Номер 4.103, страница 284 - гдз по алгебре 7 класс учебник Арефьева, Пирютко

Алгебра, 7 класс Учебник, авторы: Арефьева Ирина Глебовна, Пирютко Ольга Николаевна, издательство Народная асвета, Минск, 2022, зелёного цвета

Авторы: Арефьева И. Г., Пирютко О. Н.

Тип: Учебник

Издательство: Народная асвета

Год издания: 2022 - 2026

Цвет обложки: зелёный с графиком

ISBN: ISBN 978-985-03-3770-2

Допущено Министерством образования Республики Беларусь

Популярные ГДЗ в 7 классе

Глава 4. Системы двух линейных уравнений с двумя переменными. Параграф 24. Способы решения системы линейных уравнений с двумя переменными - номер 4.103, страница 284.

№4.103 (с. 284)
Условие. №4.103 (с. 284)
скриншот условия
Алгебра, 7 класс Учебник, авторы: Арефьева Ирина Глебовна, Пирютко Ольга Николаевна, издательство Народная асвета, Минск, 2022, зелёного цвета, страница 284, номер 4.103, Условие

4.103. Решите систему уравнений:

а) $\begin{cases} \frac{2x}{3} - \frac{y}{2} = 2, \\ \frac{2x}{3} + y = 8; \end{cases}$

б) $\begin{cases} \frac{3x}{4} + \frac{3y}{8} = 4,5, \\ \frac{2x}{3} - \frac{y}{12} = \frac{2}{3}. \end{cases}$

Решение. №4.103 (с. 284)
Алгебра, 7 класс Учебник, авторы: Арефьева Ирина Глебовна, Пирютко Ольга Николаевна, издательство Народная асвета, Минск, 2022, зелёного цвета, страница 284, номер 4.103, Решение Алгебра, 7 класс Учебник, авторы: Арефьева Ирина Глебовна, Пирютко Ольга Николаевна, издательство Народная асвета, Минск, 2022, зелёного цвета, страница 284, номер 4.103, Решение (продолжение 2)
Решение 2. №4.103 (с. 284)

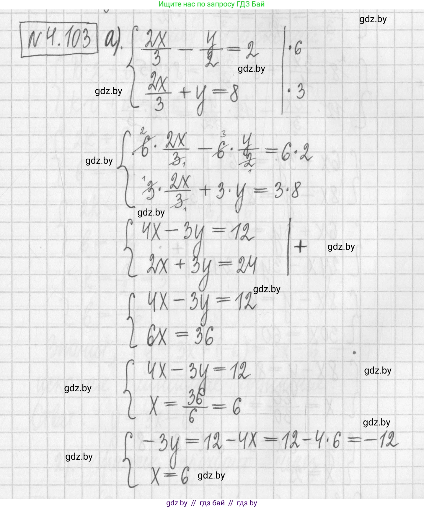
a) Дана система уравнений:

$$ \begin{cases} \frac{2x}{3} - \frac{y}{2} = 2 \\ \frac{2x}{3} + y = 8 \end{cases} $$

Для решения этой системы удобно использовать метод алгебраического сложения (в данном случае вычитания), так как в обоих уравнениях присутствует одинаковый член $\frac{2x}{3}$. Вычтем первое уравнение из второго:

$$ \left(\frac{2x}{3} + y\right) - \left(\frac{2x}{3} - \frac{y}{2}\right) = 8 - 2 $$

Раскроем скобки и упростим полученное выражение:

$$ \frac{2x}{3} + y - \frac{2x}{3} + \frac{y}{2} = 6 $$

Члены с $x$ взаимно уничтожаются. Приведем подобные слагаемые для $y$:

$$ y + \frac{y}{2} = 6 $$

$$ \frac{2y}{2} + \frac{y}{2} = 6 $$

$$ \frac{3y}{2} = 6 $$

Чтобы найти $y$, умножим обе части уравнения на 2:

$$ 3y = 12 $$

И разделим на 3:

$$ y = 4 $$

Теперь подставим найденное значение $y=4$ в любое из исходных уравнений, чтобы найти $x$. Удобнее использовать второе уравнение $\frac{2x}{3} + y = 8$:

$$ \frac{2x}{3} + 4 = 8 $$

Вычтем 4 из обеих частей:

$$ \frac{2x}{3} = 4 $$

Умножим обе части на 3:

$$ 2x = 12 $$

Разделим на 2:

$$ x = 6 $$

Таким образом, решение системы: $x=6, y=4$.

Ответ: $x = 6$, $y = 4$.


б) Дана система уравнений:

$$ \begin{cases} \frac{3x}{4} + \frac{3y}{8} = 4,5 \\ \frac{2x}{3} - \frac{y}{12} = \frac{2}{3} \end{cases} $$

Для упрощения решения избавимся от дробей в каждом уравнении, умножив их на наименьший общий знаменатель.

Для первого уравнения $\frac{3x}{4} + \frac{3y}{8} = 4,5$ наименьший общий знаменатель для 4 и 8 равен 8. Умножим обе части уравнения на 8 (учитывая, что $4,5 = \frac{9}{2}$):

$$ 8 \cdot \left(\frac{3x}{4} + \frac{3y}{8}\right) = 8 \cdot 4,5 $$

$$ \frac{8 \cdot 3x}{4} + \frac{8 \cdot 3y}{8} = 36 $$

$$ 2 \cdot 3x + 1 \cdot 3y = 36 $$

$$ 6x + 3y = 36 $$

Это уравнение можно упростить, разделив все его члены на 3:

$$ 2x + y = 12 $$

Для второго уравнения $\frac{2x}{3} - \frac{y}{12} = \frac{2}{3}$ наименьший общий знаменатель для 3 и 12 равен 12. Умножим обе части уравнения на 12:

$$ 12 \cdot \left(\frac{2x}{3} - \frac{y}{12}\right) = 12 \cdot \frac{2}{3} $$

$$ \frac{12 \cdot 2x}{3} - \frac{12 \cdot y}{12} = \frac{12 \cdot 2}{3} $$

$$ 4 \cdot 2x - y = 4 \cdot 2 $$

$$ 8x - y = 8 $$

Теперь мы имеем более простую систему линейных уравнений:

$$ \begin{cases} 2x + y = 12 \\ 8x - y = 8 \end{cases} $$

Воспользуемся методом сложения, чтобы исключить переменную $y$, так как коэффициенты при $y$ противоположны (+1 и -1):

$$ (2x + y) + (8x - y) = 12 + 8 $$

$$ 10x = 20 $$

Отсюда находим $x$:

$$ x = 2 $$

Подставим найденное значение $x=2$ в первое упрощенное уравнение $2x + y = 12$:

$$ 2(2) + y = 12 $$

$$ 4 + y = 12 $$

$$ y = 12 - 4 $$

$$ y = 8 $$

Таким образом, решение системы: $x=2, y=8$.

Ответ: $x = 2$, $y = 8$.

Помогло решение? Оставьте отзыв в комментариях ниже.

Присоединяйтесь к Телеграм-группе @gdz_by_belarus

Присоединиться

Мы подготовили для вас ответ c подробным объяснением домашего задания по алгебре за 7 класс, для упражнения номер 4.103 расположенного на странице 284 к учебнику 2022 года издания для учащихся школ и гимназий.

Теперь на нашем сайте ГДЗ.ТОП вы всегда легко и бесплатно найдёте условие с правильным ответом на вопрос «Как решить ДЗ» и «Как сделать» задание по алгебре к упражнению №4.103 (с. 284), авторов: Арефьева (Ирина Глебовна), Пирютко (Ольга Николаевна), учебного пособия издательства Народная асвета.