Номер 3.49, страница 158 - гдз по алгебре 7 класс учебник Арефьева, Пирютко

Алгебра, 7 класс Учебник, авторы: Арефьева Ирина Глебовна, Пирютко Ольга Николаевна, издательство Народная асвета, Минск, 2022, зелёного цвета

Авторы: Арефьева И. Г., Пирютко О. Н.

Тип: Учебник

Издательство: Народная асвета

Год издания: 2022 - 2026

Цвет обложки: зелёный с графиком

ISBN: ISBN 978-985-03-3770-2

Допущено Министерством образования Республики Беларусь

Популярные ГДЗ в 7 классе

Глава 3. Линейные уравнения. Линейные неравенства. Линейная функция. Параграф 15. Линейные уравнения с одной переменной - номер 3.49, страница 158.

№3.49 (с. 158)
Условие. №3.49 (с. 158)
скриншот условия
Алгебра, 7 класс Учебник, авторы: Арефьева Ирина Глебовна, Пирютко Ольга Николаевна, издательство Народная асвета, Минск, 2022, зелёного цвета, страница 158, номер 3.49, Условие

3.49. Решите уравнение:

а) $\frac{x-2}{6} - \frac{x}{2} = 2;$

б) $\frac{x-2}{5} - \frac{x-1}{3} = 3;$

в) $\frac{3-x}{3} - \frac{x+1}{2} = \frac{5x}{4};$

г) $\frac{2x+3}{2} = \frac{x+2}{3} - \frac{1-x}{4}.$

Решение. №3.49 (с. 158)
Алгебра, 7 класс Учебник, авторы: Арефьева Ирина Глебовна, Пирютко Ольга Николаевна, издательство Народная асвета, Минск, 2022, зелёного цвета, страница 158, номер 3.49, Решение Алгебра, 7 класс Учебник, авторы: Арефьева Ирина Глебовна, Пирютко Ольга Николаевна, издательство Народная асвета, Минск, 2022, зелёного цвета, страница 158, номер 3.49, Решение (продолжение 2)
Решение 2. №3.49 (с. 158)

а) $\frac{x-2}{6} - \frac{x}{2} = 2$

Для того чтобы решить данное уравнение, необходимо избавиться от дробей. Для этого умножим обе части уравнения на наименьшее общее кратное (НОК) знаменателей 6 и 2. НОК(6, 2) = 6.

Умножаем каждый член уравнения на 6:

$6 \cdot \frac{x-2}{6} - 6 \cdot \frac{x}{2} = 6 \cdot 2$

После сокращения получаем:

$(x-2) - 3x = 12$

Раскрываем скобки и приводим подобные слагаемые:

$x - 2 - 3x = 12$

$-2x - 2 = 12$

Переносим свободные члены в правую часть уравнения:

$-2x = 12 + 2$

$-2x = 14$

Делим обе части на -2, чтобы найти x:

$x = \frac{14}{-2}$

$x = -7$

Ответ: -7


б) $\frac{x-2}{5} - \frac{x-1}{3} = 3$

Найдем НОК знаменателей 5 и 3. НОК(5, 3) = 15. Умножим обе части уравнения на 15:

$15 \cdot \frac{x-2}{5} - 15 \cdot \frac{x-1}{3} = 15 \cdot 3$

Сокращаем дроби:

$3(x-2) - 5(x-1) = 45$

Раскрываем скобки. Обратите внимание на знак минус перед второй дробью:

$3x - 6 - 5x + 5 = 45$

Приводим подобные слагаемые в левой части:

$-2x - 1 = 45$

Переносим -1 в правую часть:

$-2x = 45 + 1$

$-2x = 46$

Находим x:

$x = \frac{46}{-2}$

$x = -23$

Ответ: -23


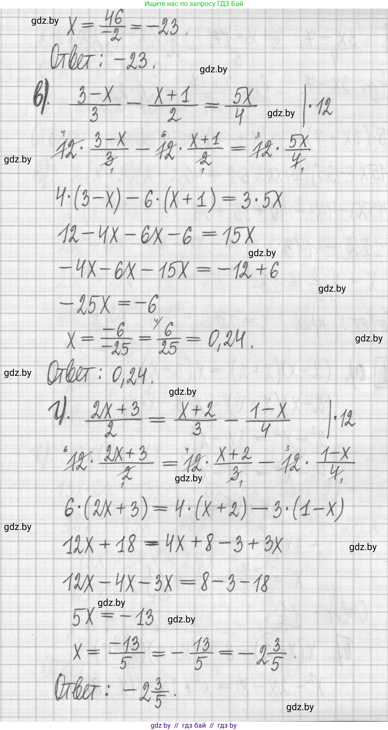
в) $\frac{3-x}{3} - \frac{x+1}{2} = \frac{5x}{4}$

Найдем НОК знаменателей 3, 2 и 4. НОК(3, 2, 4) = 12. Умножим все члены уравнения на 12:

$12 \cdot \frac{3-x}{3} - 12 \cdot \frac{x+1}{2} = 12 \cdot \frac{5x}{4}$

После сокращения получаем:

$4(3-x) - 6(x+1) = 3(5x)$

Раскрываем скобки:

$12 - 4x - 6x - 6 = 15x$

Приводим подобные слагаемые в левой части:

$6 - 10x = 15x$

Переносим члены с x в одну сторону, а свободные члены оставляем в другой:

$6 = 15x + 10x$

$6 = 25x$

Находим x:

$x = \frac{6}{25}$

Ответ: $\frac{6}{25}$


г) $\frac{2x+3}{2} = \frac{x+2}{3} - \frac{1-x}{4}$

Найдем НОК знаменателей 2, 3 и 4, который равен 12. Умножим обе части уравнения на 12:

$12 \cdot \frac{2x+3}{2} = 12 \cdot \frac{x+2}{3} - 12 \cdot \frac{1-x}{4}$

Сокращаем дроби:

$6(2x+3) = 4(x+2) - 3(1-x)$

Раскрываем скобки:

$12x + 18 = 4x + 8 - 3 + 3x$

Приводим подобные слагаемые в правой части:

$12x + 18 = (4x + 3x) + (8 - 3)$

$12x + 18 = 7x + 5$

Переносим члены с x в левую часть, а свободные члены - в правую:

$12x - 7x = 5 - 18$

$5x = -13$

Находим x:

$x = -\frac{13}{5}$

Так как это неправильная дробь, выделим целую часть:

$x = -2\frac{3}{5}$

Ответ: $-2\frac{3}{5}$

Помогло решение? Оставьте отзыв в комментариях ниже.

Присоединяйтесь к Телеграм-группе @gdz_by_belarus

Присоединиться

Мы подготовили для вас ответ c подробным объяснением домашего задания по алгебре за 7 класс, для упражнения номер 3.49 расположенного на странице 158 к учебнику 2022 года издания для учащихся школ и гимназий.

Теперь на нашем сайте ГДЗ.ТОП вы всегда легко и бесплатно найдёте условие с правильным ответом на вопрос «Как решить ДЗ» и «Как сделать» задание по алгебре к упражнению №3.49 (с. 158), авторов: Арефьева (Ирина Глебовна), Пирютко (Ольга Николаевна), учебного пособия издательства Народная асвета.