Номер 2.249, страница 102 - гдз по алгебре 7 класс учебник Арефьева, Пирютко

Алгебра, 7 класс Учебник, авторы: Арефьева Ирина Глебовна, Пирютко Ольга Николаевна, издательство Народная асвета, Минск, 2022, зелёного цвета

Авторы: Арефьева И. Г., Пирютко О. Н.

Тип: Учебник

Издательство: Народная асвета

Год издания: 2022 - 2026

Цвет обложки: зелёный с графиком

ISBN: ISBN 978-985-03-3770-2

Допущено Министерством образования Республики Беларусь

Популярные ГДЗ в 7 классе

Глава 2. Выражения и их преобразования. Параграф 11. Умножение многочленов - номер 2.249, страница 102.

№2.249 (с. 102)
Условие. №2.249 (с. 102)
скриншот условия
Алгебра, 7 класс Учебник, авторы: Арефьева Ирина Глебовна, Пирютко Ольга Николаевна, издательство Народная асвета, Минск, 2022, зелёного цвета, страница 102, номер 2.249, Условие

2.249. Выполните умножение многочленов:

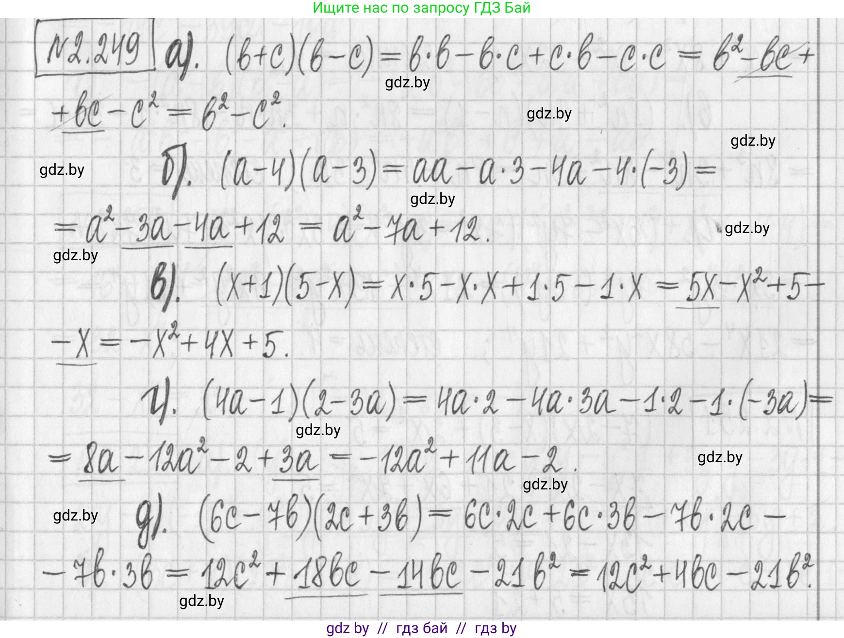
а) $(b + c)(b - c);$

б) $(a - 4)(a - 3);$

В) $(x + 1)(5 - x);$

Г) $(4a - 1)(2 - 3a);$

Д) $(6c - 7b)(2c + 3b);$

е) $(5m - 2n)(3n - 5m);$

Ж) $(-x + y)(2x - y);$

З) $(-2a - 3b)(-3a + 4b).$

Решение. №2.249 (с. 102)
Алгебра, 7 класс Учебник, авторы: Арефьева Ирина Глебовна, Пирютко Ольга Николаевна, издательство Народная асвета, Минск, 2022, зелёного цвета, страница 102, номер 2.249, Решение Алгебра, 7 класс Учебник, авторы: Арефьева Ирина Глебовна, Пирютко Ольга Николаевна, издательство Народная асвета, Минск, 2022, зелёного цвета, страница 102, номер 2.249, Решение (продолжение 2)
Решение 2. №2.249 (с. 102)

а) Для умножения многочлена $(b + c)$ на $(b - c)$ применяется формула сокращённого умножения "разность квадратов": $(x+y)(x-y) = x^2 - y^2$.

$(b + c)(b - c) = b^2 - c^2$

Ответ: $b^2 - c^2$

б) Для умножения многочлена $(a - 4)$ на $(a - 3)$ необходимо каждый член первого многочлена умножить на каждый член второго многочлена, а затем сложить полученные произведения.

$(a - 4)(a - 3) = a \cdot a + a \cdot (-3) - 4 \cdot a - 4 \cdot (-3) = a^2 - 3a - 4a + 12$

Приводим подобные слагаемые:

$a^2 + (-3a - 4a) + 12 = a^2 - 7a + 12$

Ответ: $a^2 - 7a + 12$

в) Умножаем многочлен $(x + 1)$ на $(5 - x)$ по тому же правилу:

$(x + 1)(5 - x) = x \cdot 5 + x \cdot (-x) + 1 \cdot 5 + 1 \cdot (-x) = 5x - x^2 + 5 - x$

Приводим подобные слагаемые и располагаем члены в порядке убывания степеней переменной:

$-x^2 + (5x - x) + 5 = -x^2 + 4x + 5$

Ответ: $-x^2 + 4x + 5$

г) Умножаем многочлен $(4a - 1)$ на $(2 - 3a)$:

$(4a - 1)(2 - 3a) = 4a \cdot 2 + 4a \cdot (-3a) - 1 \cdot 2 - 1 \cdot (-3a) = 8a - 12a^2 - 2 + 3a$

Приводим подобные слагаемые и упорядочиваем члены:

$-12a^2 + (8a + 3a) - 2 = -12a^2 + 11a - 2$

Ответ: $-12a^2 + 11a - 2$

д) Умножаем многочлен $(6c - 7b)$ на $(2c + 3b)$:

$(6c - 7b)(2c + 3b) = 6c \cdot 2c + 6c \cdot 3b - 7b \cdot 2c - 7b \cdot 3b = 12c^2 + 18bc - 14bc - 21b^2$

Приводим подобные слагаемые:

$12c^2 + (18bc - 14bc) - 21b^2 = 12c^2 + 4bc - 21b^2$

Ответ: $12c^2 + 4bc - 21b^2$

е) Умножаем многочлен $(5m - 2n)$ на $(3n - 5m)$:

$(5m - 2n)(3n - 5m) = 5m \cdot 3n + 5m \cdot (-5m) - 2n \cdot 3n - 2n \cdot (-5m) = 15mn - 25m^2 - 6n^2 + 10mn$

Приводим подобные слагаемые и упорядочиваем члены:

$-25m^2 + (15mn + 10mn) - 6n^2 = -25m^2 + 25mn - 6n^2$

Ответ: $-25m^2 + 25mn - 6n^2$

ж) Умножаем многочлен $(-x + y)$ на $(2x - y)$:

$(-x + y)(2x - y) = -x \cdot 2x - x \cdot (-y) + y \cdot 2x + y \cdot (-y) = -2x^2 + xy + 2xy - y^2$

Приводим подобные слагаемые:

$-2x^2 + (xy + 2xy) - y^2 = -2x^2 + 3xy - y^2$

Ответ: $-2x^2 + 3xy - y^2$

з) Умножаем многочлен $(-2a - 3b)$ на $(-3a + 4b)$:

$(-2a - 3b)(-3a + 4b) = (-2a) \cdot (-3a) + (-2a) \cdot 4b - 3b \cdot (-3a) - 3b \cdot 4b = 6a^2 - 8ab + 9ab - 12b^2$

Приводим подобные слагаемые:

$6a^2 + (-8ab + 9ab) - 12b^2 = 6a^2 + ab - 12b^2$

Ответ: $6a^2 + ab - 12b^2$

Помогло решение? Оставьте отзыв в комментариях ниже.

Присоединяйтесь к Телеграм-группе @gdz_by_belarus

Присоединиться

Мы подготовили для вас ответ c подробным объяснением домашего задания по алгебре за 7 класс, для упражнения номер 2.249 расположенного на странице 102 к учебнику 2022 года издания для учащихся школ и гимназий.

Теперь на нашем сайте ГДЗ.ТОП вы всегда легко и бесплатно найдёте условие с правильным ответом на вопрос «Как решить ДЗ» и «Как сделать» задание по алгебре к упражнению №2.249 (с. 102), авторов: Арефьева (Ирина Глебовна), Пирютко (Ольга Николаевна), учебного пособия издательства Народная асвета.