Номер 3.228, страница 200 - гдз по алгебре 7 класс учебник Арефьева, Пирютко

Алгебра, 7 класс Учебник, авторы: Арефьева Ирина Глебовна, Пирютко Ольга Николаевна, издательство Народная асвета, Минск, 2022, зелёного цвета

Авторы: Арефьева И. Г., Пирютко О. Н.

Тип: Учебник

Издательство: Народная асвета

Год издания: 2022 - 2026

Цвет обложки: зелёный с графиком

ISBN: ISBN 978-985-03-3770-2

Допущено Министерством образования Республики Беларусь

Популярные ГДЗ в 7 классе

Глава 3. Линейные уравнения. Линейные неравенства. Линейная функция. Параграф 18. Линейные неравенства с одной переменной - номер 3.228, страница 200.

№3.228 (с. 200)
Условие. №3.228 (с. 200)
скриншот условия
Алгебра, 7 класс Учебник, авторы: Арефьева Ирина Глебовна, Пирютко Ольга Николаевна, издательство Народная асвета, Минск, 2022, зелёного цвета, страница 200, номер 3.228, Условие

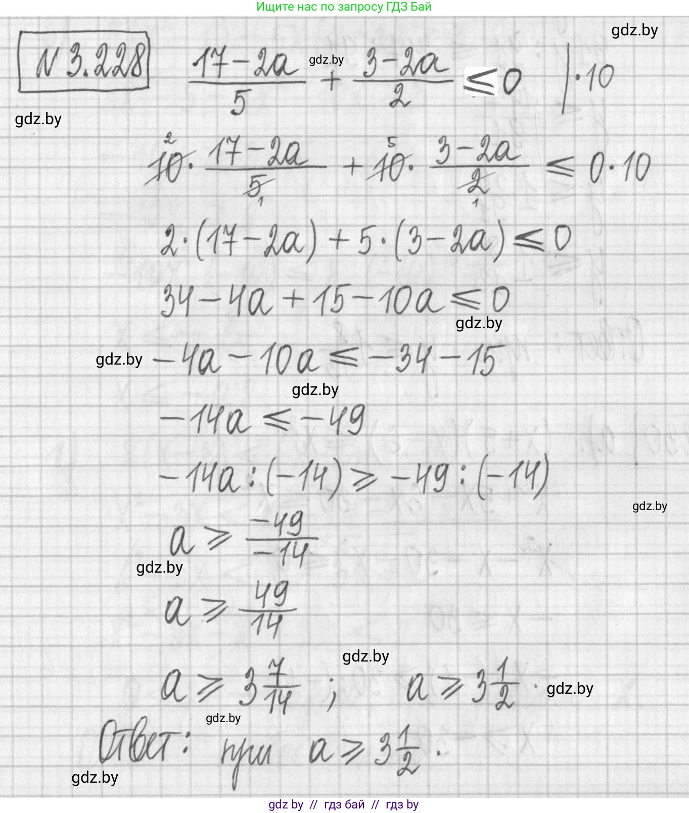
3.228. Найдите, при каких значениях переменной $a$ сумма дробей $\frac{17-2a}{5}$ и $\frac{3-2a}{2}$ неположительна.

Решение. №3.228 (с. 200)
Алгебра, 7 класс Учебник, авторы: Арефьева Ирина Глебовна, Пирютко Ольга Николаевна, издательство Народная асвета, Минск, 2022, зелёного цвета, страница 200, номер 3.228, Решение
Решение 2. №3.228 (с. 200)

3.228. Найдите, при каких значениях переменной $a$ сумма дробей $\frac{17-2a}{5}$ и $\frac{3-2a}{2}$ неположительна.

Чтобы найти искомые значения переменной $a$, нужно составить неравенство, в котором сумма данных дробей будет "неположительной", то есть меньшей или равной нулю ($\le 0$).

1. Составим неравенство: $$ \frac{17-2a}{5} + \frac{3-2a}{2} \le 0 $$

2. Приведем дроби к общему знаменателю. Наименьший общий знаменатель для 5 и 2 — это 10. Домножим первую дробь на 2, а вторую — на 5: $$ \frac{2 \cdot (17-2a)}{10} + \frac{5 \cdot (3-2a)}{10} \le 0 $$

3. Сложим дроби, объединив их числители над общим знаменателем: $$ \frac{2(17-2a) + 5(3-2a)}{10} \le 0 $$

4. Раскроем скобки и упростим выражение в числителе: $$ \frac{34 - 4a + 15 - 10a}{10} \le 0 $$ $$ \frac{49 - 14a}{10} \le 0 $$

5. Так как знаменатель (10) является положительным числом, мы можем умножить обе части неравенства на 10. Знак неравенства при этом не изменится: $$ 49 - 14a \le 0 $$

6. Решим полученное линейное неравенство относительно $a$: $$ -14a \le -49 $$ При делении обеих частей неравенства на отрицательное число (-14), знак неравенства меняется на противоположный: $$ a \ge \frac{-49}{-14} $$ $$ a \ge \frac{49}{14} $$

7. Сократим дробь $\frac{49}{14}$, разделив числитель и знаменатель на 7: $$ a \ge \frac{7}{2} $$

Сумма дробей неположительна при всех значениях $a$, которые больше или равны $\frac{7}{2}$. Преобразуем неправильную дробь в смешанное число, чтобы выделить целую часть.
Ответ: $a \ge \mathbf{3}\frac{1}{2}$

Помогло решение? Оставьте отзыв в комментариях ниже.

Присоединяйтесь к Телеграм-группе @gdz_by_belarus

Присоединиться

Мы подготовили для вас ответ c подробным объяснением домашего задания по алгебре за 7 класс, для упражнения номер 3.228 расположенного на странице 200 к учебнику 2022 года издания для учащихся школ и гимназий.

Теперь на нашем сайте ГДЗ.ТОП вы всегда легко и бесплатно найдёте условие с правильным ответом на вопрос «Как решить ДЗ» и «Как сделать» задание по алгебре к упражнению №3.228 (с. 200), авторов: Арефьева (Ирина Глебовна), Пирютко (Ольга Николаевна), учебного пособия издательства Народная асвета.