Номер 9, страница 5 - гдз по алгебре 8 класс учебник Арефьева, Пирютко

Алгебра, 8 класс Учебник, авторы: Арефьева Ирина Глебовна, Пирютко Ольга Николаевна, издательство Адукацыя i выхаванне, Минск, 2024, бирюзового цвета

Авторы: Арефьева И. Г., Пирютко О. Н.

Тип: Учебник

Издательство: Адукацыя i выхаванне

Год издания: 2024 - 2026

Цвет обложки: бирюзовый с графиком

ISBN: ISBN 978-985-03-4081-8

Допущено Министерством образования Республики Беларусь

Популярные ГДЗ в 8 классе

Повторение курса алгебры 7-го класса. Степень с целым показателем и ее свойства - номер 9, страница 5.

№9 (с. 5)
Условие. №9 (с. 5)
скриншот условия
Алгебра, 8 класс Учебник, авторы: Арефьева Ирина Глебовна, Пирютко Ольга Николаевна, издательство Адукацыя i выхаванне, Минск, 2024, бирюзового цвета, страница 5, номер 9, Условие

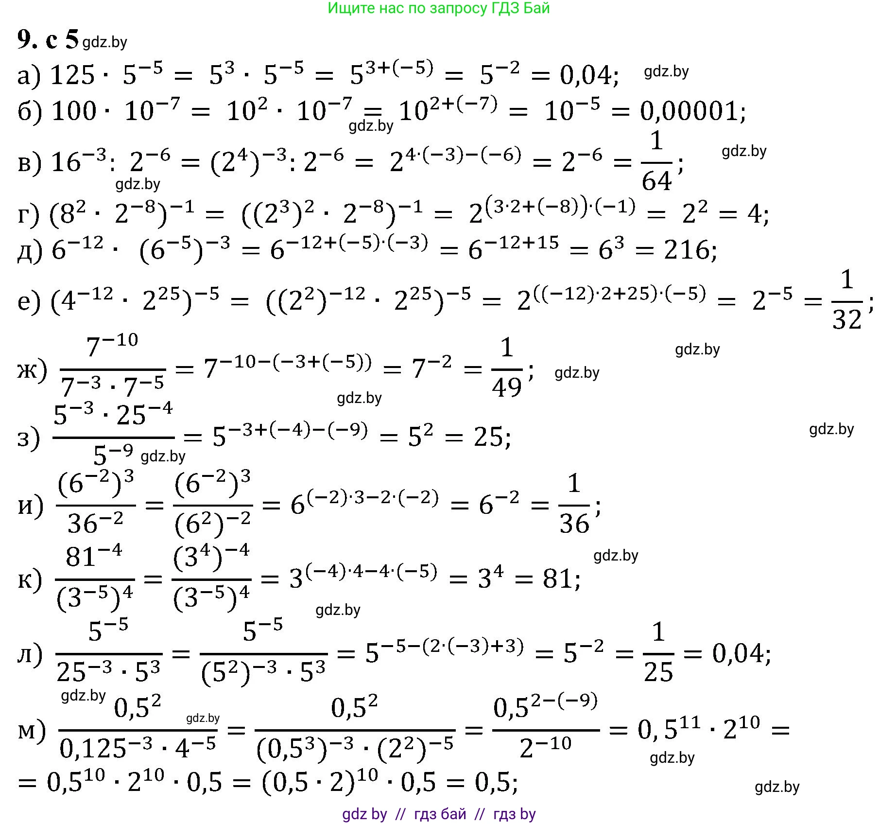
9. Выберите рациональный способ решения для нахождения значения выражения:

а) $125 \cdot 5^{-5};$

б) $100 \cdot 10^{-7};$

в) $16^{-3} : 2^{-6};$

г) $(8^2 \cdot 2^{-8})^{-1};$

д) $6^{-12} \cdot (6^{-5})^{-3};$

е) $(4^{-12} \cdot 2^{25})^{-5};$

ж) $\frac{7^{-10}}{7^{-3} \cdot 7^{-5}};$

з) $\frac{5^{-3} \cdot 25^{-4}}{5^{-9}};$

и) $\frac{(6^{-2})^3}{36^{-2}};$

к) $\frac{81^{-4}}{(3^{-5})^4};$

л) $\frac{5^{-5}}{25^{-3} \cdot 5^3};$

м) $\frac{0,5^2}{0,125^{-3} \cdot 4^{-5}}.$

Решение. №9 (с. 5)
Алгебра, 8 класс Учебник, авторы: Арефьева Ирина Глебовна, Пирютко Ольга Николаевна, издательство Адукацыя i выхаванне, Минск, 2024, бирюзового цвета, страница 5, номер 9, Решение
Решение 2. №9 (с. 5)

а) Для решения выражения $125 \cdot 5^{-5}$ представим число 125 как степень числа 5. Поскольку $125 = 5 \cdot 5 \cdot 5 = 5^3$, выражение принимает вид:

$5^3 \cdot 5^{-5}$

Используем свойство умножения степеней с одинаковым основанием $a^m \cdot a^n = a^{m+n}$:

$5^{3 + (-5)} = 5^{-2}$

Используем свойство степени с отрицательным показателем $a^{-n} = \frac{1}{a^n}$:

$5^{-2} = \frac{1}{5^2} = \frac{1}{25}$

Ответ: $\frac{1}{25}$


б) Для решения выражения $100 \cdot 10^{-7}$ представим число 100 как степень числа 10. Поскольку $100 = 10^2$, выражение принимает вид:

$10^2 \cdot 10^{-7}$

Используем свойство умножения степеней $a^m \cdot a^n = a^{m+n}$:

$10^{2 + (-7)} = 10^{-5}$

Это равно:

$\frac{1}{10^5} = \frac{1}{100000} = 0,00001$

Ответ: $0,00001$


в) Для решения выражения $16^{-3} : 2^{-6}$ приведем все степени к одному основанию 2. Поскольку $16 = 2^4$, выражение принимает вид:

$(2^4)^{-3} : 2^{-6}$

Используем свойство возведения степени в степень $(a^m)^n = a^{m \cdot n}$:

$2^{4 \cdot (-3)} : 2^{-6} = 2^{-12} : 2^{-6}$

Используем свойство деления степеней с одинаковым основанием $a^m : a^n = a^{m-n}$:

$2^{-12 - (-6)} = 2^{-12+6} = 2^{-6}$

Используем свойство степени с отрицательным показателем $a^{-n} = \frac{1}{a^n}$:

$2^{-6} = \frac{1}{2^6} = \frac{1}{64}$

Ответ: $\frac{1}{64}$


г) Для решения выражения $(8^2 \cdot 2^{-8})^{-1}$ приведем все степени к одному основанию 2. Поскольку $8 = 2^3$, выражение принимает вид:

$((2^3)^2 \cdot 2^{-8})^{-1}$

Сначала упростим выражение в скобках. Используем свойство $(a^m)^n = a^{m \cdot n}$:

$(2^{3 \cdot 2} \cdot 2^{-8})^{-1} = (2^6 \cdot 2^{-8})^{-1}$

Используем свойство $a^m \cdot a^n = a^{m+n}$:

$(2^{6+(-8)})^{-1} = (2^{-2})^{-1}$

Снова используем свойство $(a^m)^n = a^{m \cdot n}$:

$2^{(-2) \cdot (-1)} = 2^2 = 4$

Ответ: 4


д) Для решения выражения $6^{-12} \cdot (6^{-5})^{-3}$ сначала упростим второй множитель, используя свойство возведения степени в степень $(a^m)^n = a^{m \cdot n}$:

$(6^{-5})^{-3} = 6^{(-5) \cdot (-3)} = 6^{15}$

Теперь выражение имеет вид:

$6^{-12} \cdot 6^{15}$

Используем свойство умножения степеней $a^m \cdot a^n = a^{m+n}$:

$6^{-12+15} = 6^3 = 216$

Ответ: 216


е) Для решения выражения $(4^{-12} \cdot 2^{25})^{-5}$ приведем все степени к одному основанию 2. Поскольку $4 = 2^2$, выражение принимает вид:

$((2^2)^{-12} \cdot 2^{25})^{-5}$

Упростим выражение в скобках. Используем свойство $(a^m)^n = a^{m \cdot n}$:

$(2^{2 \cdot (-12)} \cdot 2^{25})^{-5} = (2^{-24} \cdot 2^{25})^{-5}$

Используем свойство $a^m \cdot a^n = a^{m+n}$:

$(2^{-24+25})^{-5} = (2^1)^{-5} = 2^{-5}$

Используем свойство $a^{-n} = \frac{1}{a^n}$:

$2^{-5} = \frac{1}{2^5} = \frac{1}{32}$

Ответ: $\frac{1}{32}$


ж) Для решения выражения $\frac{7^{-10}}{7^{-3} \cdot 7^{-5}}$ сначала упростим знаменатель, используя свойство $a^m \cdot a^n = a^{m+n}$:

$7^{-3} \cdot 7^{-5} = 7^{-3+(-5)} = 7^{-8}$

Теперь дробь имеет вид:

$\frac{7^{-10}}{7^{-8}}$

Используем свойство деления степеней $\frac{a^m}{a^n} = a^{m-n}$:

$7^{-10 - (-8)} = 7^{-10+8} = 7^{-2}$

Используем свойство $a^{-n} = \frac{1}{a^n}$:

$7^{-2} = \frac{1}{7^2} = \frac{1}{49}$

Ответ: $\frac{1}{49}$


з) Для решения выражения $\frac{5^{-3} \cdot 25^{-4}}{5^{-9}}$ приведем все степени к основанию 5. Поскольку $25 = 5^2$, заменим $25^{-4}$ на $(5^2)^{-4}$.

Упростим числитель. Используем свойство $(a^m)^n = a^{m \cdot n}$: $(5^2)^{-4} = 5^{-8}$.

Теперь числитель равен $5^{-3} \cdot 5^{-8}$. Используем свойство $a^m \cdot a^n = a^{m+n}$:

$5^{-3+(-8)} = 5^{-11}$

Дробь принимает вид:

$\frac{5^{-11}}{5^{-9}}$

Используем свойство деления степеней $\frac{a^m}{a^n} = a^{m-n}$:

$5^{-11 - (-9)} = 5^{-11+9} = 5^{-2} = \frac{1}{5^2} = \frac{1}{25}$

Ответ: $\frac{1}{25}$


и) Для решения выражения $\frac{(6^{-2})^3}{36^{-2}}$ приведем все степени к основанию 6. Поскольку $36 = 6^2$, заменим $36^{-2}$ на $(6^2)^{-2}$.

Упростим числитель и знаменатель, используя свойство $(a^m)^n = a^{m \cdot n}$:

Числитель: $(6^{-2})^3 = 6^{-2 \cdot 3} = 6^{-6}$

Знаменатель: $(6^2)^{-2} = 6^{2 \cdot (-2)} = 6^{-4}$

Дробь принимает вид:

$\frac{6^{-6}}{6^{-4}}$

Используем свойство деления степеней $\frac{a^m}{a^n} = a^{m-n}$:

$6^{-6 - (-4)} = 6^{-6+4} = 6^{-2} = \frac{1}{6^2} = \frac{1}{36}$

Ответ: $\frac{1}{36}$


к) Для решения выражения $\frac{81^{-4}}{(3^{-5})^4}$ приведем все степени к основанию 3. Поскольку $81 = 3^4$, заменим $81^{-4}$ на $(3^4)^{-4}$.

Упростим числитель и знаменатель, используя свойство $(a^m)^n = a^{m \cdot n}$:

Числитель: $(3^4)^{-4} = 3^{4 \cdot (-4)} = 3^{-16}$

Знаменатель: $(3^{-5})^4 = 3^{-5 \cdot 4} = 3^{-20}$

Дробь принимает вид:

$\frac{3^{-16}}{3^{-20}}$

Используем свойство деления степеней $\frac{a^m}{a^n} = a^{m-n}$:

$3^{-16 - (-20)} = 3^{-16+20} = 3^4 = 81$

Ответ: 81


л) Для решения выражения $\frac{5^{-5}}{25^{-3} \cdot 5^3}$ приведем все степени к основанию 5. Поскольку $25 = 5^2$, заменим $25^{-3}$ на $(5^2)^{-3}$.

Упростим знаменатель. Сначала используем свойство $(a^m)^n = a^{m \cdot n}$:

$(5^2)^{-3} = 5^{2 \cdot (-3)} = 5^{-6}$

Теперь знаменатель равен $5^{-6} \cdot 5^3$. Используем свойство $a^m \cdot a^n = a^{m+n}$:

$5^{-6+3} = 5^{-3}$

Дробь принимает вид:

$\frac{5^{-5}}{5^{-3}}$

Используем свойство деления степеней $\frac{a^m}{a^n} = a^{m-n}$:

$5^{-5 - (-3)} = 5^{-5+3} = 5^{-2} = \frac{1}{5^2} = \frac{1}{25}$

Ответ: $\frac{1}{25}$


м) Для решения выражения $\frac{0,5^2}{0,125^{-3} \cdot 4^{-5}}$ представим десятичные дроби и число 4 как степени числа 2:

  • $0,5 = \frac{1}{2} = 2^{-1}$
  • $0,125 = \frac{1}{8} = \frac{1}{2^3} = 2^{-3}$
  • $4 = 2^2$

Подставим эти значения в выражение:

$\frac{(2^{-1})^2}{(2^{-3})^{-3} \cdot (2^2)^{-5}}$

Упростим числитель и знаменатель, используя свойство $(a^m)^n = a^{m \cdot n}$:

Числитель: $(2^{-1})^2 = 2^{-2}$

Знаменатель: $(2^{-3})^{-3} \cdot (2^2)^{-5} = 2^{(-3) \cdot (-3)} \cdot 2^{2 \cdot (-5)} = 2^9 \cdot 2^{-10}$

Упростим знаменатель, используя свойство $a^m \cdot a^n = a^{m+n}$:

$2^9 \cdot 2^{-10} = 2^{9+(-10)} = 2^{-1}$

Дробь принимает вид:

$\frac{2^{-2}}{2^{-1}}$

Используем свойство деления степеней $\frac{a^m}{a^n} = a^{m-n}$:

$2^{-2 - (-1)} = 2^{-2+1} = 2^{-1} = \frac{1}{2}$

Ответ: $\frac{1}{2}$

Помогло решение? Оставьте отзыв в комментариях ниже.

Присоединяйтесь к Телеграм-группе @gdz_by_belarus

Присоединиться

Мы подготовили для вас ответ c подробным объяснением домашего задания по алгебре за 8 класс, для упражнения номер 9 расположенного на странице 5 к учебнику 2024 года издания для учащихся школ и гимназий.

Теперь на нашем сайте ГДЗ.ТОП вы всегда легко и бесплатно найдёте условие с правильным ответом на вопрос «Как решить ДЗ» и «Как сделать» задание по алгебре к упражнению №9 (с. 5), авторов: Арефьева (Ирина Глебовна), Пирютко (Ольга Николаевна), учебного пособия издательства Адукацыя i выхаванне.