Номер 2.213, страница 96 - гдз по алгебре 7 класс учебник Арефьева, Пирютко
Авторы: Арефьева И. Г., Пирютко О. Н.
Тип: Учебник
Издательство: Народная асвета
Год издания: 2022 - 2026
Цвет обложки: зелёный с графиком
ISBN: ISBN 978-985-03-3770-2
Допущено Министерством образования Республики Беларусь
Популярные ГДЗ в 7 классе
Глава 2. Выражения и их преобразования. Параграф 10. Умножение и деление многочлена на одночлен - номер 2.213, страница 96.
№2.213 (с. 96)
Условие. №2.213 (с. 96)
скриншот условия
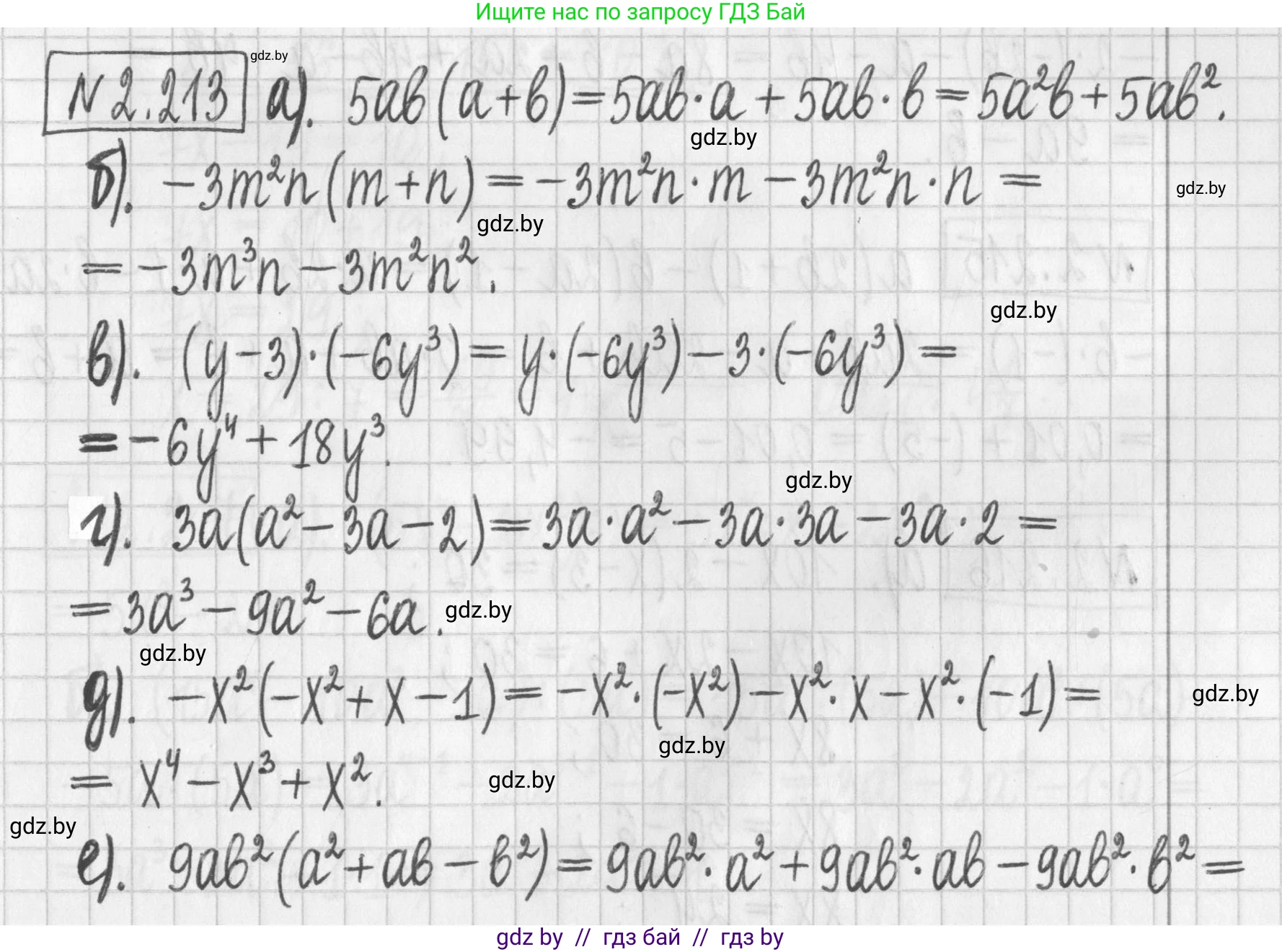
2.213. Выполните умножение:
а) $5ab(a + b);$
б) $-3m^2n(m + n);$
в) $(y - 3) \cdot (-6y^3);$
г) $3a(a^2 - 3a - 2);$
д) $-x^2(-x^2 + x - 1);$
е) $9ab^2(a^2 + ab - b^2).$
Решение. №2.213 (с. 96)
Решение 2. №2.213 (с. 96)
а) Чтобы выполнить умножение одночлена на многочлен, необходимо умножить этот одночлен на каждый член многочлена, используя распределительное свойство умножения $c(x+y) = cx+cy$.
Для выражения $5ab(a + b)$ умножим $5ab$ на $a$ и на $b$:
$5ab(a + b) = (5ab \cdot a) + (5ab \cdot b)$
Применяя свойство степеней $x^m \cdot x^n = x^{m+n}$, получаем:
$5a^{1+1}b + 5ab^{1+1} = 5a^2b + 5ab^2$
Ответ: $5a^2b + 5ab^2$
б) Умножим одночлен $-3m^2n$ на каждый член многочлена $(m + n)$:
$-3m^2n(m + n) = (-3m^2n \cdot m) + (-3m^2n \cdot n)$
Упрощаем, складывая показатели степеней при одинаковых основаниях:
$-3m^{2+1}n - 3m^2n^{1+1} = -3m^3n - 3m^2n^2$
Ответ: $-3m^3n - 3m^2n^2$
в) Умножим каждый член многочлена $(y - 3)$ на одночлен $(-6y^3)$. Это эквивалентно умножению $(-6y^3)$ на $(y-3)$:
$(y - 3) \cdot (-6y^3) = (y \cdot (-6y^3)) + (-3 \cdot (-6y^3))$
Выполняем умножение:
$-6y^{1+3} + 18y^3 = -6y^4 + 18y^3$
Ответ: $-6y^4 + 18y^3$
г) Умножим одночлен $3a$ на каждый член многочлена $(a^2 - 3a - 2)$:
$3a(a^2 - 3a - 2) = (3a \cdot a^2) + (3a \cdot (-3a)) + (3a \cdot (-2))$
Выполняем умножение и упрощаем:
$3a^{1+2} - 9a^{1+1} - 6a = 3a^3 - 9a^2 - 6a$
Ответ: $3a^3 - 9a^2 - 6a$
д) Умножим одночлен $-x^2$ на каждый член многочлена $(-x^2 + x - 1)$, обращая внимание на знаки:
$-x^2(-x^2 + x - 1) = (-x^2 \cdot (-x^2)) + (-x^2 \cdot x) + (-x^2 \cdot (-1))$
Выполняем умножение:
$x^{2+2} - x^{2+1} + x^2 = x^4 - x^3 + x^2$
Ответ: $x^4 - x^3 + x^2$
е) Умножим одночлен $9ab^2$ на каждый член многочлена $(a^2 + ab - b^2)$:
$9ab^2(a^2 + ab - b^2) = (9ab^2 \cdot a^2) + (9ab^2 \cdot ab) + (9ab^2 \cdot (-b^2))$
Выполняем умножение, складывая показатели степеней для $a$ и $b$ соответственно:
$9a^{1+2}b^2 + 9a^{1+1}b^{2+1} - 9ab^{2+2} = 9a^3b^2 + 9a^2b^3 - 9ab^4$
Ответ: $9a^3b^2 + 9a^2b^3 - 9ab^4$
Другие задания:
Помогло решение? Оставьте отзыв в комментариях ниже.
Присоединяйтесь к Телеграм-группе @gdz_by_belarus
ПрисоединитьсяМы подготовили для вас ответ c подробным объяснением домашего задания по алгебре за 7 класс, для упражнения номер 2.213 расположенного на странице 96 к учебнику 2022 года издания для учащихся школ и гимназий.
Теперь на нашем сайте ГДЗ.ТОП вы всегда легко и бесплатно найдёте условие с правильным ответом на вопрос «Как решить ДЗ» и «Как сделать» задание по алгебре к упражнению №2.213 (с. 96), авторов: Арефьева (Ирина Глебовна), Пирютко (Ольга Николаевна), учебного пособия издательства Народная асвета.