Номер 2.252, страница 103 - гдз по алгебре 7 класс учебник Арефьева, Пирютко
Авторы: Арефьева И. Г., Пирютко О. Н.
Тип: Учебник
Издательство: Народная асвета
Год издания: 2022 - 2026
Цвет обложки: зелёный с графиком
ISBN: ISBN 978-985-03-3770-2
Допущено Министерством образования Республики Беларусь
Популярные ГДЗ в 7 классе
Глава 2. Выражения и их преобразования. Параграф 11. Умножение многочленов - номер 2.252, страница 103.
№2.252 (с. 103)
Условие. №2.252 (с. 103)
скриншот условия
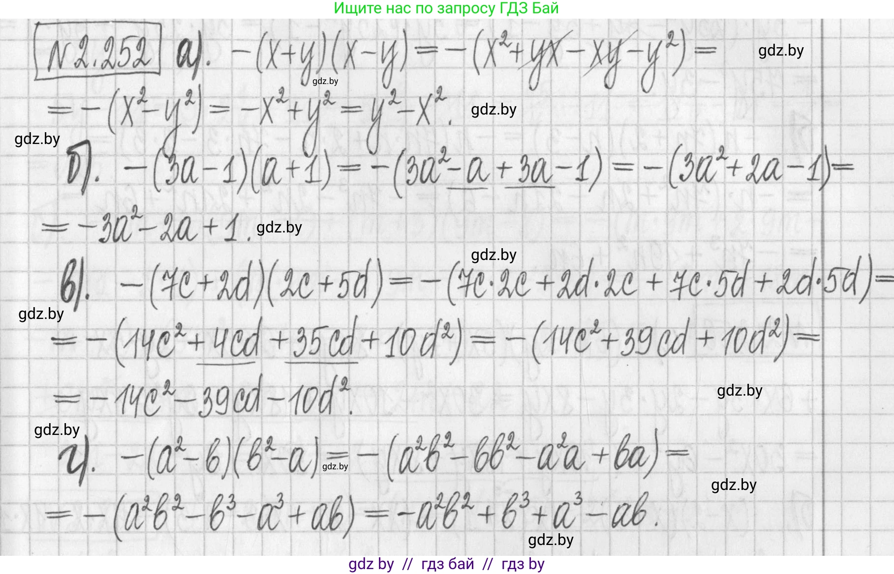
2.252. Преобразуйте в многочлен:
а) $ -(x+y)(x-y); $
б) $ -(3a-1)(a+1); $
В) $ -(7c+2d)(2c+5d); $
Г) $ -(a^2-b)(b^2-a). $
Решение. №2.252 (с. 103)
Решение 2. №2.252 (с. 103)
а) $-(x + y)(x - y)$
Для преобразования данного выражения сначала воспользуемся формулой сокращенного умножения "разность квадратов": $(a+b)(a-b) = a^2 - b^2$.
Применим эту формулу к выражению в скобках:
$(x + y)(x - y) = x^2 - y^2$
Теперь учтем знак минуса, стоящий перед скобками. Для этого нужно раскрыть скобки, поменяв знаки каждого слагаемого на противоположные:
$-(x^2 - y^2) = -x^2 + y^2$
Для стандартной записи многочлена можно поменять слагаемые местами:
$y^2 - x^2$
Ответ: $y^2 - x^2$
б) $-(3a - 1)(a + 1)$
Сначала выполним умножение двух многочленов в скобках, перемножив каждый член первого многочлена на каждый член второго:
$(3a - 1)(a + 1) = 3a \cdot a + 3a \cdot 1 - 1 \cdot a - 1 \cdot 1 = 3a^2 + 3a - a - 1$
Приведем подобные слагаемые в полученном выражении:
$3a^2 + (3a - a) - 1 = 3a^2 + 2a - 1$
Теперь раскроем скобки, учитывая знак минуса перед ними:
$-(3a^2 + 2a - 1) = -3a^2 - 2a + 1$
Ответ: $-3a^2 - 2a + 1$
в) $-(7c + 2d)(2c + 5d)$
Сначала перемножим многочлены в скобках:
$(7c + 2d)(2c + 5d) = 7c \cdot 2c + 7c \cdot 5d + 2d \cdot 2c + 2d \cdot 5d$
Выполним умножение:
$14c^2 + 35cd + 4dc + 10d^2$
Приведем подобные слагаемые ($35cd$ и $4dc$, так как $dc=cd$):
$14c^2 + (35cd + 4cd) + 10d^2 = 14c^2 + 39cd + 10d^2$
Теперь раскроем скобки, учитывая знак минуса:
$-(14c^2 + 39cd + 10d^2) = -14c^2 - 39cd - 10d^2$
Ответ: $-14c^2 - 39cd - 10d^2$
г) $-(a^2 - b)(b^2 - a)$
Сначала перемножим многочлены в скобках:
$(a^2 - b)(b^2 - a) = a^2 \cdot b^2 + a^2 \cdot (-a) - b \cdot b^2 - b \cdot (-a)$
Выполним умножение:
$a^2b^2 - a^3 - b^3 + ab$
Подобных слагаемых в этом выражении нет. Теперь раскроем скобки, поменяв знаки всех членов многочлена на противоположные:
$-(a^2b^2 - a^3 - b^3 + ab) = -a^2b^2 + a^3 + b^3 - ab$
Расположим члены многочлена в стандартном порядке (например, по убыванию степеней переменной $a$):
$a^3 - a^2b^2 - ab + b^3$
Ответ: $a^3 - a^2b^2 - ab + b^3$
Другие задания:
Помогло решение? Оставьте отзыв в комментариях ниже.
Присоединяйтесь к Телеграм-группе @gdz_by_belarus
ПрисоединитьсяМы подготовили для вас ответ c подробным объяснением домашего задания по алгебре за 7 класс, для упражнения номер 2.252 расположенного на странице 103 к учебнику 2022 года издания для учащихся школ и гимназий.
Теперь на нашем сайте ГДЗ.ТОП вы всегда легко и бесплатно найдёте условие с правильным ответом на вопрос «Как решить ДЗ» и «Как сделать» задание по алгебре к упражнению №2.252 (с. 103), авторов: Арефьева (Ирина Глебовна), Пирютко (Ольга Николаевна), учебного пособия издательства Народная асвета.