Номер 2.200, страница 94 - гдз по алгебре 7 класс учебник Арефьева, Пирютко

Алгебра, 7 класс Учебник, авторы: Арефьева Ирина Глебовна, Пирютко Ольга Николаевна, издательство Народная асвета, Минск, 2022, зелёного цвета

Авторы: Арефьева И. Г., Пирютко О. Н.

Тип: Учебник

Издательство: Народная асвета

Год издания: 2022 - 2026

Цвет обложки: зелёный с графиком

ISBN: ISBN 978-985-03-3770-2

Допущено Министерством образования Республики Беларусь

Популярные ГДЗ в 7 классе

Глава 2. Выражения и их преобразования. Параграф 10. Умножение и деление многочлена на одночлен - номер 2.200, страница 94.

№2.200 (с. 94)
Условие. №2.200 (с. 94)
скриншот условия
Алгебра, 7 класс Учебник, авторы: Арефьева Ирина Глебовна, Пирютко Ольга Николаевна, издательство Народная асвета, Минск, 2022, зелёного цвета, страница 94, номер 2.200, Условие

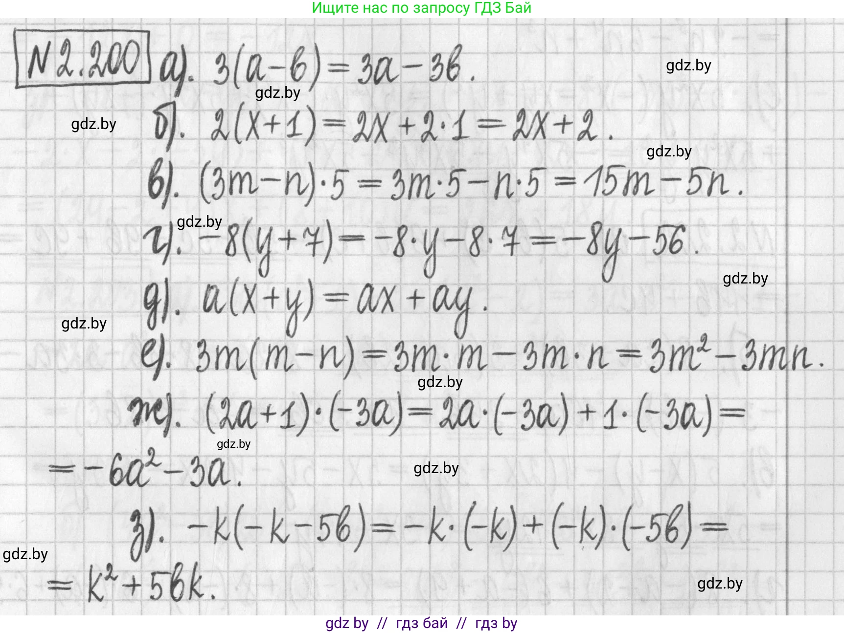
2.200. Выполните умножение одночлена на многочлен:

а) $3(a - b)$;

б) $2(x + 1)$;

в) $(3m - n) \cdot 5$;

г) $-8(y + 7)$;

д) $a(x + y)$;

е) $3m(m - n)$;

ж) $(2a + 1) \cdot (-3a)$;

з) $-k(-k - 5b)$.

Решение. №2.200 (с. 94)
Алгебра, 7 класс Учебник, авторы: Арефьева Ирина Глебовна, Пирютко Ольга Николаевна, издательство Народная асвета, Минск, 2022, зелёного цвета, страница 94, номер 2.200, Решение
Решение 2. №2.200 (с. 94)

а) $3(a - b)$
Для умножения одночлена $3$ на многочлен $(a - b)$ необходимо умножить $3$ на каждый член многочлена:
$3 \cdot (a - b) = 3 \cdot a + 3 \cdot (-b) = 3a - 3b$
Ответ: $3a - 3b$

б) $2(x + 1)$
Умножаем одночлен $2$ на каждый член многочлена $(x + 1)$:
$2 \cdot (x + 1) = 2 \cdot x + 2 \cdot 1 = 2x + 2$
Ответ: $2x + 2$

в) $(3m - n) \cdot 5$
В силу коммутативности умножения, данное выражение равносильно $5 \cdot (3m - n)$. Умножаем $5$ на каждый член многочлена:
$5 \cdot (3m - n) = 5 \cdot 3m + 5 \cdot (-n) = 15m - 5n$
Ответ: $15m - 5n$

г) $-8(y + 7)$
Умножаем одночлен $-8$ на каждый член многочлена $(y + 7)$, обращая внимание на знаки:
$-8 \cdot (y + 7) = (-8) \cdot y + (-8) \cdot 7 = -8y - 56$
Ответ: $-8y - 56$

д) $a(x + y)$
Умножаем одночлен $a$ на каждый член многочлена $(x + y)$:
$a \cdot (x + y) = a \cdot x + a \cdot y = ax + ay$
Ответ: $ax + ay$

е) $3m(m - n)$
Умножаем одночлен $3m$ на каждый член многочлена $(m - n)$:
$3m \cdot (m - n) = 3m \cdot m + 3m \cdot (-n) = 3m^2 - 3mn$
Ответ: $3m^2 - 3mn$

ж) $(2a + 1) \cdot (-3a)$
Умножаем каждый член многочлена $(2a + 1)$ на одночлен $(-3a)$:
$(2a + 1) \cdot (-3a) = 2a \cdot (-3a) + 1 \cdot (-3a) = -6a^2 - 3a$
Ответ: $-6a^2 - 3a$

з) $-k(-k - 5b)$
Умножаем одночлен $-k$ на каждый член многочлена $(-k - 5b)$: произведение двух отрицательных чисел положительно.
$-k \cdot (-k - 5b) = (-k) \cdot (-k) + (-k) \cdot (-5b) = k^2 + 5kb$
Ответ: $k^2 + 5kb$

Помогло решение? Оставьте отзыв в комментариях ниже.

Присоединяйтесь к Телеграм-группе @gdz_by_belarus

Присоединиться

Мы подготовили для вас ответ c подробным объяснением домашего задания по алгебре за 7 класс, для упражнения номер 2.200 расположенного на странице 94 к учебнику 2022 года издания для учащихся школ и гимназий.

Теперь на нашем сайте ГДЗ.ТОП вы всегда легко и бесплатно найдёте условие с правильным ответом на вопрос «Как решить ДЗ» и «Как сделать» задание по алгебре к упражнению №2.200 (с. 94), авторов: Арефьева (Ирина Глебовна), Пирютко (Ольга Николаевна), учебного пособия издательства Народная асвета.