t + n$
е) $7a - (-9b + 7a)$
Раскрываем скобки (знак "-"):
$7a - (-9b + 7a) = 7a + 9b - 7a$
Приводим подобные слагаемые с переменной $a$:
$(7 - 7)a + 9b = 0 \cdot a + 9b = 9b$
Ответ: $9b$
ж) $b - (c - 2b)$
Раскрываем скобки (знак "-"):
$b - (c - 2b) = b - c + 2b$
Приводим подобные слагаемые с переменной $b$:
$(1 + 2)b - c = 3b - c$
Ответ: $3b - c$
з) $8x - (-7x - 2y)$
Раскрываем скобки (знак "-"):
$8x - (-7x - 2y) = 8x + 7x + 2y$
Приводим подобные слагаемые с переменной $x$:
$(8 + 7)x + 2y = 15x + 2y$
Ответ: $15x + 2y$
Другие задания:
Помогло решение? Оставьте отзыв в комментариях ниже.
Присоединяйтесь к Телеграм-группе @gdz_by_belarus
ПрисоединитьсяМы подготовили для вас ответ c подробным объяснением домашего задания по алгебре за 7 класс, для упражнения номер 2.183 расположенного на странице 90 к учебнику 2022 года издания для учащихся школ и гимназий.
Теперь на нашем сайте ГДЗ.ТОП вы всегда легко и бесплатно найдёте условие с правильным ответом на вопрос «Как решить ДЗ» и «Как сделать» задание по алгебре к упражнению №2.183 (с. 90), авторов: Арефьева (Ирина Глебовна), Пирютко (Ольга Николаевна), учебного пособия издательства Народная асвета.