Номер 2.229, страница 100 - гдз по алгебре 7 класс учебник Арефьева, Пирютко

Алгебра, 7 класс Учебник, авторы: Арефьева Ирина Глебовна, Пирютко Ольга Николаевна, издательство Народная асвета, Минск, 2022, зелёного цвета

Авторы: Арефьева И. Г., Пирютко О. Н.

Тип: Учебник

Издательство: Народная асвета

Год издания: 2022 - 2026

Цвет обложки: зелёный с графиком

ISBN: ISBN 978-985-03-3770-2

Допущено Министерством образования Республики Беларусь

Популярные ГДЗ в 7 классе

Глава 2. Выражения и их преобразования. Параграф 11. Умножение многочленов - номер 2.229, страница 100.

№2.229 (с. 100)
Условие. №2.229 (с. 100)
скриншот условия
Алгебра, 7 класс Учебник, авторы: Арефьева Ирина Глебовна, Пирютко Ольга Николаевна, издательство Народная асвета, Минск, 2022, зелёного цвета, страница 100, номер 2.229, Условие

2.229. Представьте в виде многочлена выражение:

а) $ (2x + y)(2y + x) $;

б) $ (5a + 2b)(3a + 7b) $;

в) $ (5c + 2a)(3c - a) $;

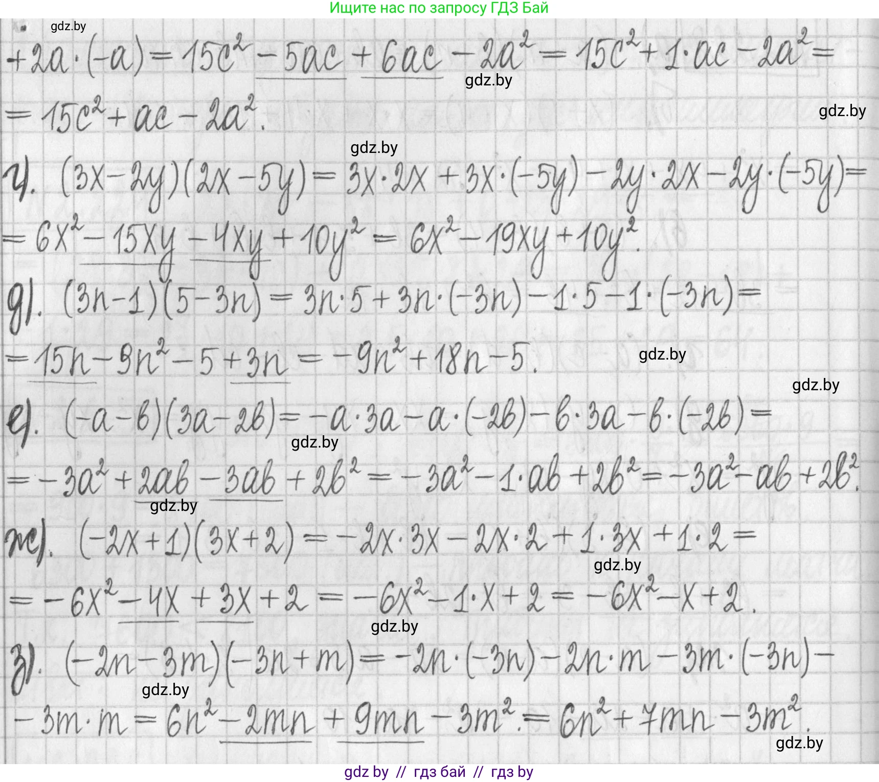
г) $ (3x - 2y)(2x - 5y) $;

д) $ (3n - 1)(5 - 3n) $;

е) $ (-a - b)(3a - 2b) $;

ж) $ (-2x + 1)(3x + 2) $;

з) $ (-2n - 3m)(-3n + m) $.

Решение. №2.229 (с. 100)
Алгебра, 7 класс Учебник, авторы: Арефьева Ирина Глебовна, Пирютко Ольга Николаевна, издательство Народная асвета, Минск, 2022, зелёного цвета, страница 100, номер 2.229, Решение Алгебра, 7 класс Учебник, авторы: Арефьева Ирина Глебовна, Пирютко Ольга Николаевна, издательство Народная асвета, Минск, 2022, зелёного цвета, страница 100, номер 2.229, Решение (продолжение 2)
Решение 2. №2.229 (с. 100)
Для того чтобы представить выражение в виде многочлена, необходимо раскрыть скобки, умножив каждый член одного двучлена на каждый член другого, а затем привести подобные слагаемые.

а) $(2x + y)(2y + x)$
Раскроем скобки, умножая каждый член на каждый: $(2x + y)(2y + x) = 2x \cdot 2y + 2x \cdot x + y \cdot 2y + y \cdot x = 4xy + 2x^2 + 2y^2 + xy$.
Приведем подобные слагаемые ($4xy$ и $xy$) и запишем результат в стандартном виде: $2x^2 + (4xy + xy) + 2y^2 = 2x^2 + 5xy + 2y^2$.
Ответ: $2x^2 + 5xy + 2y^2$

б) $(5a + 2b)(3a + 7b)$
Раскроем скобки: $(5a + 2b)(3a + 7b) = 5a \cdot 3a + 5a \cdot 7b + 2b \cdot 3a + 2b \cdot 7b = 15a^2 + 35ab + 6ab + 14b^2$.
Приведем подобные слагаемые ($35ab$ и $6ab$): $15a^2 + (35ab + 6ab) + 14b^2 = 15a^2 + 41ab + 14b^2$.
Ответ: $15a^2 + 41ab + 14b^2$

в) $(5c + 2a)(3c - a)$
Раскроем скобки: $(5c + 2a)(3c - a) = 5c \cdot 3c + 5c \cdot (-a) + 2a \cdot 3c + 2a \cdot (-a) = 15c^2 - 5ac + 6ac - 2a^2$.
Приведем подобные слагаемые ($-5ac$ и $6ac$): $15c^2 + (-5ac + 6ac) - 2a^2 = 15c^2 + ac - 2a^2$.
Ответ: $15c^2 + ac - 2a^2$

г) $(3x - 2y)(2x - 5y)$
Раскроем скобки: $(3x - 2y)(2x - 5y) = 3x \cdot 2x + 3x \cdot (-5y) + (-2y) \cdot 2x + (-2y) \cdot (-5y) = 6x^2 - 15xy - 4xy + 10y^2$.
Приведем подобные слагаемые ($-15xy$ и $-4xy$): $6x^2 + (-15xy - 4xy) + 10y^2 = 6x^2 - 19xy + 10y^2$.
Ответ: $6x^2 - 19xy + 10y^2$

д) $(3n - 1)(5 - 3n)$
Раскроем скобки: $(3n - 1)(5 - 3n) = 3n \cdot 5 + 3n \cdot (-3n) - 1 \cdot 5 - 1 \cdot (-3n) = 15n - 9n^2 - 5 + 3n$.
Приведем подобные слагаемые ($15n$ и $3n$) и запишем результат в стандартном виде: $-9n^2 + (15n + 3n) - 5 = -9n^2 + 18n - 5$.
Ответ: $-9n^2 + 18n - 5$

е) $(-a - b)(3a - 2b)$
Раскроем скобки: $(-a - b)(3a - 2b) = (-a) \cdot 3a + (-a) \cdot (-2b) - b \cdot 3a - b \cdot (-2b) = -3a^2 + 2ab - 3ab + 2b^2$.
Приведем подобные слагаемые ($2ab$ и $-3ab$): $-3a^2 + (2ab - 3ab) + 2b^2 = -3a^2 - ab + 2b^2$.
Ответ: $-3a^2 - ab + 2b^2$

ж) $(-2x + 1)(3x + 2)$
Раскроем скобки: $(-2x + 1)(3x + 2) = (-2x) \cdot 3x + (-2x) \cdot 2 + 1 \cdot 3x + 1 \cdot 2 = -6x^2 - 4x + 3x + 2$.
Приведем подобные слагаемые ($-4x$ и $3x$): $-6x^2 + (-4x + 3x) + 2 = -6x^2 - x + 2$.
Ответ: $-6x^2 - x + 2$

з) $(-2n - 3m)(-3n + m)$
Раскроем скобки: $(-2n - 3m)(-3n + m) = (-2n) \cdot (-3n) + (-2n) \cdot m + (-3m) \cdot (-3n) + (-3m) \cdot m = 6n^2 - 2nm + 9mn - 3m^2$.
Учитывая, что $nm = mn$, приведем подобные слагаемые ($-2mn$ и $9mn$): $6n^2 + (-2mn + 9mn) - 3m^2 = 6n^2 + 7mn - 3m^2$.
Ответ: $6n^2 + 7mn - 3m^2$

Помогло решение? Оставьте отзыв в комментариях ниже.

Присоединяйтесь к Телеграм-группе @gdz_by_belarus

Присоединиться

Мы подготовили для вас ответ c подробным объяснением домашего задания по алгебре за 7 класс, для упражнения номер 2.229 расположенного на странице 100 к учебнику 2022 года издания для учащихся школ и гимназий.

Теперь на нашем сайте ГДЗ.ТОП вы всегда легко и бесплатно найдёте условие с правильным ответом на вопрос «Как решить ДЗ» и «Как сделать» задание по алгебре к упражнению №2.229 (с. 100), авторов: Арефьева (Ирина Глебовна), Пирютко (Ольга Николаевна), учебного пособия издательства Народная асвета.