Номер 2.233, страница 101 - гдз по алгебре 7 класс учебник Арефьева, Пирютко

Алгебра, 7 класс Учебник, авторы: Арефьева Ирина Глебовна, Пирютко Ольга Николаевна, издательство Народная асвета, Минск, 2022, зелёного цвета

Авторы: Арефьева И. Г., Пирютко О. Н.

Тип: Учебник

Издательство: Народная асвета

Год издания: 2022 - 2026

Цвет обложки: зелёный с графиком

ISBN: ISBN 978-985-03-3770-2

Допущено Министерством образования Республики Беларусь

Популярные ГДЗ в 7 классе

Глава 2. Выражения и их преобразования. Параграф 11. Умножение многочленов - номер 2.233, страница 101.

№2.233 (с. 101)
Условие. №2.233 (с. 101)
скриншот условия
Алгебра, 7 класс Учебник, авторы: Арефьева Ирина Глебовна, Пирютко Ольга Николаевна, издательство Народная асвета, Минск, 2022, зелёного цвета, страница 101, номер 2.233, Условие

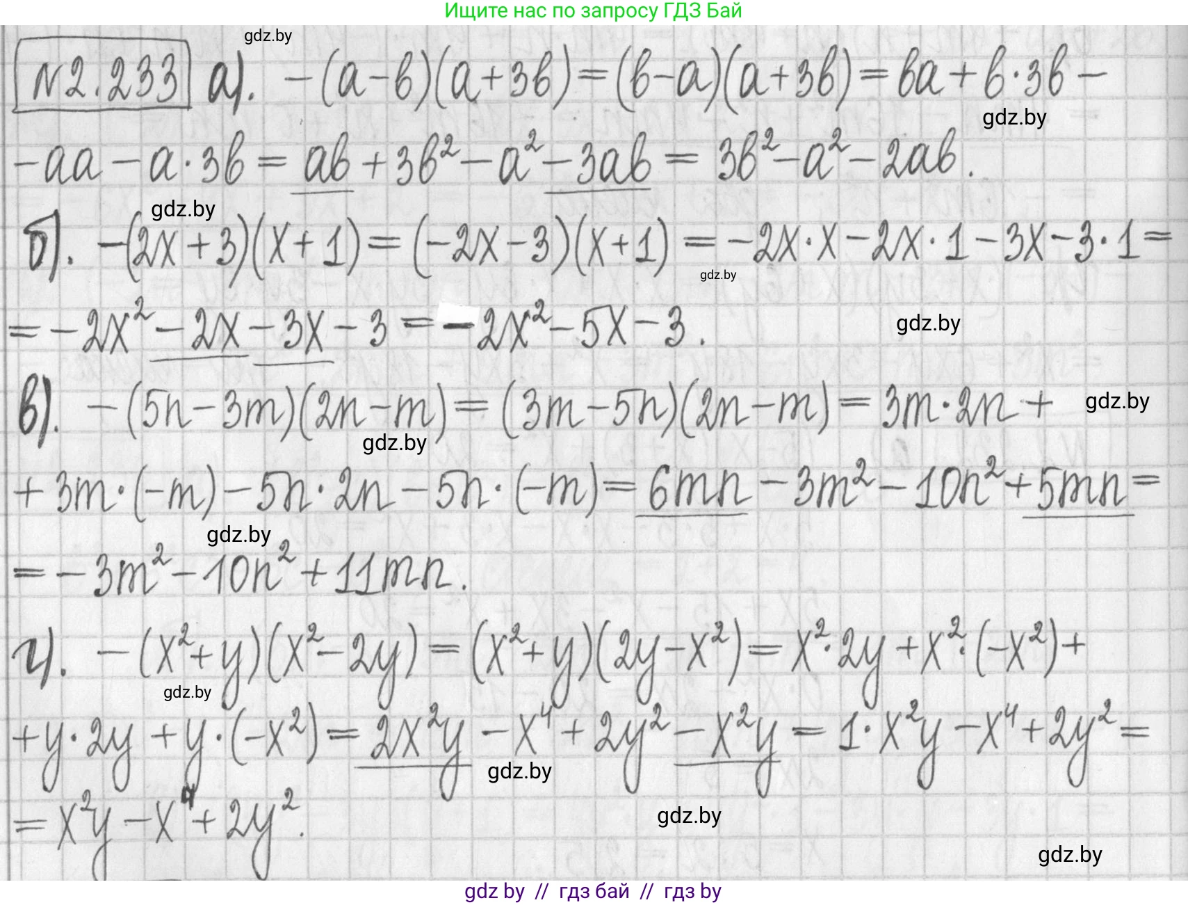
2.233. Представьте в виде трехчлена выражение:

а) $-(a - b)(a + 3b);$

б) $-(2x + 3)(x + 1);$

в) $-(5n - 3m)(2n - m);$

г) $-(x^2 + y)(x^2 - 2y).$

Решение. №2.233 (с. 101)
Алгебра, 7 класс Учебник, авторы: Арефьева Ирина Глебовна, Пирютко Ольга Николаевна, издательство Народная асвета, Минск, 2022, зелёного цвета, страница 101, номер 2.233, Решение
Решение 2. №2.233 (с. 101)

а) Чтобы представить выражение $-(a - b)(a + 3b)$ в виде трехчлена, сначала необходимо перемножить двучлены в скобках. Для этого каждый член первого двучлена умножается на каждый член второго.

$(a - b)(a + 3b) = a \cdot a + a \cdot 3b - b \cdot a - b \cdot 3b = a^2 + 3ab - ab - 3b^2$

Далее приведем подобные слагаемые:

$a^2 + (3ab - ab) - 3b^2 = a^2 + 2ab - 3b^2$

Теперь применим знак минус, стоящий перед скобками, ко всем членам полученного многочлена, изменив их знаки на противоположные:

$-(a^2 + 2ab - 3b^2) = -a^2 - 2ab + 3b^2$

Ответ: $-a^2 - 2ab + 3b^2$

б) Представим выражение $-(2x + 3)(x + 1)$ в виде трехчлена. Сначала перемножим двучлены $(2x + 3)$ и $(x + 1)$:

$(2x + 3)(x + 1) = 2x \cdot x + 2x \cdot 1 + 3 \cdot x + 3 \cdot 1 = 2x^2 + 2x + 3x + 3$

Приведем подобные слагаемые:

$2x^2 + (2x + 3x) + 3 = 2x^2 + 5x + 3$

Теперь раскроем скобки с учетом знака минус перед ними:

$-(2x^2 + 5x + 3) = -2x^2 - 5x - 3$

Ответ: $-2x^2 - 5x - 3$

в) Представим выражение $-(5n - 3m)(2n - m)$ в виде трехчлена. Сначала выполним умножение двучленов:

$(5n - 3m)(2n - m) = 5n \cdot 2n + 5n \cdot (-m) - 3m \cdot 2n - 3m \cdot (-m) = 10n^2 - 5nm - 6mn + 3m^2$

Приведем подобные слагаемые, помня, что $nm$ и $mn$ являются одинаковыми членами:

$10n^2 - 5mn - 6mn + 3m^2 = 10n^2 - 11mn + 3m^2$

Теперь применим знак минус к полученному многочлену:

$-(10n^2 - 11mn + 3m^2) = -10n^2 + 11mn - 3m^2$

Ответ: $-10n^2 + 11mn - 3m^2$

г) Представим выражение $-(x^2 + y)(x^2 - 2y)$ в виде трехчлена. Сначала перемножим двучлены:

$(x^2 + y)(x^2 - 2y) = x^2 \cdot x^2 + x^2 \cdot (-2y) + y \cdot x^2 + y \cdot (-2y) = x^4 - 2x^2y + x^2y - 2y^2$

Приведем подобные слагаемые:

$x^4 + (-2x^2y + x^2y) - 2y^2 = x^4 - x^2y - 2y^2$

Теперь раскроем скобки, изменив знаки на противоположные из-за минуса перед ними:

$-(x^4 - x^2y - 2y^2) = -x^4 + x^2y + 2y^2$

Ответ: $-x^4 + x^2y + 2y^2$

Помогло решение? Оставьте отзыв в комментариях ниже.

Присоединяйтесь к Телеграм-группе @gdz_by_belarus

Присоединиться

Мы подготовили для вас ответ c подробным объяснением домашего задания по алгебре за 7 класс, для упражнения номер 2.233 расположенного на странице 101 к учебнику 2022 года издания для учащихся школ и гимназий.

Теперь на нашем сайте ГДЗ.ТОП вы всегда легко и бесплатно найдёте условие с правильным ответом на вопрос «Как решить ДЗ» и «Как сделать» задание по алгебре к упражнению №2.233 (с. 101), авторов: Арефьева (Ирина Глебовна), Пирютко (Ольга Николаевна), учебного пособия издательства Народная асвета.