Номер 2.238, страница 101 - гдз по алгебре 7 класс учебник Арефьева, Пирютко

Алгебра, 7 класс Учебник, авторы: Арефьева Ирина Глебовна, Пирютко Ольга Николаевна, издательство Народная асвета, Минск, 2022, зелёного цвета

Авторы: Арефьева И. Г., Пирютко О. Н.

Тип: Учебник

Издательство: Народная асвета

Год издания: 2022 - 2026

Цвет обложки: зелёный с графиком

ISBN: ISBN 978-985-03-3770-2

Допущено Министерством образования Республики Беларусь

Популярные ГДЗ в 7 классе

Глава 2. Выражения и их преобразования. Параграф 11. Умножение многочленов - номер 2.238, страница 101.

№2.238 (с. 101)
Условие. №2.238 (с. 101)
скриншот условия
Алгебра, 7 класс Учебник, авторы: Арефьева Ирина Глебовна, Пирютко Ольга Николаевна, издательство Народная асвета, Минск, 2022, зелёного цвета, страница 101, номер 2.238, Условие

2.238. Упростите выражение, используя тождественные преобразования:

а) $(2a + 6b)(3a - 5b) - 8ab;$

б) $(3n + 7m)(2n - 3m) - 5mn;$

в) $(a - 2)(a + 2) - 2a(5 - a);$

г) $-(y - 3)(1 + y) - 5y(2 + y);$

д) $4x(2x - 1) - (x - 3)(x + 3);$

е) $-3c(3c - 2) - (3c + 2)(2 - 3c).$

Решение. №2.238 (с. 101)
Алгебра, 7 класс Учебник, авторы: Арефьева Ирина Глебовна, Пирютко Ольга Николаевна, издательство Народная асвета, Минск, 2022, зелёного цвета, страница 101, номер 2.238, Решение Алгебра, 7 класс Учебник, авторы: Арефьева Ирина Глебовна, Пирютко Ольга Николаевна, издательство Народная асвета, Минск, 2022, зелёного цвета, страница 101, номер 2.238, Решение (продолжение 2)
Решение 2. №2.238 (с. 101)

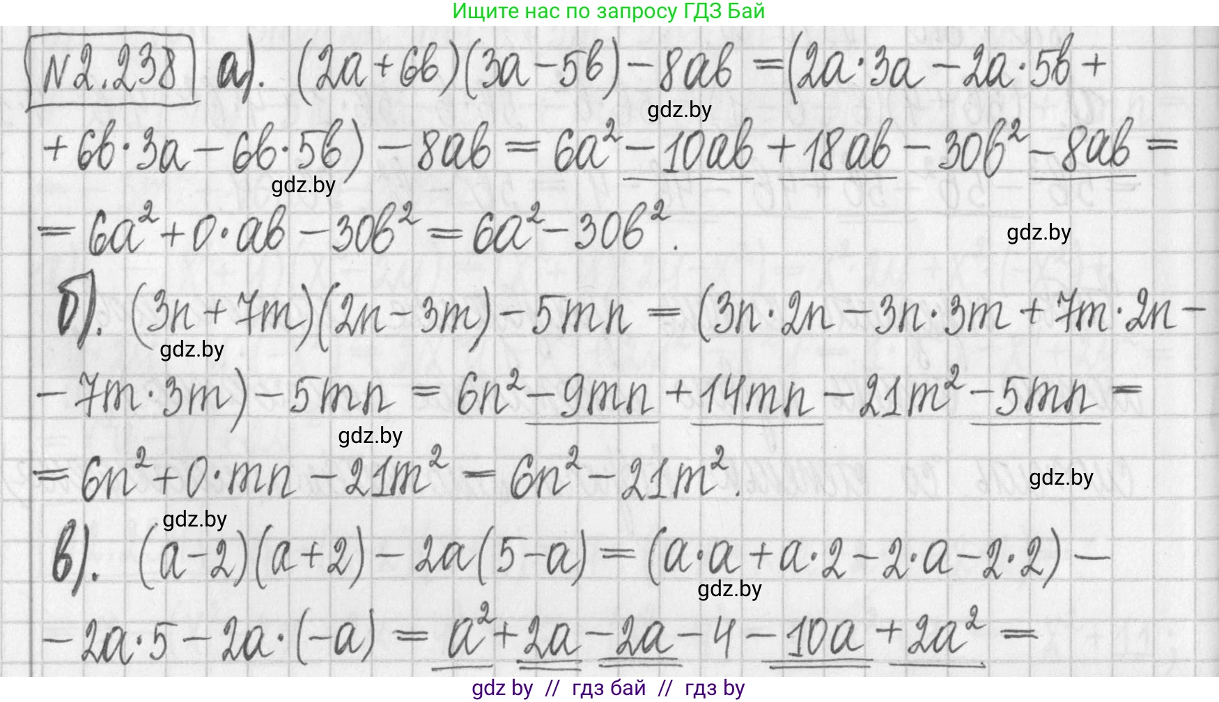
а) $(2a + 6b)(3a - 5b) - 8ab$
Для упрощения выражения сначала раскроем скобки, перемножив многочлены, а затем приведем подобные слагаемые.
$(2a + 6b)(3a - 5b) - 8ab = (2a \cdot 3a + 2a \cdot (-5b) + 6b \cdot 3a + 6b \cdot (-5b)) - 8ab$
$= (6a^2 - 10ab + 18ab - 30b^2) - 8ab$
Приводим подобные члены внутри скобок:
$= 6a^2 + 8ab - 30b^2 - 8ab$
Приводим подобные члены в итоговом выражении:
$= 6a^2 + (8ab - 8ab) - 30b^2 = 6a^2 - 30b^2$
Ответ: $6a^2 - 30b^2$

б) $(3n + 7m)(2n - 3m) - 5mn$
Раскроем скобки и приведем подобные слагаемые.
$(3n + 7m)(2n - 3m) - 5mn = (3n \cdot 2n + 3n \cdot (-3m) + 7m \cdot 2n + 7m \cdot (-3m)) - 5mn$
$= (6n^2 - 9mn + 14mn - 21m^2) - 5mn$
$= 6n^2 + 5mn - 21m^2 - 5mn$
$= 6n^2 + (5mn - 5mn) - 21m^2 = 6n^2 - 21m^2$
Ответ: $6n^2 - 21m^2$

в) $(a - 2)(a + 2) - 2a(5 - a)$
Используем формулу сокращенного умножения "разность квадратов" $(x-y)(x+y) = x^2 - y^2$ для первого слагаемого и распределительный закон для второго.
$(a - 2)(a + 2) - 2a(5 - a) = (a^2 - 2^2) - (2a \cdot 5 - 2a \cdot a) = (a^2 - 4) - (10a - 2a^2)$
Раскрываем вторые скобки, меняя знаки:
$= a^2 - 4 - 10a + 2a^2$
Приводим подобные слагаемые:
$= (a^2 + 2a^2) - 10a - 4 = 3a^2 - 10a - 4$
Ответ: $3a^2 - 10a - 4$

г) $-(y - 3)(1 + y) - 5y(2 + y)$
Раскроем скобки. В первом произведении для удобства внесем знак минуса в первую скобку: $-(y-3) = (3-y)$.
$(3 - y)(1 + y) - 5y(2 + y) = (3 \cdot 1 + 3 \cdot y - y \cdot 1 - y \cdot y) - (5y \cdot 2 + 5y \cdot y)$
$= (3 + 3y - y - y^2) - (10y + 5y^2) = 3 + 2y - y^2 - 10y - 5y^2$
Приводим подобные слагаемые:
$= (-y^2 - 5y^2) + (2y - 10y) + 3 = -6y^2 - 8y + 3$
Ответ: $-6y^2 - 8y + 3$

д) $4x(2x - 1) - (x - 3)(x + 3)$
Раскроем скобки в первой части и применим формулу "разность квадратов" ко второй.
$4x(2x - 1) - (x - 3)(x + 3) = (4x \cdot 2x - 4x \cdot 1) - (x^2 - 3^2)$
$= (8x^2 - 4x) - (x^2 - 9) = 8x^2 - 4x - x^2 + 9$
Приводим подобные слагаемые:
$= (8x^2 - x^2) - 4x + 9 = 7x^2 - 4x + 9$
Ответ: $7x^2 - 4x + 9$

е) $-3c(3c - 2) - (3c + 2)(2 - 3c)$
Раскроем скобки в первой части. Во второй части заметим, что множители можно переставить: $(3c+2)(2-3c) = (2+3c)(2-3c)$, что является формулой "разность квадратов".
$-3c(3c - 2) - (2 + 3c)(2 - 3c) = (-3c \cdot 3c - (-3c) \cdot 2) - (2^2 - (3c)^2)$
$= (-9c^2 + 6c) - (4 - 9c^2) = -9c^2 + 6c - 4 + 9c^2$
Приводим подобные слагаемые:
$= (-9c^2 + 9c^2) + 6c - 4 = 6c - 4$
Ответ: $6c - 4$

Помогло решение? Оставьте отзыв в комментариях ниже.

Присоединяйтесь к Телеграм-группе @gdz_by_belarus

Присоединиться

Мы подготовили для вас ответ c подробным объяснением домашего задания по алгебре за 7 класс, для упражнения номер 2.238 расположенного на странице 101 к учебнику 2022 года издания для учащихся школ и гимназий.

Теперь на нашем сайте ГДЗ.ТОП вы всегда легко и бесплатно найдёте условие с правильным ответом на вопрос «Как решить ДЗ» и «Как сделать» задание по алгебре к упражнению №2.238 (с. 101), авторов: Арефьева (Ирина Глебовна), Пирютко (Ольга Николаевна), учебного пособия издательства Народная асвета.