Номер 3.42, страница 157 - гдз по алгебре 7 класс учебник Арефьева, Пирютко

Алгебра, 7 класс Учебник, авторы: Арефьева Ирина Глебовна, Пирютко Ольга Николаевна, издательство Народная асвета, Минск, 2022, зелёного цвета

Авторы: Арефьева И. Г., Пирютко О. Н.

Тип: Учебник

Издательство: Народная асвета

Год издания: 2022 - 2026

Цвет обложки: зелёный с графиком

ISBN: ISBN 978-985-03-3770-2

Допущено Министерством образования Республики Беларусь

Популярные ГДЗ в 7 классе

Глава 3. Линейные уравнения. Линейные неравенства. Линейная функция. Параграф 15. Линейные уравнения с одной переменной - номер 3.42, страница 157.

№3.42 (с. 157)
Условие. №3.42 (с. 157)
скриншот условия
Алгебра, 7 класс Учебник, авторы: Арефьева Ирина Глебовна, Пирютко Ольга Николаевна, издательство Народная асвета, Минск, 2022, зелёного цвета, страница 157, номер 3.42, Условие

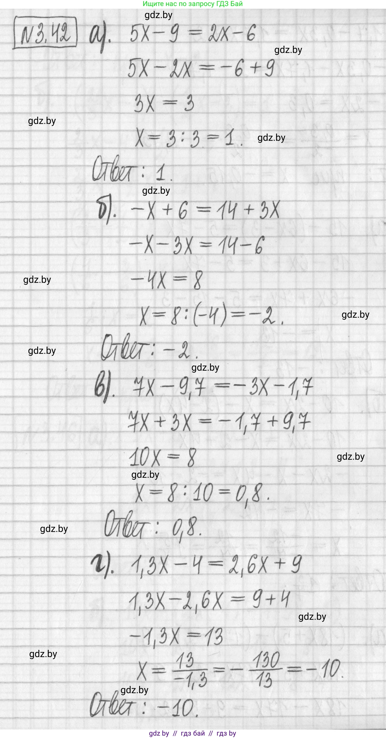
3.42. Решите уравнение:

а) $5x - 9 = 2x - 6;$

б) $-x + 6 = 14 + 3x;$

В) $7x - 9,7 = -3x - 1,7;$

Г) $1,3x - 4 = 2,6x + 9.$

Решение. №3.42 (с. 157)
Алгебра, 7 класс Учебник, авторы: Арефьева Ирина Глебовна, Пирютко Ольга Николаевна, издательство Народная асвета, Минск, 2022, зелёного цвета, страница 157, номер 3.42, Решение
Решение 2. №3.42 (с. 157)

а) Дано уравнение:
$5x - 9 = 2x - 6$
Перенесем слагаемые с переменной $x$ в левую часть уравнения, а числовые слагаемые — в правую. При переносе слагаемых из одной части уравнения в другую их знаки меняются на противоположные.
$5x - 2x = -6 + 9$
Приведем подобные слагаемые в обеих частях уравнения:
$3x = 3$
Разделим обе части уравнения на коэффициент при $x$, то есть на 3:
$x = \frac{3}{3}$
$x = 1$
Ответ: $1$.

б) Дано уравнение:
$-x + 6 = 14 + 3x$
Перенесем слагаемые с переменной $x$ в левую часть, а числовые слагаемые — в правую:
$-x - 3x = 14 - 6$
Приведем подобные слагаемые:
$-4x = 8$
Разделим обе части уравнения на -4:
$x = \frac{8}{-4}$
$x = -2$
Ответ: $-2$.

в) Дано уравнение:
$7x - 9,7 = -3x - 1,7$
Перенесем слагаемые с переменной $x$ в левую часть, а числовые слагаемые — в правую:
$7x + 3x = -1,7 + 9,7$
Приведем подобные слагаемые:
$10x = 8$
Разделим обе части уравнения на 10:
$x = \frac{8}{10}$
$x = 0,8$
Ответ: $0,8$.

г) Дано уравнение:
$1,3x - 4 = 2,6x + 9$
Перенесем слагаемые с переменной $x$ в одну часть, а числовые слагаемые — в другую. Удобнее перенести $1,3x$ вправо, а 9 влево:
$-4 - 9 = 2,6x - 1,3x$
Приведем подобные слагаемые:
$-13 = 1,3x$
Чтобы найти $x$, разделим обе части уравнения на 1,3:
$x = \frac{-13}{1,3}$
Чтобы избавиться от десятичной дроби в знаменателе, умножим числитель и знаменатель на 10:
$x = \frac{-130}{13}$
$x = -10$
Ответ: $-10$.

Помогло решение? Оставьте отзыв в комментариях ниже.

Присоединяйтесь к Телеграм-группе @gdz_by_belarus

Присоединиться

Мы подготовили для вас ответ c подробным объяснением домашего задания по алгебре за 7 класс, для упражнения номер 3.42 расположенного на странице 157 к учебнику 2022 года издания для учащихся школ и гимназий.

Теперь на нашем сайте ГДЗ.ТОП вы всегда легко и бесплатно найдёте условие с правильным ответом на вопрос «Как решить ДЗ» и «Как сделать» задание по алгебре к упражнению №3.42 (с. 157), авторов: Арефьева (Ирина Глебовна), Пирютко (Ольга Николаевна), учебного пособия издательства Народная асвета.