Номер 2.333, страница 120 - гдз по алгебре 7 класс учебник Арефьева, Пирютко

Алгебра, 7 класс Учебник, авторы: Арефьева Ирина Глебовна, Пирютко Ольга Николаевна, издательство Народная асвета, Минск, 2022, зелёного цвета

Авторы: Арефьева И. Г., Пирютко О. Н.

Тип: Учебник

Издательство: Народная асвета

Год издания: 2022 - 2026

Цвет обложки: зелёный с графиком

ISBN: ISBN 978-985-03-3770-2

Допущено Министерством образования Республики Беларусь

Популярные ГДЗ в 7 классе

Глава 2. Выражения и их преобразования. Параграф 13. Формулы сокращенного умножения: произведение суммы и разности двух выражений - номер 2.333, страница 120.

№2.333 (с. 120)
Условие. №2.333 (с. 120)
скриншот условия
Алгебра, 7 класс Учебник, авторы: Арефьева Ирина Глебовна, Пирютко Ольга Николаевна, издательство Народная асвета, Минск, 2022, зелёного цвета, страница 120, номер 2.333, Условие

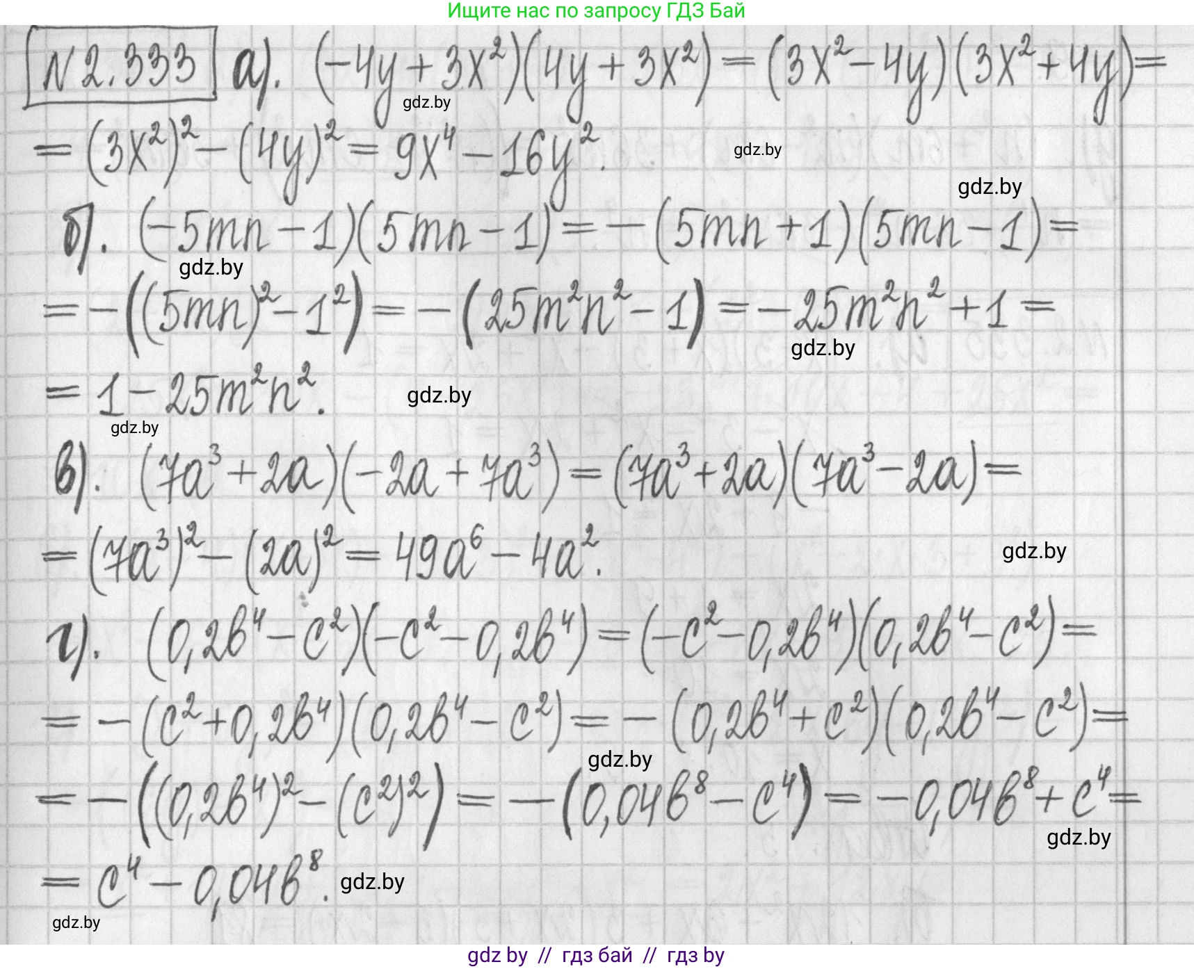
2.333. Используя формулы сокращенного умножения, представьте в виде многочлена произведение:

а) $(-4y + 3x^2)(4y + 3x^2);$

б) $(-5mn - 1)(5mn - 1);$

в) $(7a^3 + 2a)(-2a + 7a^3);$

г) $(0,2b^4 - c^2)(-c^2 - 0,2b^4).$

Решение. №2.333 (с. 120)
Алгебра, 7 класс Учебник, авторы: Арефьева Ирина Глебовна, Пирютко Ольга Николаевна, издательство Народная асвета, Минск, 2022, зелёного цвета, страница 120, номер 2.333, Решение
Решение 2. №2.333 (с. 120)

Для решения данного задания используется формула сокращенного умножения "разность квадратов": $(a - b)(a + b) = a^2 - b^2$. Каждое из произведений необходимо привести к этому виду.

а) $(-4y + 3x^2)(4y + 3x^2)$

Чтобы применить формулу, поменяем местами слагаемые в скобках. Выражение $(-4y + 3x^2)$ эквивалентно $(3x^2 - 4y)$, а выражение $(4y + 3x^2)$ эквивалентно $(3x^2 + 4y)$.

Получаем произведение: $(3x^2 - 4y)(3x^2 + 4y)$.

Это соответствует формуле разности квадратов, где $a = 3x^2$ и $b = 4y$.

Применяем формулу:

$(3x^2)^2 - (4y)^2 = 9x^4 - 16y^2$

Ответ: $9x^4 - 16y^2$

б) $(-5mn - 1)(5mn - 1)$

Перегруппируем слагаемые в скобках для удобства. Выражение $(-5mn - 1)$ можно записать как $(-1 - 5mn)$, а выражение $(5mn - 1)$ как $(-1 + 5mn)$.

Получаем произведение: $(-1 - 5mn)(-1 + 5mn)$.

Это соответствует формуле разности квадратов, где $a = -1$ и $b = 5mn$.

Применяем формулу:

$(-1)^2 - (5mn)^2 = 1 - 25m^2n^2$

Ответ: $1 - 25m^2n^2$

в) $(7a^3 + 2a)(-2a + 7a^3)$

Поменяем местами слагаемые во второй скобке: $(-2a + 7a^3)$ эквивалентно $(7a^3 - 2a)$.

Получаем произведение: $(7a^3 + 2a)(7a^3 - 2a)$.

Это соответствует формуле разности квадратов, где $a = 7a^3$ и $b = 2a$.

Применяем формулу:

$(7a^3)^2 - (2a)^2 = 49a^6 - 4a^2$

Ответ: $49a^6 - 4a^2$

г) $(0,2b^4 - c^2)(-c^2 - 0,2b^4)$

Перегруппируем слагаемые в первой скобке: $(0,2b^4 - c^2)$ эквивалентно $(-c^2 + 0,2b^4)$.

Получаем произведение: $(-c^2 + 0,2b^4)(-c^2 - 0,2b^4)$.

Это соответствует формуле разности квадратов, где $a = -c^2$ и $b = 0,2b^4$.

Применяем формулу:

$(-c^2)^2 - (0,2b^4)^2 = c^4 - 0,04b^8$

Ответ: $c^4 - 0,04b^8$

Помогло решение? Оставьте отзыв в комментариях ниже.

Присоединяйтесь к Телеграм-группе @gdz_by_belarus

Присоединиться

Мы подготовили для вас ответ c подробным объяснением домашего задания по алгебре за 7 класс, для упражнения номер 2.333 расположенного на странице 120 к учебнику 2022 года издания для учащихся школ и гимназий.

Теперь на нашем сайте ГДЗ.ТОП вы всегда легко и бесплатно найдёте условие с правильным ответом на вопрос «Как решить ДЗ» и «Как сделать» задание по алгебре к упражнению №2.333 (с. 120), авторов: Арефьева (Ирина Глебовна), Пирютко (Ольга Николаевна), учебного пособия издательства Народная асвета.