Номер 3.56, страница 159 - гдз по алгебре 7 класс учебник Арефьева, Пирютко

Алгебра, 7 класс Учебник, авторы: Арефьева Ирина Глебовна, Пирютко Ольга Николаевна, издательство Народная асвета, Минск, 2022, зелёного цвета

Авторы: Арефьева И. Г., Пирютко О. Н.

Тип: Учебник

Издательство: Народная асвета

Год издания: 2022 - 2026

Цвет обложки: зелёный с графиком

ISBN: ISBN 978-985-03-3770-2

Допущено Министерством образования Республики Беларусь

Популярные ГДЗ в 7 классе

Глава 3. Линейные уравнения. Линейные неравенства. Линейная функция. Параграф 15. Линейные уравнения с одной переменной - номер 3.56, страница 159.

№3.56 (с. 159)
Условие. №3.56 (с. 159)
скриншот условия
Алгебра, 7 класс Учебник, авторы: Арефьева Ирина Глебовна, Пирютко Ольга Николаевна, издательство Народная асвета, Минск, 2022, зелёного цвета, страница 159, номер 3.56, Условие

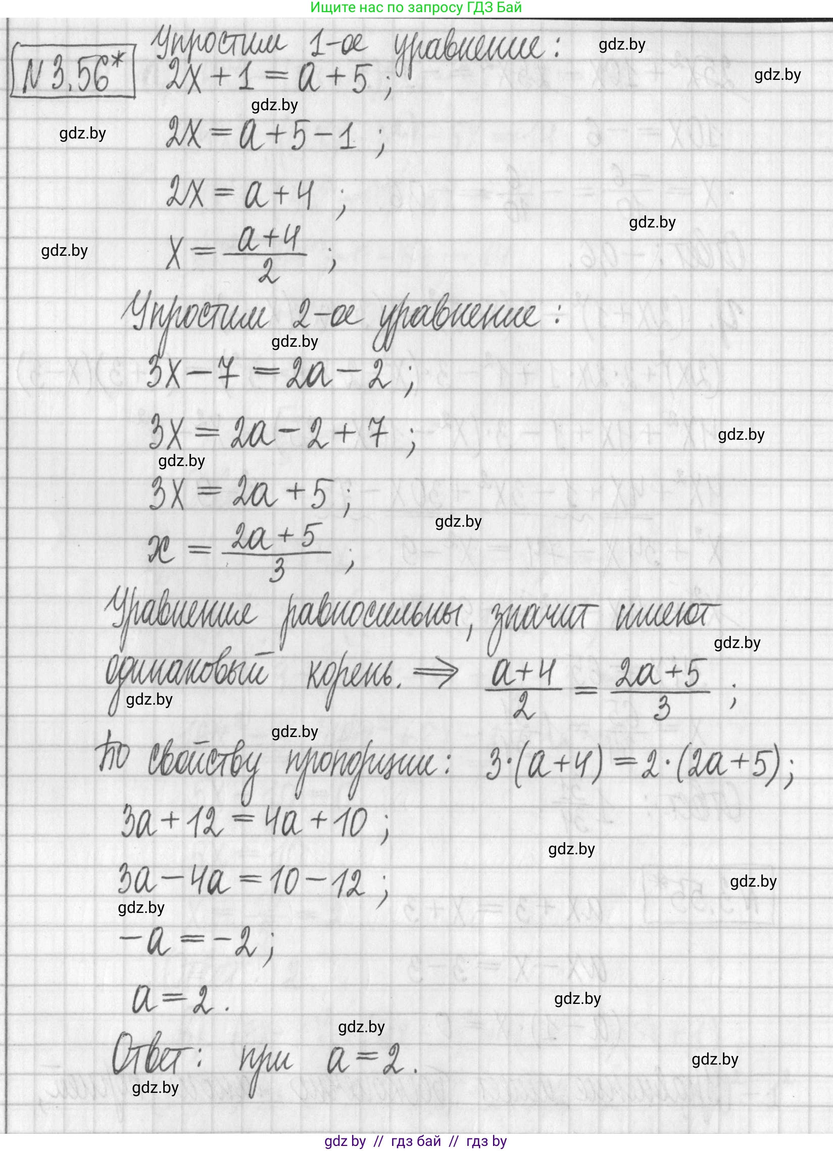
3.56*. Определите, при каком значении $a$ уравнения $2x + 1 = a+5$ и $3x - 7 = 2a - 2$ равносильны.

Решение. №3.56 (с. 159)
Алгебра, 7 класс Учебник, авторы: Арефьева Ирина Глебовна, Пирютко Ольга Николаевна, издательство Народная асвета, Минск, 2022, зелёного цвета, страница 159, номер 3.56, Решение
Решение 2. №3.56 (с. 159)

Два уравнения называются равносильными, если множества их решений совпадают. Поскольку оба данных уравнения являются линейными относительно переменной $x$, они будут равносильны, если их корни равны. Чтобы найти значение параметра $a$, при котором это условие выполняется, необходимо выразить $x$ из каждого уравнения, а затем приравнять полученные выражения.

1. Найдем корень первого уравнения, выразив $x$ через $a$:

$2x + 1 = a + 5$

$2x = a + 5 - 1$

$2x = a + 4$

$x = \frac{a + 4}{2}$

2. Аналогично найдем корень второго уравнения:

$3x - 7 = 2a - 2$

$3x = 2a - 2 + 7$

$3x = 2a + 5$

$x = \frac{2a + 5}{3}$

3. Приравняем полученные выражения для $x$, так как для равносильности уравнений их корни должны быть одинаковы:

$\frac{a + 4}{2} = \frac{2a + 5}{3}$

4. Решим полученное уравнение относительно $a$. Умножим обе части уравнения на 6 (наименьшее общее кратное знаменателей 2 и 3), чтобы избавиться от дробей, или воспользуемся свойством пропорции:

$3 \cdot (a + 4) = 2 \cdot (2a + 5)$

Раскроем скобки:

$3a + 12 = 4a + 10$

Сгруппируем слагаемые с переменной $a$ в одной части уравнения, а постоянные члены — в другой:

$12 - 10 = 4a - 3a$

$2 = a$

Таким образом, уравнения равносильны при $a = 2$.

Проверим:
При $a = 2$ первое уравнение: $2x + 1 = 2 + 5 \Rightarrow 2x = 6 \Rightarrow x = 3$.
При $a = 2$ второе уравнение: $3x - 7 = 2 \cdot 2 - 2 \Rightarrow 3x - 7 = 2 \Rightarrow 3x = 9 \Rightarrow x = 3$.
Корни уравнений совпадают ($x=3$), следовательно, при $a = 2$ уравнения равносильны.

Ответ: 2

Помогло решение? Оставьте отзыв в комментариях ниже.

Присоединяйтесь к Телеграм-группе @gdz_by_belarus

Присоединиться

Мы подготовили для вас ответ c подробным объяснением домашего задания по алгебре за 7 класс, для упражнения номер 3.56 расположенного на странице 159 к учебнику 2022 года издания для учащихся школ и гимназий.

Теперь на нашем сайте ГДЗ.ТОП вы всегда легко и бесплатно найдёте условие с правильным ответом на вопрос «Как решить ДЗ» и «Как сделать» задание по алгебре к упражнению №3.56 (с. 159), авторов: Арефьева (Ирина Глебовна), Пирютко (Ольга Николаевна), учебного пособия издательства Народная асвета.