Номер 2.203, страница 95 - гдз по алгебре 7 класс учебник Арефьева, Пирютко
Авторы: Арефьева И. Г., Пирютко О. Н.
Тип: Учебник
Издательство: Народная асвета
Год издания: 2022 - 2026
Цвет обложки: зелёный с графиком
ISBN: ISBN 978-985-03-3770-2
Допущено Министерством образования Республики Беларусь
Популярные ГДЗ в 7 классе
Глава 2. Выражения и их преобразования. Параграф 10. Умножение и деление многочлена на одночлен - номер 2.203, страница 95.
№2.203 (с. 95)
Условие. №2.203 (с. 95)
скриншот условия
2.203. Преобразуйте выражение в многочлен стандартного вида:
а) $3a(a^2 - 1) - 2a(a^2 - 2);$
б) $(4a^2 - 3b)2b - (-3a^2 - 4b)3b;$
в) $ab(3a + 2b) - 3ab^2(a - 4);$
г) $2mn(n - m) - 3mn(n + m) + mn^2.$
Определите степень полученного многочлена.
Решение. №2.203 (с. 95)
Решение 2. №2.203 (с. 95)
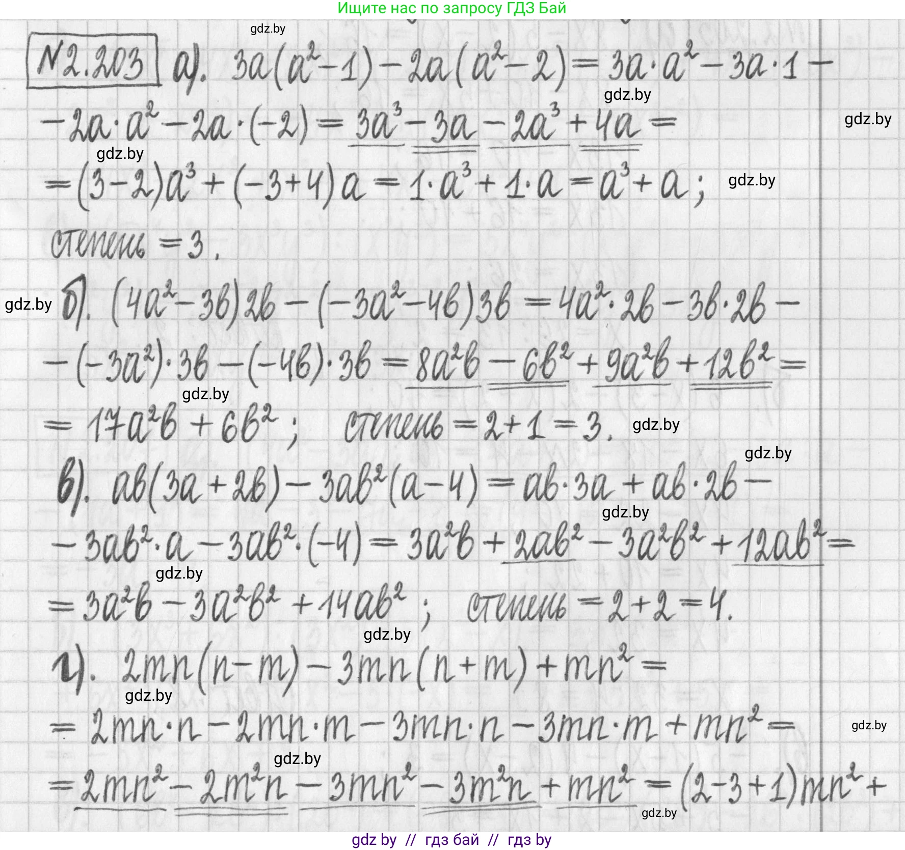
а) $3a(a^2 - 1) - 2a(a^2 - 2)$
Для преобразования выражения в многочлен стандартного вида необходимо раскрыть скобки и привести подобные слагаемые.
1. Раскрываем скобки:
$3a(a^2 - 1) - 2a(a^2 - 2) = (3a \cdot a^2 - 3a \cdot 1) - (2a \cdot a^2 - 2a \cdot 2) = 3a^3 - 3a - 2a^3 + 4a$
2. Приводим подобные слагаемые:
$(3a^3 - 2a^3) + (-3a + 4a) = a^3 + a$
Полученный многочлен: $a^3 + a$.
Степень многочлена — это наибольшая из степеней его одночленов. Степень члена $a^3$ равна 3, степень члена $a$ равна 1. Следовательно, степень многочлена равна 3.
Ответ: $a^3 + a$, степень многочлена 3.
б) $(4a^2 - 3b)2b - (-3a^2 - 4b)3b$
1. Раскрываем скобки:
$(4a^2 \cdot 2b - 3b \cdot 2b) - ((-3a^2) \cdot 3b - 4b \cdot 3b) = (8a^2b - 6b^2) - (-9a^2b - 12b^2) = 8a^2b - 6b^2 + 9a^2b + 12b^2$
2. Приводим подобные слагаемые:
$(8a^2b + 9a^2b) + (-6b^2 + 12b^2) = 17a^2b + 6b^2$
Полученный многочлен: $17a^2b + 6b^2$.
Степень члена $17a^2b$ равна $2+1=3$. Степень члена $6b^2$ равна 2. Наибольшая степень равна 3.
Ответ: $17a^2b + 6b^2$, степень многочлена 3.
в) $ab(3a + 2b) - 3ab^2(a - 4)$
1. Раскрываем скобки:
$(ab \cdot 3a + ab \cdot 2b) - (3ab^2 \cdot a - 3ab^2 \cdot 4) = 3a^2b + 2ab^2 - 3a^2b^2 + 12ab^2$
2. Приводим подобные слагаемые и упорядочиваем члены по убыванию степени:
$-3a^2b^2 + 3a^2b + (2ab^2 + 12ab^2) = -3a^2b^2 + 3a^2b + 14ab^2$
Полученный многочлен: $-3a^2b^2 + 3a^2b + 14ab^2$.
Степень члена $-3a^2b^2$ равна $2+2=4$. Степень члена $3a^2b$ равна $2+1=3$. Степень члена $14ab^2$ равна $1+2=3$. Наибольшая степень равна 4.
Ответ: $-3a^2b^2 + 3a^2b + 14ab^2$, степень многочлена 4.
г) $2mn(n - m) - 3mn(n + m) + mn^2$
1. Раскрываем скобки:
$(2mn \cdot n - 2mn \cdot m) - (3mn \cdot n + 3mn \cdot m) + mn^2 = 2mn^2 - 2m^2n - 3mn^2 - 3m^2n + mn^2$
2. Приводим подобные слагаемые:
$(2mn^2 - 3mn^2 + mn^2) + (-2m^2n - 3m^2n) = (2 - 3 + 1)mn^2 + (-2 - 3)m^2n = 0 \cdot mn^2 - 5m^2n = -5m^2n$
Полученный многочлен: $-5m^2n$.
Степень одночлена $-5m^2n$ равна сумме степеней переменных $2+1=3$.
Ответ: $-5m^2n$, степень многочлена 3.
Другие задания:
Помогло решение? Оставьте отзыв в комментариях ниже.
Присоединяйтесь к Телеграм-группе @gdz_by_belarus
ПрисоединитьсяМы подготовили для вас ответ c подробным объяснением домашего задания по алгебре за 7 класс, для упражнения номер 2.203 расположенного на странице 95 к учебнику 2022 года издания для учащихся школ и гимназий.
Теперь на нашем сайте ГДЗ.ТОП вы всегда легко и бесплатно найдёте условие с правильным ответом на вопрос «Как решить ДЗ» и «Как сделать» задание по алгебре к упражнению №2.203 (с. 95), авторов: Арефьева (Ирина Глебовна), Пирютко (Ольга Николаевна), учебного пособия издательства Народная асвета.