Номер 4.98, страница 283 - гдз по алгебре 7 класс учебник Арефьева, Пирютко

Алгебра, 7 класс Учебник, авторы: Арефьева Ирина Глебовна, Пирютко Ольга Николаевна, издательство Народная асвета, Минск, 2022, зелёного цвета

Авторы: Арефьева И. Г., Пирютко О. Н.

Тип: Учебник

Издательство: Народная асвета

Год издания: 2022 - 2026

Цвет обложки: зелёный с графиком

ISBN: ISBN 978-985-03-3770-2

Допущено Министерством образования Республики Беларусь

Популярные ГДЗ в 7 классе

Глава 4. Системы двух линейных уравнений с двумя переменными. Параграф 24. Способы решения системы линейных уравнений с двумя переменными - номер 4.98, страница 283.

№4.98 (с. 283)
Условие. №4.98 (с. 283)
скриншот условия
Алгебра, 7 класс Учебник, авторы: Арефьева Ирина Глебовна, Пирютко Ольга Николаевна, издательство Народная асвета, Минск, 2022, зелёного цвета, страница 283, номер 4.98, Условие

4.98. Решите систему уравнений наиболее рациональным способом:

а) $\begin{cases}1.2x - 3.4y = 12, \\2.5x + 1.4y = 25;\end{cases}$

б) $\begin{cases}2.5x - 1.25y = 7.5, \\1.2x + 0.7y = 8.8;\end{cases}$

в) $\begin{cases}0.3x - 0.5y = 1.18, \\1.6x + 2y = -3.04;\end{cases}$

г) $\begin{cases}0.5x + 5.5 = \frac{1}{3}y + 6\frac{1}{3}, \\5x = 3y + 8.\end{cases}$

Решение. №4.98 (с. 283)
Алгебра, 7 класс Учебник, авторы: Арефьева Ирина Глебовна, Пирютко Ольга Николаевна, издательство Народная асвета, Минск, 2022, зелёного цвета, страница 283, номер 4.98, Решение Алгебра, 7 класс Учебник, авторы: Арефьева Ирина Глебовна, Пирютко Ольга Николаевна, издательство Народная асвета, Минск, 2022, зелёного цвета, страница 283, номер 4.98, Решение (продолжение 2)
Решение 2. №4.98 (с. 283)

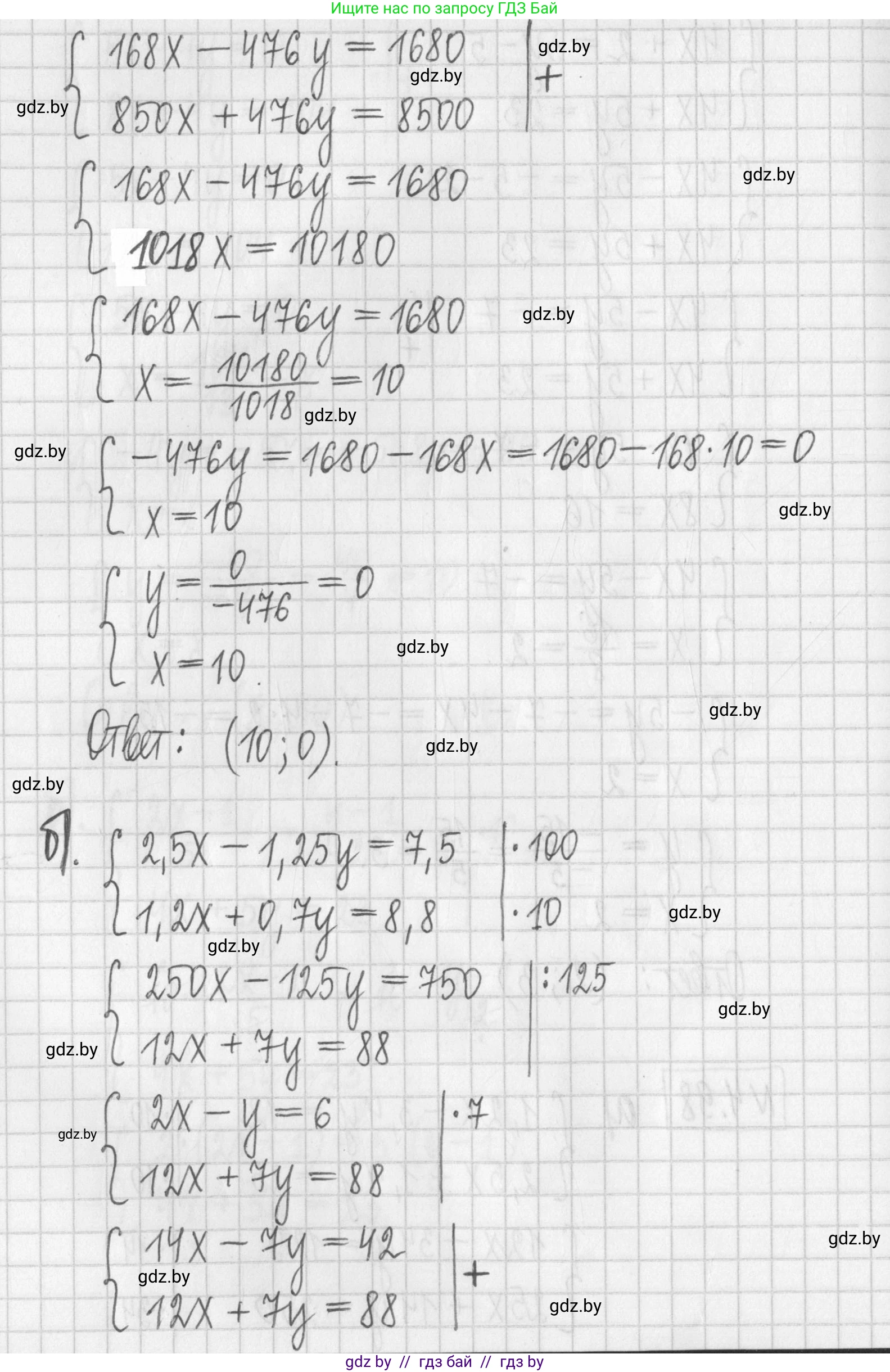
а) Дана система уравнений:

$\begin{cases} 1,2x - 3,4y = 12 \\ 2,5x + 1,4y = 25 \end{cases}$

Наиболее рациональным способом здесь является метод сложения. Сложим два уравнения системы, чтобы упростить выражение. Сложение левых и правых частей уравнений дает:

$(1,2x - 3,4y) + (2,5x + 1,4y) = 12 + 25$

$3,7x - 2y = 37$

Из этого уравнения удобно выразить $y$ через $x$:

$2y = 3,7x - 37$

$y = 1,85x - 18,5$

Теперь подставим полученное выражение для $y$ во второе уравнение исходной системы:

$2,5x + 1,4(1,85x - 18,5) = 25$

Раскроем скобки и решим уравнение относительно $x$:

$2,5x + 2,59x - 25,9 = 25$

$5,09x = 25 + 25,9$

$5,09x = 50,9$

$x = \frac{50,9}{5,09} = 10$

Теперь найдем $y$, подставив значение $x=10$ в выражение для $y$:

$y = 1,85 \cdot 10 - 18,5 = 18,5 - 18,5 = 0$

Ответ: $x = 10, y = 0$.

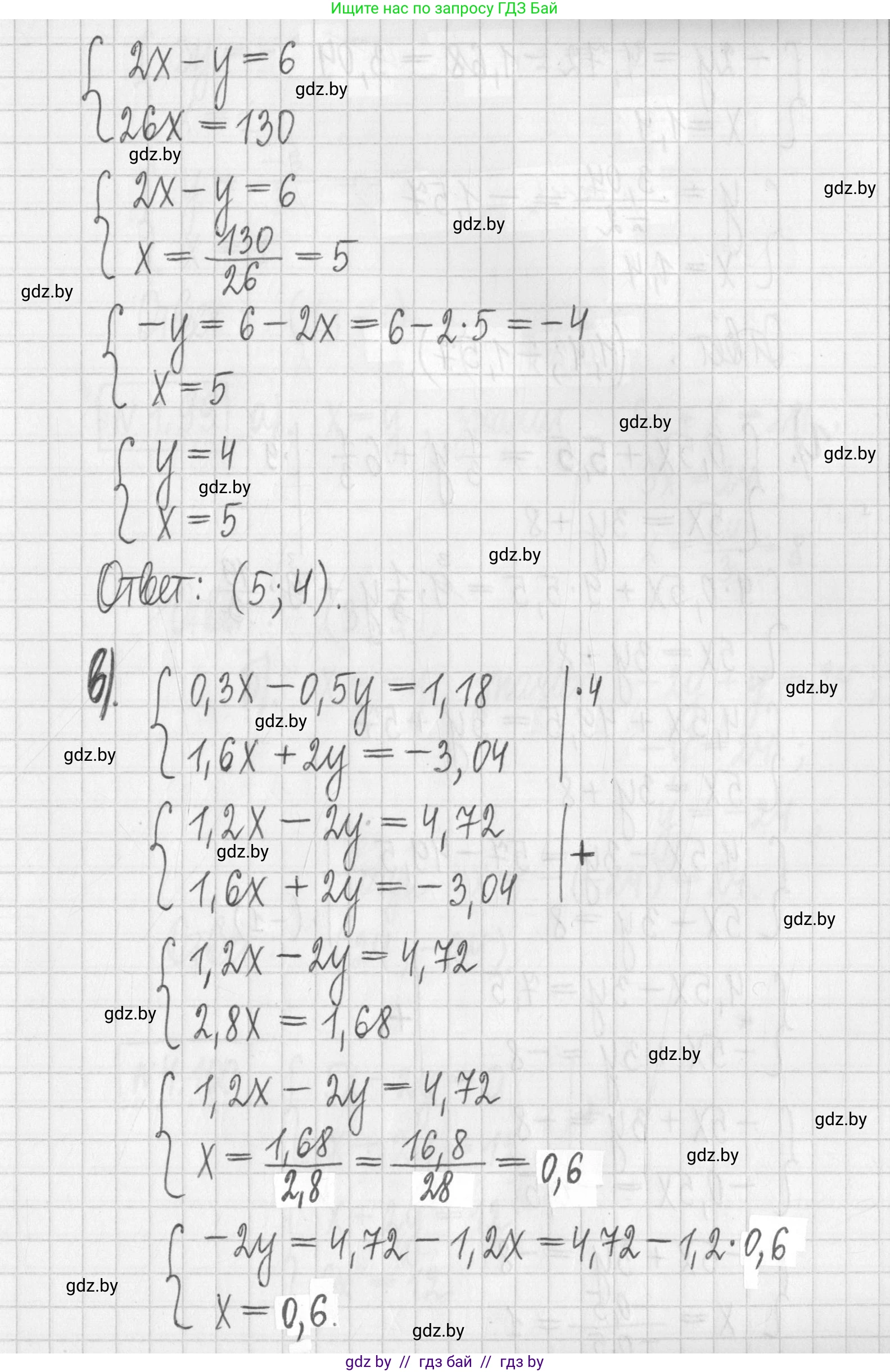
б) Дана система уравнений:

$\begin{cases} 2,5x - 1,25y = 7,5 \\ 1,2x + 0,7y = 8,8 \end{cases}$

В первом уравнении коэффициенты и свободный член кратны $2,5$. Рационально будет разделить первое уравнение на $2,5$ для его упрощения:

$\frac{2,5x}{2,5} - \frac{1,25y}{2,5} = \frac{7,5}{2,5}$

$x - 0,5y = 3$

Из полученного уравнения выразим $x$:

$x = 3 + 0,5y$

Подставим это выражение для $x$ во второе уравнение исходной системы:

$1,2(3 + 0,5y) + 0,7y = 8,8$

Раскроем скобки и решим уравнение относительно $y$:

$3,6 + 0,6y + 0,7y = 8,8$

$1,3y = 8,8 - 3,6$

$1,3y = 5,2$

$y = \frac{5,2}{1,3} = 4$

Теперь найдем $x$, подставив значение $y=4$ в выражение для $x$:

$x = 3 + 0,5 \cdot 4 = 3 + 2 = 5$

Ответ: $x = 5, y = 4$.

в) Дана система уравнений:

$\begin{cases} 0,3x - 0,5y = 1,18 \\ 1,6x + 2y = -3,04 \end{cases}$

Коэффициенты при $y$ ($-0,5$ и $2$) легко приводятся к противоположным числам. Умножим первое уравнение на $4$, чтобы коэффициент при $y$ стал $-2$:

$4 \cdot (0,3x - 0,5y) = 4 \cdot 1,18$

$1,2x - 2y = 4,72$

Теперь система выглядит так:

$\begin{cases} 1,2x - 2y = 4,72 \\ 1,6x + 2y = -3,04 \end{cases}$

Сложим уравнения полученной системы:

$(1,2x - 2y) + (1,6x + 2y) = 4,72 + (-3,04)$

$2,8x = 1,68$

$x = \frac{1,68}{2,8} = \frac{16,8}{28} = 0,6$

Подставим значение $x=0,6$ во второе уравнение исходной системы, чтобы найти $y$:

$1,6 \cdot 0,6 + 2y = -3,04$

$0,96 + 2y = -3,04$

$2y = -3,04 - 0,96$

$2y = -4$

$y = -2$

Ответ: $x = 0,6, y = -2$.

г) Дана система уравнений:

$\begin{cases} 0,5x + 5,5 = \frac{1}{3}y + 6\frac{1}{3} \\ 5x = 3y + 8 \end{cases}$

Для рационального решения преобразуем оба уравнения к стандартному виду $ax+by=c$.
Преобразуем первое уравнение. Переведем десятичные дроби и смешанное число в обыкновенные: $0,5 = \frac{1}{2}$, $5,5 = \frac{11}{2}$, $6\frac{1}{3} = \frac{19}{3}$.

$\frac{1}{2}x + \frac{11}{2} = \frac{1}{3}y + \frac{19}{3}$

Умножим обе части на $6$ (наименьшее общее кратное знаменателей 2 и 3):

$6 \cdot (\frac{1}{2}x + \frac{11}{2}) = 6 \cdot (\frac{1}{3}y + \frac{19}{3})$

$3x + 33 = 2y + 38$

$3x - 2y = 38 - 33$

$3x - 2y = 5$

Преобразуем второе уравнение:

$5x = 3y + 8 \implies 5x - 3y = 8$

Получили упрощенную систему:

$\begin{cases} 3x - 2y = 5 \\ 5x - 3y = 8 \end{cases}$

Решим ее методом сложения. Умножим первое уравнение на $3$, а второе на $-2$, чтобы коэффициенты при $y$ стали противоположными:

$\begin{cases} 3(3x - 2y) = 3 \cdot 5 \\ -2(5x - 3y) = -2 \cdot 8 \end{cases} \implies \begin{cases} 9x - 6y = 15 \\ -10x + 6y = -16 \end{cases}$

Сложим полученные уравнения:

$(9x - 6y) + (-10x + 6y) = 15 + (-16)$

$-x = -1$

$x = 1$

Подставим $x=1$ в уравнение $3x - 2y = 5$:

$3 \cdot 1 - 2y = 5$

$3 - 2y = 5$

$-2y = 2$

$y = -1$

Ответ: $x = 1, y = -1$.

Помогло решение? Оставьте отзыв в комментариях ниже.

Присоединяйтесь к Телеграм-группе @gdz_by_belarus

Присоединиться

Мы подготовили для вас ответ c подробным объяснением домашего задания по алгебре за 7 класс, для упражнения номер 4.98 расположенного на странице 283 к учебнику 2022 года издания для учащихся школ и гимназий.

Теперь на нашем сайте ГДЗ.ТОП вы всегда легко и бесплатно найдёте условие с правильным ответом на вопрос «Как решить ДЗ» и «Как сделать» задание по алгебре к упражнению №4.98 (с. 283), авторов: Арефьева (Ирина Глебовна), Пирютко (Ольга Николаевна), учебного пособия издательства Народная асвета.