Номер 3.229, страница 200 - гдз по алгебре 7 класс учебник Арефьева, Пирютко

Алгебра, 7 класс Учебник, авторы: Арефьева Ирина Глебовна, Пирютко Ольга Николаевна, издательство Народная асвета, Минск, 2022, зелёного цвета

Авторы: Арефьева И. Г., Пирютко О. Н.

Тип: Учебник

Издательство: Народная асвета

Год издания: 2022 - 2026

Цвет обложки: зелёный с графиком

ISBN: ISBN 978-985-03-3770-2

Допущено Министерством образования Республики Беларусь

Популярные ГДЗ в 7 классе

Глава 3. Линейные уравнения. Линейные неравенства. Линейная функция. Параграф 18. Линейные неравенства с одной переменной - номер 3.229, страница 200.

№3.229 (с. 200)
Условие. №3.229 (с. 200)
скриншот условия
Алгебра, 7 класс Учебник, авторы: Арефьева Ирина Глебовна, Пирютко Ольга Николаевна, издательство Народная асвета, Минск, 2022, зелёного цвета, страница 200, номер 3.229, Условие

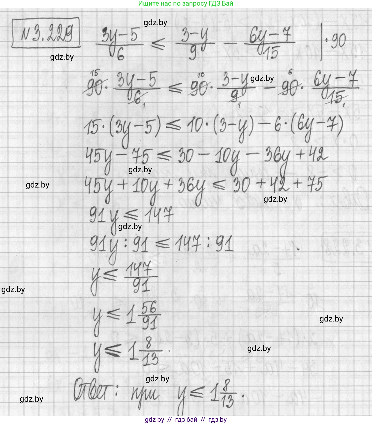
3.229. Найдите, при каких значениях переменной $y$ значение дроби $ \frac{3y-5}{6} $ не больше значения разности дробей $ \frac{3-y}{9} $ и $ \frac{6y-7}{15} $.

Решение. №3.229 (с. 200)
Алгебра, 7 класс Учебник, авторы: Арефьева Ирина Глебовна, Пирютко Ольга Николаевна, издательство Народная асвета, Минск, 2022, зелёного цвета, страница 200, номер 3.229, Решение
Решение 2. №3.229 (с. 200)

Согласно условию, значение дроби $ \frac{3y-5}{6} $ не больше (то есть меньше или равно) значения разности дробей $ \frac{3-y}{9} $ и $ \frac{6y-7}{15} $. Запишем это в виде неравенства:

$ \frac{3y-5}{6} \le \frac{3-y}{9} - \frac{6y-7}{15} $

Чтобы избавиться от дробей, найдем наименьший общий знаменатель для чисел 6, 9 и 15.

НОК(6, 9, 15) = 90.

Умножим обе части неравенства на 90:

$ 90 \cdot \frac{3y-5}{6} \le 90 \cdot \frac{3-y}{9} - 90 \cdot \frac{6y-7}{15} $

$ 15 \cdot (3y-5) \le 10 \cdot (3-y) - 6 \cdot (6y-7) $

Раскроем скобки:

$ 45y - 75 \le 30 - 10y - 36y + 42 $

Приведем подобные слагаемые в каждой части неравенства:

$ 45y - 75 \le (30 + 42) + (-10y - 36y) $

$ 45y - 75 \le 72 - 46y $

Перенесем слагаемые, содержащие переменную $y$, в левую часть, а свободные члены — в правую:

$ 45y + 46y \le 72 + 75 $

$ 91y \le 147 $

Разделим обе части на 91 (знак неравенства не меняется, так как 91 > 0):

$ y \le \frac{147}{91} $

Сократим дробь. Наибольший общий делитель чисел 147 и 91 равен 7.

$ y \le \frac{147 \div 7}{91 \div 7} = \frac{21}{13} $

Преобразуем неправильную дробь в смешанное число (выделим целую часть):

$ \frac{21}{13} = 1\frac{8}{13} $

Следовательно, решение неравенства: $ y \le 1\frac{8}{13} $.

Ответ: $ y \le 1\frac{8}{13} $.

Помогло решение? Оставьте отзыв в комментариях ниже.

Присоединяйтесь к Телеграм-группе @gdz_by_belarus

Присоединиться

Мы подготовили для вас ответ c подробным объяснением домашего задания по алгебре за 7 класс, для упражнения номер 3.229 расположенного на странице 200 к учебнику 2022 года издания для учащихся школ и гимназий.

Теперь на нашем сайте ГДЗ.ТОП вы всегда легко и бесплатно найдёте условие с правильным ответом на вопрос «Как решить ДЗ» и «Как сделать» задание по алгебре к упражнению №3.229 (с. 200), авторов: Арефьева (Ирина Глебовна), Пирютко (Ольга Николаевна), учебного пособия издательства Народная асвета.