Номер 2.328, страница 120 - гдз по алгебре 7 класс учебник Арефьева, Пирютко

Алгебра, 7 класс Учебник, авторы: Арефьева Ирина Глебовна, Пирютко Ольга Николаевна, издательство Народная асвета, Минск, 2022, зелёного цвета

Авторы: Арефьева И. Г., Пирютко О. Н.

Тип: Учебник

Издательство: Народная асвета

Год издания: 2022 - 2026

Цвет обложки: зелёный с графиком

ISBN: ISBN 978-985-03-3770-2

Допущено Министерством образования Республики Беларусь

Популярные ГДЗ в 7 классе

Глава 2. Выражения и их преобразования. Параграф 13. Формулы сокращенного умножения: произведение суммы и разности двух выражений - номер 2.328, страница 120.

№2.328 (с. 120)
Условие. №2.328 (с. 120)
скриншот условия
Алгебра, 7 класс Учебник, авторы: Арефьева Ирина Глебовна, Пирютко Ольга Николаевна, издательство Народная асвета, Минск, 2022, зелёного цвета, страница 120, номер 2.328, Условие

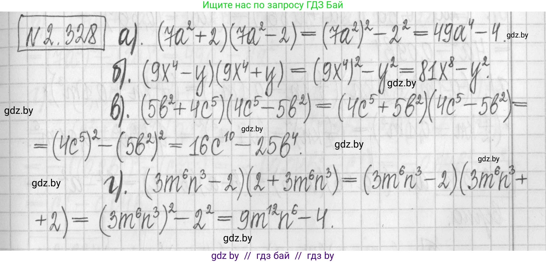
2.328. Выполните тождественные преобразования:

a) $(7a^2 + 2)(7a^2 - 2);$

б) $(9x^4 - y)(9x^4 + y);$

в) $(5b^2 + 4c^5)(4c^5 - 5b^2);$

г) $(3m^6 n^3 - 2)(2 + 3m^6 n^3).$

Решение. №2.328 (с. 120)
Алгебра, 7 класс Учебник, авторы: Арефьева Ирина Глебовна, Пирютко Ольга Николаевна, издательство Народная асвета, Минск, 2022, зелёного цвета, страница 120, номер 2.328, Решение
Решение 2. №2.328 (с. 120)

Все задачи в этом номере решаются с использованием формулы сокращенного умножения "разность квадратов": $(a - b)(a + b) = a^2 - b^2$.

а) В выражении $(7a^2 + 2)(7a^2 - 2)$ мы видим, что оно соответствует формуле разности квадратов, где $a$ из формулы равно $7a^2$, а $b$ равно $2$.
Применим формулу:
$(7a^2 + 2)(7a^2 - 2) = (7a^2)^2 - 2^2 = 7^2 \cdot (a^2)^2 - 4 = 49a^{2 \cdot 2} - 4 = 49a^4 - 4$.
Ответ: $49a^4 - 4$

б) Выражение $(9x^4 - y)(9x^4 + y)$ также является разностью квадратов. Здесь $a = 9x^4$ и $b = y$.
Применим формулу:
$(9x^4 - y)(9x^4 + y) = (9x^4)^2 - y^2 = 9^2 \cdot (x^4)^2 - y^2 = 81x^{4 \cdot 2} - y^2 = 81x^8 - y^2$.
Ответ: $81x^8 - y^2$

в) В выражении $(5b^2 + 4c^5)(4c^5 - 5b^2)$ можно поменять слагаемые в первой скобке местами, так как от перемены мест слагаемых сумма не меняется: $(4c^5 + 5b^2)(4c^5 - 5b^2)$.
Теперь мы видим, что это формула разности квадратов, где $a = 4c^5$ и $b = 5b^2$.
Применяем формулу:
$(4c^5 + 5b^2)(4c^5 - 5b^2) = (4c^5)^2 - (5b^2)^2 = 16c^{10} - 25b^4$.
Ответ: $16c^{10} - 25b^4$

г) В выражении $(3m^6n^3 - 2)(2 + 3m^6n^3)$ поменяем слагаемые во второй скобке местами: $(3m^6n^3 - 2)(3m^6n^3 + 2)$.
Это формула разности квадратов, где $a = 3m^6n^3$ и $b = 2$.
Применяем формулу:
$(3m^6n^3 - 2)(3m^6n^3 + 2) = (3m^6n^3)^2 - 2^2 = 3^2 \cdot (m^6)^2 \cdot (n^3)^2 - 4 = 9m^{12}n^6 - 4$.
Ответ: $9m^{12}n^6 - 4$

Помогло решение? Оставьте отзыв в комментариях ниже.

Присоединяйтесь к Телеграм-группе @gdz_by_belarus

Присоединиться

Мы подготовили для вас ответ c подробным объяснением домашего задания по алгебре за 7 класс, для упражнения номер 2.328 расположенного на странице 120 к учебнику 2022 года издания для учащихся школ и гимназий.

Теперь на нашем сайте ГДЗ.ТОП вы всегда легко и бесплатно найдёте условие с правильным ответом на вопрос «Как решить ДЗ» и «Как сделать» задание по алгебре к упражнению №2.328 (с. 120), авторов: Арефьева (Ирина Глебовна), Пирютко (Ольга Николаевна), учебного пособия издательства Народная асвета.