Номер 2, страница 4 - гдз по алгебре 8 класс учебник Арефьева, Пирютко

Алгебра, 8 класс Учебник, авторы: Арефьева Ирина Глебовна, Пирютко Ольга Николаевна, издательство Адукацыя i выхаванне, Минск, 2024, бирюзового цвета

Авторы: Арефьева И. Г., Пирютко О. Н.

Тип: Учебник

Издательство: Адукацыя i выхаванне

Год издания: 2024 - 2026

Цвет обложки: бирюзовый с графиком

ISBN: ISBN 978-985-03-4081-8

Допущено Министерством образования Республики Беларусь

Популярные ГДЗ в 8 классе

Повторение курса алгебры 7-го класса. Степень с целым показателем и ее свойства - номер 2, страница 4.

№2 (с. 4)
Условие. №2 (с. 4)
скриншот условия
Алгебра, 8 класс Учебник, авторы: Арефьева Ирина Глебовна, Пирютко Ольга Николаевна, издательство Адукацыя i выхаванне, Минск, 2024, бирюзового цвета, страница 4, номер 2, Условие

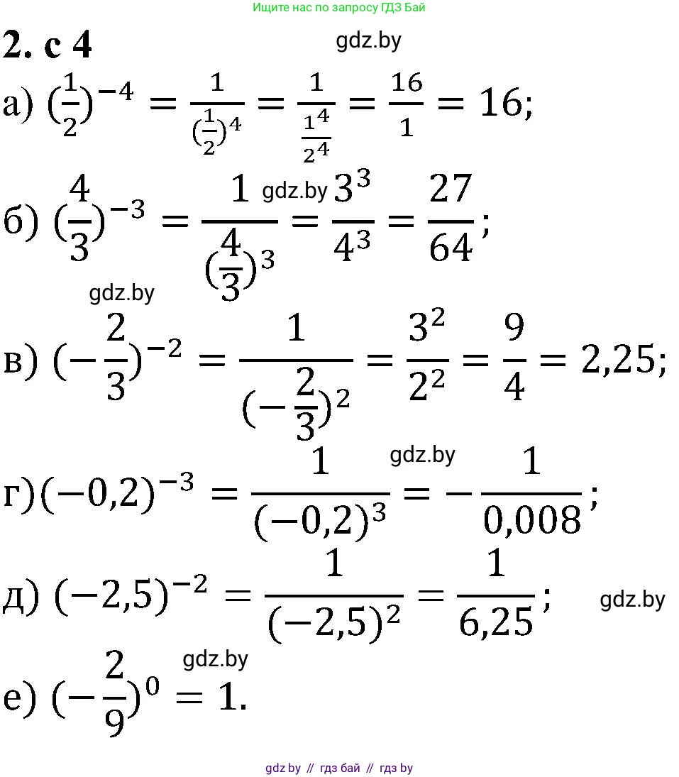
2. Найдите значение выражения:

а) $ (\frac{1}{2})^{-4} $;

б) $ (\frac{4}{3})^{-3} $;

в) $ (-\frac{2}{3})^{-2} $;

г) $ (-0,2)^{-3} $;

д) $ (-2,5)^{-2} $;

е) $ (-\frac{2}{9})^0 $.

Решение. №2 (с. 4)
Алгебра, 8 класс Учебник, авторы: Арефьева Ирина Глебовна, Пирютко Ольга Николаевна, издательство Адукацыя i выхаванне, Минск, 2024, бирюзового цвета, страница 4, номер 2, Решение
Решение 2. №2 (с. 4)

а) Для того чтобы найти значение выражения $(\frac{1}{2})^{-4}$, мы используем свойство степени с отрицательным показателем, которое гласит, что $(\frac{a}{b})^{-n} = (\frac{b}{a})^n$. Это означает, что мы "переворачиваем" дробь и меняем знак показателя степени на положительный.
$(\frac{1}{2})^{-4} = (\frac{2}{1})^4 = 2^4 = 2 \cdot 2 \cdot 2 \cdot 2 = 16$.
Ответ: 16

б) Аналогично предыдущему пункту, применим свойство $(\frac{a}{b})^{-n} = (\frac{b}{a})^n$.
$(\frac{4}{3})^{-3} = (\frac{3}{4})^3$.
Теперь возведем числитель и знаменатель в куб:
$\frac{3^3}{4^3} = \frac{3 \cdot 3 \cdot 3}{4 \cdot 4 \cdot 4} = \frac{27}{64}$.
Ответ: $\frac{27}{64}$

в) Сначала применяем правило для отрицательной степени.
$(-\frac{2}{3})^{-2} = (-\frac{3}{2})^2$.
Так как показатель степени четный (2), то отрицательное основание станет положительным при возведении в степень.
$(-\frac{3}{2})^2 = (\frac{3}{2})^2 = \frac{3^2}{2^2} = \frac{9}{4}$.
Полученная дробь $\frac{9}{4}$ является неправильной. Преобразуем ее в смешанное число, выделив целую часть:
$\frac{9}{4} = 2\frac{1}{4}$.
Ответ: 2$\frac{1}{4}$

г) Сначала представим десятичную дробь в виде обыкновенной.
$-0,2 = -\frac{2}{10} = -\frac{1}{5}$.
Теперь исходное выражение выглядит так: $(-\frac{1}{5})^{-3}$.
Применяем правило для отрицательной степени:
$(-\frac{1}{5})^{-3} = (-\frac{5}{1})^3 = (-5)^3$.
Так как показатель степени нечетный (3), знак минус сохраняется.
$(-5)^3 = (-5) \cdot (-5) \cdot (-5) = -125$.
Ответ: -125

д) Представим десятичную дробь -2,5 в виде обыкновенной неправильной дроби.
$-2,5 = -2\frac{5}{10} = -2\frac{1}{2} = -\frac{5}{2}$.
Получаем выражение $(-\frac{5}{2})^{-2}$.
"Переворачиваем" дробь, чтобы избавиться от отрицательной степени:
$(-\frac{5}{2})^{-2} = (-\frac{2}{5})^2$.
Поскольку степень четная (2), результат будет положительным:
$(-\frac{2}{5})^2 = \frac{2^2}{5^2} = \frac{4}{25}$.
Ответ: $\frac{4}{25}$

е) Любое число (кроме нуля), возведенное в нулевую степень, равно единице. Это основное свойство степени $a^0 = 1$ при $a \neq 0$.
Поскольку основание $-\frac{2}{9}$ не равно нулю, то:
$(-\frac{2}{9})^0 = 1$.
Ответ: 1

Помогло решение? Оставьте отзыв в комментариях ниже.

Присоединяйтесь к Телеграм-группе @gdz_by_belarus

Присоединиться

Мы подготовили для вас ответ c подробным объяснением домашего задания по алгебре за 8 класс, для упражнения номер 2 расположенного на странице 4 к учебнику 2024 года издания для учащихся школ и гимназий.

Теперь на нашем сайте ГДЗ.ТОП вы всегда легко и бесплатно найдёте условие с правильным ответом на вопрос «Как решить ДЗ» и «Как сделать» задание по алгебре к упражнению №2 (с. 4), авторов: Арефьева (Ирина Глебовна), Пирютко (Ольга Николаевна), учебного пособия издательства Адукацыя i выхаванне.