Номер 2.301, страница 114 - гдз по алгебре 7 класс учебник Арефьева, Пирютко

Алгебра, 7 класс Учебник, авторы: Арефьева Ирина Глебовна, Пирютко Ольга Николаевна, издательство Народная асвета, Минск, 2022, зелёного цвета

Авторы: Арефьева И. Г., Пирютко О. Н.

Тип: Учебник

Издательство: Народная асвета

Год издания: 2022 - 2026

Цвет обложки: зелёный с графиком

ISBN: ISBN 978-985-03-3770-2

Допущено Министерством образования Республики Беларусь

Популярные ГДЗ в 7 классе

Глава 2. Выражения и их преобразования. Параграф 12. Формулы сокращенного умножения: квадрат суммы и квадрат разности двух выражений - номер 2.301, страница 114.

№2.301 (с. 114)
Условие. №2.301 (с. 114)
скриншот условия
Алгебра, 7 класс Учебник, авторы: Арефьева Ирина Глебовна, Пирютко Ольга Николаевна, издательство Народная асвета, Минск, 2022, зелёного цвета, страница 114, номер 2.301, Условие

2.301. Используя формулы квадрата суммы и квадрата разности, представьте выражение в виде многочлена стандартного вида:

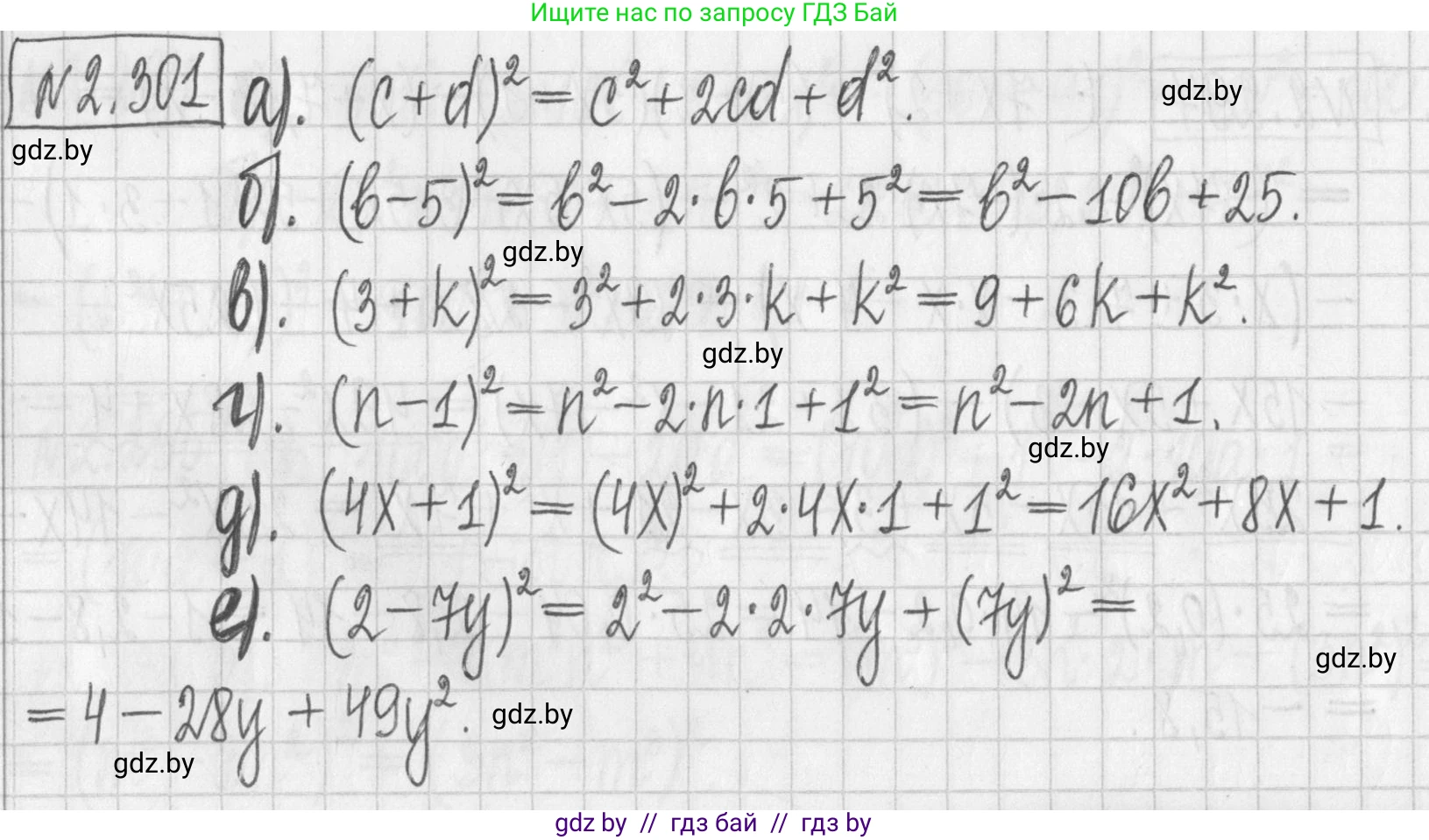
а) $(c + d)^2$;

б) $(b - 5)^2$;

в) $(3 + k)^2$;

г) $(n - 1)^2$;

д) $(4x + 1)^2$;

е) $(2 - 7y)^2$;

ж) $(6a + b)^2$;

з) $(5p - 2q)^2$;

и) $(8a + 3b)^2.$

Решение. №2.301 (с. 114)
Алгебра, 7 класс Учебник, авторы: Арефьева Ирина Глебовна, Пирютко Ольга Николаевна, издательство Народная асвета, Минск, 2022, зелёного цвета, страница 114, номер 2.301, Решение Алгебра, 7 класс Учебник, авторы: Арефьева Ирина Глебовна, Пирютко Ольга Николаевна, издательство Народная асвета, Минск, 2022, зелёного цвета, страница 114, номер 2.301, Решение (продолжение 2)
Решение 2. №2.301 (с. 114)

Для решения данной задачи мы будем использовать формулы сокращенного умножения:

  • Квадрат суммы: $(a+b)^2 = a^2 + 2ab + b^2$
  • Квадрат разности: $(a-b)^2 = a^2 - 2ab + b^2$

а) Для выражения $(c + d)^2$ используем формулу квадрата суммы. В данном случае $a=c$ и $b=d$.
$(c + d)^2 = c^2 + 2 \cdot c \cdot d + d^2 = c^2 + 2cd + d^2$
Ответ: $c^2 + 2cd + d^2$

б) Для выражения $(b - 5)^2$ используем формулу квадрата разности. Здесь $a=b$ и $b=5$.
$(b - 5)^2 = b^2 - 2 \cdot b \cdot 5 + 5^2 = b^2 - 10b + 25$
Ответ: $b^2 - 10b + 25$

в) Для выражения $(3 + k)^2$ используем формулу квадрата суммы. Здесь $a=3$ и $b=k$.
$(3 + k)^2 = 3^2 + 2 \cdot 3 \cdot k + k^2 = 9 + 6k + k^2$
Представим многочлен в стандартном виде, расположив члены по убыванию степеней переменной $k$: $k^2 + 6k + 9$.
Ответ: $k^2 + 6k + 9$

г) Для выражения $(n - 1)^2$ используем формулу квадрата разности. Здесь $a=n$ и $b=1$.
$(n - 1)^2 = n^2 - 2 \cdot n \cdot 1 + 1^2 = n^2 - 2n + 1$
Ответ: $n^2 - 2n + 1$

д) Для выражения $(4x + 1)^2$ используем формулу квадрата суммы. Здесь $a=4x$ и $b=1$.
$(4x + 1)^2 = (4x)^2 + 2 \cdot (4x) \cdot 1 + 1^2 = 16x^2 + 8x + 1$
Ответ: $16x^2 + 8x + 1$

е) Для выражения $(2 - 7y)^2$ используем формулу квадрата разности. Здесь $a=2$ и $b=7y$.
$(2 - 7y)^2 = 2^2 - 2 \cdot 2 \cdot (7y) + (7y)^2 = 4 - 28y + 49y^2$
Представим многочлен в стандартном виде: $49y^2 - 28y + 4$.
Ответ: $49y^2 - 28y + 4$

ж) Для выражения $(6a + b)^2$ используем формулу квадрата суммы. Здесь первый член равен $6a$, а второй $b$.
$(6a + b)^2 = (6a)^2 + 2 \cdot (6a) \cdot b + b^2 = 36a^2 + 12ab + b^2$
Ответ: $36a^2 + 12ab + b^2$

з) Для выражения $(5p - 2q)^2$ используем формулу квадрата разности. Здесь $a=5p$ и $b=2q$.
$(5p - 2q)^2 = (5p)^2 - 2 \cdot (5p) \cdot (2q) + (2q)^2 = 25p^2 - 20pq + 4q^2$
Ответ: $25p^2 - 20pq + 4q^2$

и) Для выражения $(8a + 3b)^2$ используем формулу квадрата суммы. Здесь первый член равен $8a$, а второй $3b$.
$(8a + 3b)^2 = (8a)^2 + 2 \cdot (8a) \cdot (3b) + (3b)^2 = 64a^2 + 48ab + 9b^2$
Ответ: $64a^2 + 48ab + 9b^2$

Помогло решение? Оставьте отзыв в комментариях ниже.

Присоединяйтесь к Телеграм-группе @gdz_by_belarus

Присоединиться

Мы подготовили для вас ответ c подробным объяснением домашего задания по алгебре за 7 класс, для упражнения номер 2.301 расположенного на странице 114 к учебнику 2022 года издания для учащихся школ и гимназий.

Теперь на нашем сайте ГДЗ.ТОП вы всегда легко и бесплатно найдёте условие с правильным ответом на вопрос «Как решить ДЗ» и «Как сделать» задание по алгебре к упражнению №2.301 (с. 114), авторов: Арефьева (Ирина Глебовна), Пирютко (Ольга Николаевна), учебного пособия издательства Народная асвета.