Номер 2.304, страница 114 - гдз по алгебре 7 класс учебник Арефьева, Пирютко
Авторы: Арефьева И. Г., Пирютко О. Н.
Тип: Учебник
Издательство: Народная асвета
Год издания: 2022 - 2026
Цвет обложки: зелёный с графиком
ISBN: ISBN 978-985-03-3770-2
Допущено Министерством образования Республики Беларусь
Популярные ГДЗ в 7 классе
Глава 2. Выражения и их преобразования. Параграф 12. Формулы сокращенного умножения: квадрат суммы и квадрат разности двух выражений - номер 2.304, страница 114.
№2.304 (с. 114)
Условие. №2.304 (с. 114)
скриншот условия
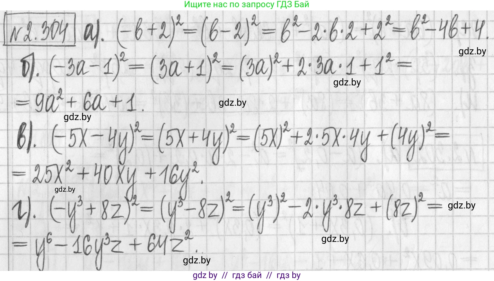
2.304. Представьте в виде трехчлена:
а) $(-b + 2)^2$;
б) $(-3a - 1)^2$;
в) $(-5x - 4y)^2$;
г) $(-y^3 + 8z)^2$.
Решение. №2.304 (с. 114)
Решение 2. №2.304 (с. 114)
Квадрат суммы: $(a + b)^2 = a^2 + 2ab + b^2$
Квадрат разности: $(a - b)^2 = a^2 - 2ab + b^2$
Также полезно помнить свойство, что $(-x)^2 = x^2$. Это позволяет упростить выражения, в которых оба члена в скобках отрицательны, например: $(-a - b)^2 = (-(a + b))^2 = (a + b)^2$.а) Представим выражение $(-b + 2)^2$ в виде трехчлена.
Можно поменять слагаемые местами и применить формулу квадрата разности:
$(-b + 2)^2 = (2 - b)^2 = 2^2 - 2 \cdot 2 \cdot b + b^2 = 4 - 4b + b^2$.
Расположим члены в стандартном порядке: $b^2 - 4b + 4$.
Ответ: $b^2 - 4b + 4$.
б) Представим выражение $(-3a - 1)^2$ в виде трехчлена.
Вынесем минус за скобки и воспользуемся свойством $(-x)^2 = x^2$:
$(-3a - 1)^2 = (-(3a + 1))^2 = (3a + 1)^2$.
Теперь применим формулу квадрата суммы:
$(3a + 1)^2 = (3a)^2 + 2 \cdot 3a \cdot 1 + 1^2 = 9a^2 + 6a + 1$.
Ответ: $9a^2 + 6a + 1$.
в) Представим выражение $(-5x - 4y)^2$ в виде трехчлена.
Аналогично предыдущему пункту, вынесем минус за скобки:
$(-5x - 4y)^2 = (-(5x + 4y))^2 = (5x + 4y)^2$.
Применим формулу квадрата суммы:
$(5x + 4y)^2 = (5x)^2 + 2 \cdot 5x \cdot 4y + (4y)^2 = 25x^2 + 40xy + 16y^2$.
Ответ: $25x^2 + 40xy + 16y^2$.
г) Представим выражение $(-y^3 + 8z)^2$ в виде трехчлена.
Поменяем слагаемые местами и применим формулу квадрата разности:
$(-y^3 + 8z)^2 = (8z - y^3)^2 = (8z)^2 - 2 \cdot 8z \cdot y^3 + (y^3)^2 = 64z^2 - 16zy^3 + y^6$.
Для стандартного вида расположим члены по убыванию степени переменной $y$: $y^6 - 16y^3z + 64z^2$.
Ответ: $y^6 - 16y^3z + 64z^2$.
Другие задания:
Помогло решение? Оставьте отзыв в комментариях ниже.
Присоединяйтесь к Телеграм-группе @gdz_by_belarus
ПрисоединитьсяМы подготовили для вас ответ c подробным объяснением домашего задания по алгебре за 7 класс, для упражнения номер 2.304 расположенного на странице 114 к учебнику 2022 года издания для учащихся школ и гимназий.
Теперь на нашем сайте ГДЗ.ТОП вы всегда легко и бесплатно найдёте условие с правильным ответом на вопрос «Как решить ДЗ» и «Как сделать» задание по алгебре к упражнению №2.304 (с. 114), авторов: Арефьева (Ирина Глебовна), Пирютко (Ольга Николаевна), учебного пособия издательства Народная асвета.