Номер 3.53, страница 159 - гдз по алгебре 7 класс учебник Арефьева, Пирютко

Алгебра, 7 класс Учебник, авторы: Арефьева Ирина Глебовна, Пирютко Ольга Николаевна, издательство Народная асвета, Минск, 2022, зелёного цвета

Авторы: Арефьева И. Г., Пирютко О. Н.

Тип: Учебник

Издательство: Народная асвета

Год издания: 2022 - 2026

Цвет обложки: зелёный с графиком

ISBN: ISBN 978-985-03-3770-2

Допущено Министерством образования Республики Беларусь

Популярные ГДЗ в 7 классе

Глава 3. Линейные уравнения. Линейные неравенства. Линейная функция. Параграф 15. Линейные уравнения с одной переменной - номер 3.53, страница 159.

№3.53 (с. 159)
Условие. №3.53 (с. 159)
скриншот условия
Алгебра, 7 класс Учебник, авторы: Арефьева Ирина Глебовна, Пирютко Ольга Николаевна, издательство Народная асвета, Минск, 2022, зелёного цвета, страница 159, номер 3.53, Условие

3.53. Примените формулы квадрата суммы и квадрата разности и решите уравнение:

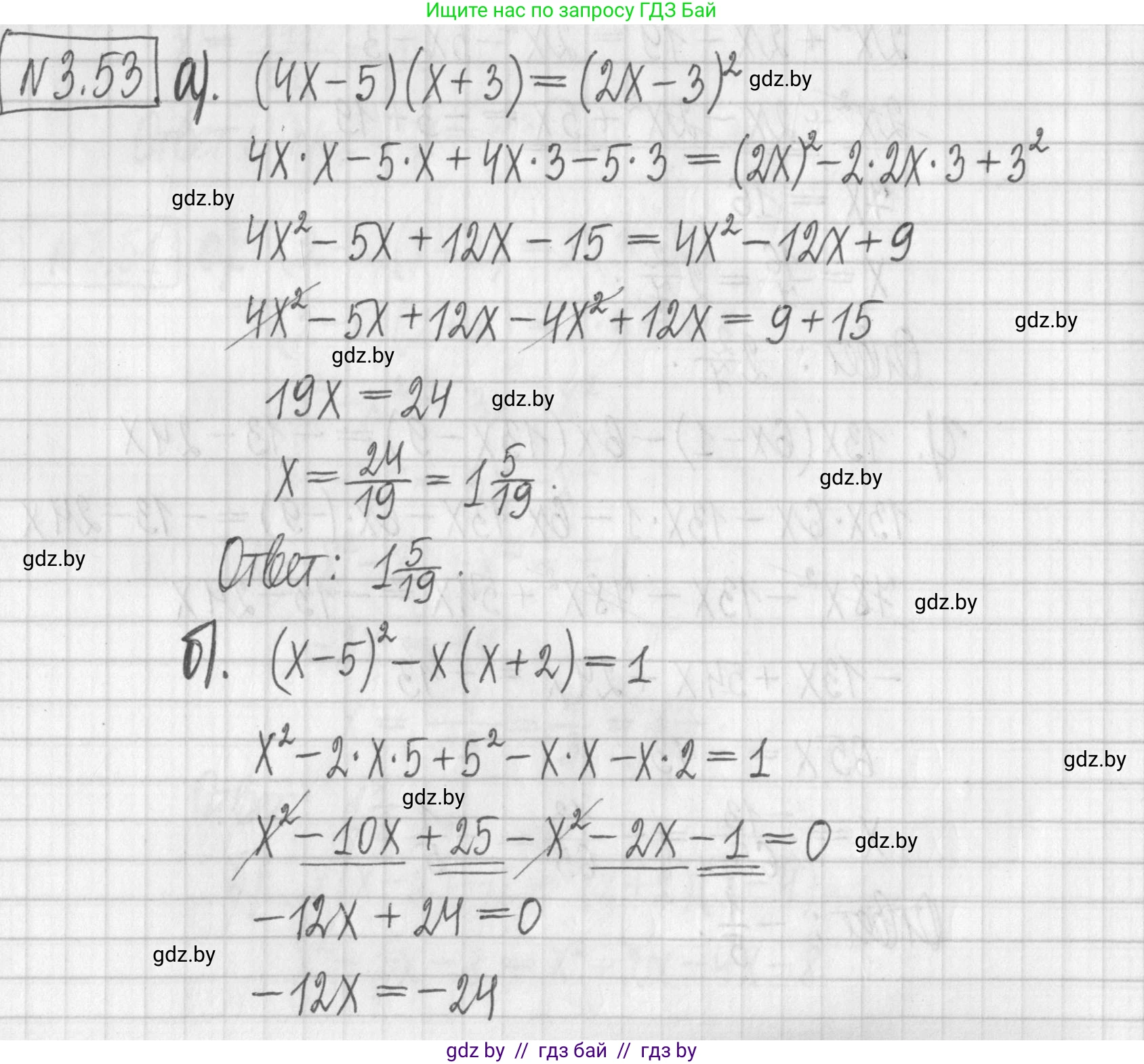
а) $(4x - 5)(x + 3) = (2x - 3)^2;$

б) $(x - 5)^2 - x(x + 2) = 1;$

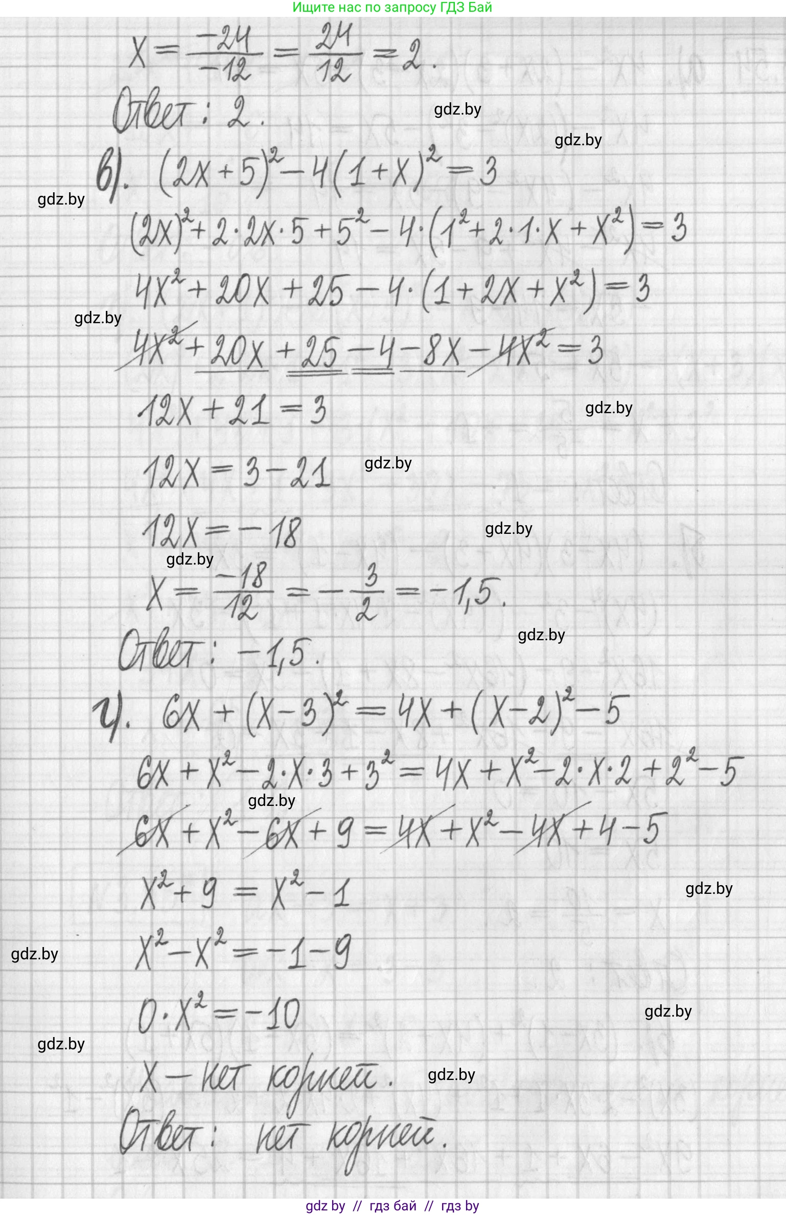
в) $(2x + 5)^2 - 4(1 + x)^2 = 3;$

г) $6x + (x - 3)^2 = 4x + (x - 2)^2 - 5.$

Решение. №3.53 (с. 159)
Алгебра, 7 класс Учебник, авторы: Арефьева Ирина Глебовна, Пирютко Ольга Николаевна, издательство Народная асвета, Минск, 2022, зелёного цвета, страница 159, номер 3.53, Решение Алгебра, 7 класс Учебник, авторы: Арефьева Ирина Глебовна, Пирютко Ольга Николаевна, издательство Народная асвета, Минск, 2022, зелёного цвета, страница 159, номер 3.53, Решение (продолжение 2)
Решение 2. №3.53 (с. 159)

а) $(4x-5)(x+3) = (2x-3)^2$
Для решения уравнения раскроем скобки в обеих его частях. В левой части перемножим многочлены, а в правой применим формулу квадрата разности $(a-b)^2 = a^2 - 2ab + b^2$.
$4x \cdot x + 4x \cdot 3 - 5 \cdot x - 5 \cdot 3 = (2x)^2 - 2 \cdot (2x) \cdot 3 + 3^2$
$4x^2 + 12x - 5x - 15 = 4x^2 - 12x + 9$
Приведем подобные слагаемые:
$4x^2 + 7x - 15 = 4x^2 - 12x + 9$
Перенесем все члены, содержащие $x$, в левую часть уравнения, а свободные члены — в правую. Член $4x^2$ взаимно уничтожается.
$7x + 12x = 9 + 15$
$19x = 24$
$x = \frac{24}{19}$
Ответ: $x = 1\frac{5}{19}$

б) $(x-5)^2 - x(x+2) = 1$
Раскроем скобки, используя формулу квадрата разности $(a-b)^2 = a^2 - 2ab + b^2$ и распределительный закон умножения.
$(x^2 - 2 \cdot x \cdot 5 + 5^2) - (x \cdot x + x \cdot 2) = 1$
$x^2 - 10x + 25 - x^2 - 2x = 1$
Приведем подобные слагаемые. Член $x^2$ взаимно уничтожается.
$(x^2 - x^2) + (-10x - 2x) + 25 = 1$
$-12x + 25 = 1$
Перенесем свободные члены в правую часть:
$-12x = 1 - 25$
$-12x = -24$
$x = \frac{-24}{-12}$
Ответ: $x = 2$

в) $(2x+5)^2 - 4(1+x)^2 = 3$
Раскроем скобки, используя формулу квадрата суммы $(a+b)^2 = a^2 + 2ab + b^2$.
$((2x)^2 + 2 \cdot 2x \cdot 5 + 5^2) - 4(1^2 + 2 \cdot 1 \cdot x + x^2) = 3$
$(4x^2 + 20x + 25) - 4(1 + 2x + x^2) = 3$
$4x^2 + 20x + 25 - 4 - 8x - 4x^2 = 3$
Приведем подобные слагаемые. Член $4x^2$ взаимно уничтожается.
$(4x^2 - 4x^2) + (20x - 8x) + (25 - 4) = 3$
$12x + 21 = 3$
Перенесем свободные члены в правую часть:
$12x = 3 - 21$
$12x = -18$
$x = \frac{-18}{12} = -\frac{3}{2}$
Ответ: $x = -1\frac{1}{2}$

г) $6x + (x-3)^2 = 4x + (x-2)^2 - 5$
Раскроем скобки в обеих частях, используя формулу квадрата разности $(a-b)^2 = a^2 - 2ab + b^2$.
$6x + (x^2 - 2 \cdot x \cdot 3 + 3^2) = 4x + (x^2 - 2 \cdot x \cdot 2 + 2^2) - 5$
$6x + x^2 - 6x + 9 = 4x + x^2 - 4x + 4 - 5$
Приведем подобные слагаемые в каждой части уравнения:
$x^2 + 9 = x^2 - 1$
Перенесем члены с $x^2$ в левую часть, а свободные члены в правую:
$x^2 - x^2 = -1 - 9$
$0 = -10$
Мы получили неверное числовое равенство. Это означает, что уравнение не имеет корней, так как равенство не выполняется ни при каком значении $x$.
Ответ: нет решений

Помогло решение? Оставьте отзыв в комментариях ниже.

Присоединяйтесь к Телеграм-группе @gdz_by_belarus

Присоединиться

Мы подготовили для вас ответ c подробным объяснением домашего задания по алгебре за 7 класс, для упражнения номер 3.53 расположенного на странице 159 к учебнику 2022 года издания для учащихся школ и гимназий.

Теперь на нашем сайте ГДЗ.ТОП вы всегда легко и бесплатно найдёте условие с правильным ответом на вопрос «Как решить ДЗ» и «Как сделать» задание по алгебре к упражнению №3.53 (с. 159), авторов: Арефьева (Ирина Глебовна), Пирютко (Ольга Николаевна), учебного пособия издательства Народная асвета.