Номер 2.216, страница 97 - гдз по алгебре 7 класс учебник Арефьева, Пирютко
Авторы: Арефьева И. Г., Пирютко О. Н.
Тип: Учебник
Издательство: Народная асвета
Год издания: 2022 - 2026
Цвет обложки: зелёный с графиком
ISBN: ISBN 978-985-03-3770-2
Допущено Министерством образования Республики Беларусь
Популярные ГДЗ в 7 классе
Глава 2. Выражения и их преобразования. Параграф 10. Умножение и деление многочлена на одночлен - номер 2.216, страница 97.
№2.216 (с. 97)
Условие. №2.216 (с. 97)
скриншот условия
2.216. Решите уравнение, выполнив тождественные преобразования в его левой части:
а) $10x - 2(x - 3) = 30;$
б) $7(x - 1) - 4(x - 2) = 25;$
в) $-2(4x + 8) - 3(1 - 5x) = 10.$
Решение. №2.216 (с. 97)
Решение 2. №2.216 (с. 97)
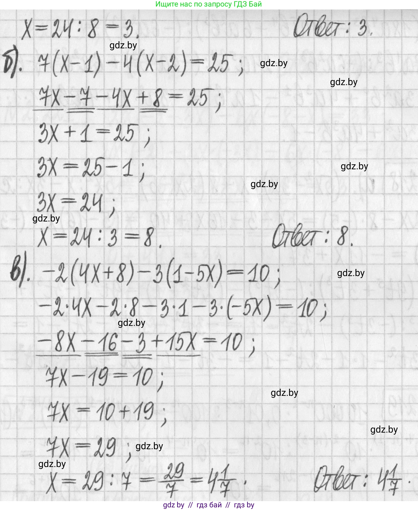
а) $10x - 2(x - 3) = 30$
Сначала выполним тождественные преобразования в левой части уравнения. Для этого раскроем скобки, умножив -2 на каждый член в скобках:
$10x - 2 \cdot x - 2 \cdot (-3) = 30$
$10x - 2x + 6 = 30$
Теперь приведем подобные слагаемые (члены с переменной $x$):
$(10 - 2)x + 6 = 30$
$8x + 6 = 30$
Далее решаем получившееся линейное уравнение. Перенесем 6 в правую часть уравнения, изменив знак на противоположный:
$8x = 30 - 6$
$8x = 24$
Чтобы найти $x$, разделим обе части уравнения на 8:
$x = \frac{24}{8}$
$x = 3$
Ответ: 3
б) $7(x - 1) - 4(x - 2) = 25$
Выполним тождественные преобразования в левой части: раскроем обе скобки.
$7 \cdot x - 7 \cdot 1 - 4 \cdot x - 4 \cdot (-2) = 25$
$7x - 7 - 4x + 8 = 25$
Приведем подобные слагаемые: сгруппируем члены с $x$ и свободные члены.
$(7x - 4x) + (-7 + 8) = 25$
$3x + 1 = 25$
Теперь решим уравнение. Перенесем 1 в правую часть с противоположным знаком:
$3x = 25 - 1$
$3x = 24$
Разделим обе части уравнения на 3, чтобы найти $x$:
$x = \frac{24}{3}$
$x = 8$
Ответ: 8
в) $-2(4x + 8) - 3(1 - 5x) = 10$
Начнем с преобразования левой части уравнения, раскрыв скобки:
$-2 \cdot 4x - 2 \cdot 8 - 3 \cdot 1 - 3 \cdot (-5x) = 10$
$-8x - 16 - 3 + 15x = 10$
Сгруппируем и приведем подобные слагаемые:
$(-8x + 15x) + (-16 - 3) = 10$
$7x - 19 = 10$
Теперь решаем получившееся уравнение. Перенесем -19 в правую часть, изменив знак:
$7x = 10 + 19$
$7x = 29$
Найдем $x$, разделив обе части на 7:
$x = \frac{29}{7}$
Так как мы получили неправильную дробь, выделим из нее целую часть:
$29 \div 7 = 4$ (остаток $1$)
$x = 4\frac{1}{7}$
Ответ: $4\frac{1}{7}$
Другие задания:
Помогло решение? Оставьте отзыв в комментариях ниже.
Присоединяйтесь к Телеграм-группе @gdz_by_belarus
ПрисоединитьсяМы подготовили для вас ответ c подробным объяснением домашего задания по алгебре за 7 класс, для упражнения номер 2.216 расположенного на странице 97 к учебнику 2022 года издания для учащихся школ и гимназий.
Теперь на нашем сайте ГДЗ.ТОП вы всегда легко и бесплатно найдёте условие с правильным ответом на вопрос «Как решить ДЗ» и «Как сделать» задание по алгебре к упражнению №2.216 (с. 97), авторов: Арефьева (Ирина Глебовна), Пирютко (Ольга Николаевна), учебного пособия издательства Народная асвета.