Номер 3.167, страница 199 - гдз по алгебре 8 класс учебник Арефьева, Пирютко

Алгебра, 8 класс Учебник, авторы: Арефьева Ирина Глебовна, Пирютко Ольга Николаевна, издательство Адукацыя i выхаванне, Минск, 2024, бирюзового цвета

Авторы: Арефьева И. Г., Пирютко О. Н.

Тип: Учебник

Издательство: Адукацыя i выхаванне

Год издания: 2024 - 2026

Цвет обложки: бирюзовый с графиком

ISBN: ISBN 978-985-03-4081-8

Допущено Министерством образования Республики Беларусь

Популярные ГДЗ в 8 классе

Глава 3. Квадратичная функция. Параграф 15. Квадратные неравенства - номер 3.167, страница 199.

№3.167 (с. 199)
Условие. №3.167 (с. 199)
скриншот условия
Алгебра, 8 класс Учебник, авторы: Арефьева Ирина Глебовна, Пирютко Ольга Николаевна, издательство Адукацыя i выхаванне, Минск, 2024, бирюзового цвета, страница 199, номер 3.167, Условие

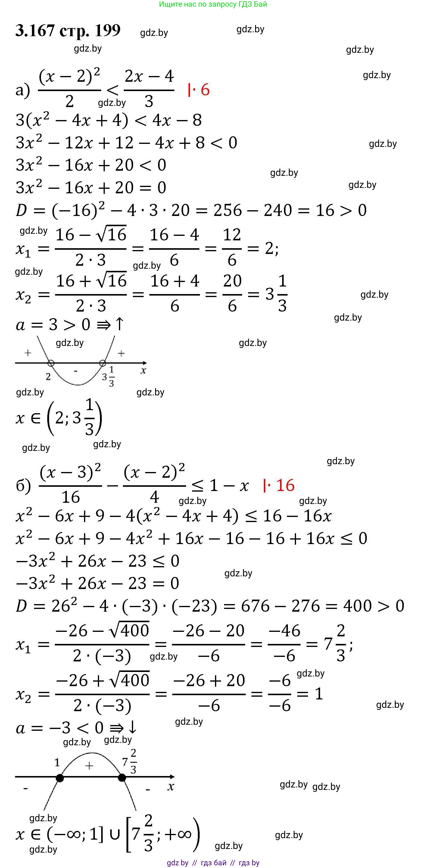
3.167. Решите неравенство:

а) $\frac{(x-2)^2}{2} < \frac{2x-4}{3};$

б) $\frac{(x-3)^2}{16} - \frac{(x-2)^2}{4} \leq 1-x;$

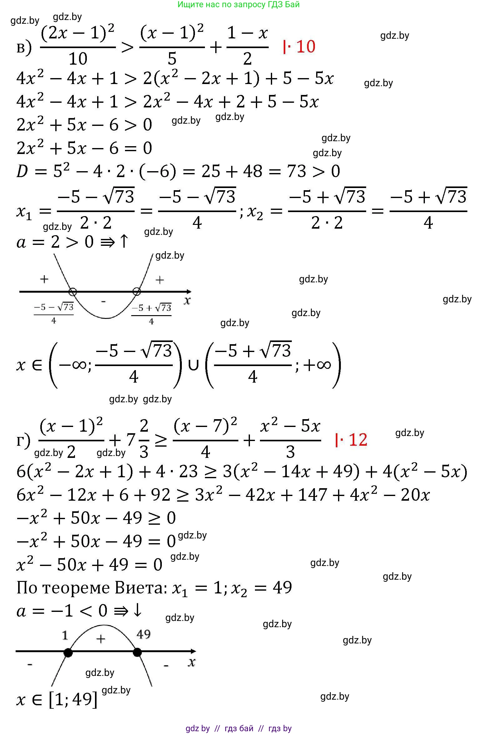
в) $\frac{(2x-1)^2}{10} > \frac{(x-1)^2}{5} + \frac{1-x}{2};$

г) $\frac{(x-1)^2}{2} + 7\frac{2}{3} \geq \frac{(x-7)^2}{4} + \frac{x^2-5x}{3}.$

Решение. №3.167 (с. 199)
Алгебра, 8 класс Учебник, авторы: Арефьева Ирина Глебовна, Пирютко Ольга Николаевна, издательство Адукацыя i выхаванне, Минск, 2024, бирюзового цвета, страница 199, номер 3.167, Решение Алгебра, 8 класс Учебник, авторы: Арефьева Ирина Глебовна, Пирютко Ольга Николаевна, издательство Адукацыя i выхаванне, Минск, 2024, бирюзового цвета, страница 199, номер 3.167, Решение (продолжение 2)
Решение 2. №3.167 (с. 199)

а) Решим неравенство $ \frac{(x-2)^2}{2} < \frac{2x-4}{3} $.

Сначала вынесем общий множитель в числителе правой части: $ \frac{2x-4}{3} = \frac{2(x-2)}{3} $.

Неравенство принимает вид: $ \frac{(x-2)^2}{2} < \frac{2(x-2)}{3} $.

Перенесем все члены в левую часть:

$$ \frac{(x-2)^2}{2} - \frac{2(x-2)}{3} < 0 $$

Вынесем общий множитель $ (x-2) $ за скобки:

$$ (x-2) \left( \frac{x-2}{2} - \frac{2}{3} \right) < 0 $$

Приведем выражение в скобках к общему знаменателю 6:

$$ (x-2) \left( \frac{3(x-2) - 2 \cdot 2}{6} \right) < 0 $$

$$ (x-2) \frac{3x - 6 - 4}{6} < 0 $$

$$ \frac{(x-2)(3x-10)}{6} < 0 $$

Так как знаменатель 6 положителен, знак неравенства зависит только от числителя:

$$ (x-2)(3x-10) < 0 $$

Найдем корни, приравняв каждый множитель к нулю: $ x-2=0 \Rightarrow x_1=2 $ и $ 3x-10=0 \Rightarrow x_2=\frac{10}{3} $.

Решим неравенство методом интервалов. Корни $2$ и $\frac{10}{3}$ разбивают числовую прямую на три интервала. Так как неравенство строгое, точки $2$ и $\frac{10}{3}$ не входят в решение. Парабола $y=(x-2)(3x-10)$ ветвями вверх, значит, отрицательные значения находятся между корнями.

Таким образом, решение неравенства: $ 2 < x < \frac{10}{3} $.

Выделим целую часть из неправильной дроби: $ \frac{10}{3} = \textbf{3}\frac{1}{3} $.

Ответ: $ (2; 3\frac{1}{3}) $.

б) Решим неравенство $ \frac{(x-3)^2}{16} - \frac{(x-2)^2}{4} \leq 1-x $.

Умножим обе части неравенства на наименьший общий знаменатель 16:

$$ (x-3)^2 - 4(x-2)^2 \leq 16(1-x) $$

Раскроем скобки, используя формулы квадрата разности:

$$ (x^2 - 6x + 9) - 4(x^2 - 4x + 4) \leq 16 - 16x $$

$$ x^2 - 6x + 9 - 4x^2 + 16x - 16 \leq 16 - 16x $$

Приведем подобные слагаемые в левой части:

$$ -3x^2 + 10x - 7 \leq 16 - 16x $$

Перенесем все члены в левую часть:

$$ -3x^2 + 10x + 16x - 7 - 16 \leq 0 $$

$$ -3x^2 + 26x - 23 \leq 0 $$

Умножим обе части на -1, изменив знак неравенства на противоположный:

$$ 3x^2 - 26x + 23 \geq 0 $$

Найдем корни соответствующего квадратного уравнения $ 3x^2 - 26x + 23 = 0 $.

Дискриминант $ D = b^2 - 4ac = (-26)^2 - 4 \cdot 3 \cdot 23 = 676 - 276 = 400 = 20^2 $.

Корни уравнения: $ x_1 = \frac{26 - 20}{2 \cdot 3} = \frac{6}{6} = 1 $ и $ x_2 = \frac{26 + 20}{2 \cdot 3} = \frac{46}{6} = \frac{23}{3} $.

Парабола $ y=3x^2 - 26x + 23 $ имеет ветви, направленные вверх ($a=3>0$). Знак неравенства "больше или равно", поэтому решением будут значения $x$ слева и справа от корней, включая сами корни.

Следовательно, $ x \leq 1 $ или $ x \geq \frac{23}{3} $.

Выделим целую часть: $ \frac{23}{3} = \textbf{7}\frac{2}{3} $.

Ответ: $ (-\infty; 1] \cup [7\frac{2}{3}; +\infty) $.

в) Решим неравенство $ \frac{(2x-1)^2}{10} > \frac{(x-1)^2}{5} + \frac{1-x}{2} $.

Умножим обе части на наименьший общий знаменатель 10:

$$ (2x-1)^2 > 2(x-1)^2 + 5(1-x) $$

Раскроем скобки:

$$ 4x^2 - 4x + 1 > 2(x^2 - 2x + 1) + 5 - 5x $$

$$ 4x^2 - 4x + 1 > 2x^2 - 4x + 2 + 5 - 5x $$

Приведем подобные слагаемые в правой части:

$$ 4x^2 - 4x + 1 > 2x^2 - 9x + 7 $$

Перенесем все члены в левую часть:

$$ 4x^2 - 2x^2 - 4x + 9x + 1 - 7 > 0 $$

$$ 2x^2 + 5x - 6 > 0 $$

Найдем корни уравнения $ 2x^2 + 5x - 6 = 0 $.

Дискриминант $ D = b^2 - 4ac = 5^2 - 4 \cdot 2 \cdot (-6) = 25 + 48 = 73 $.

Так как $ D > 0 $, уравнение имеет два действительных корня: $ x_{1,2} = \frac{-5 \pm \sqrt{73}}{4} $.

Парабола $ y=2x^2+5x-6 $ имеет ветви, направленные вверх ($a=2>0$). Знак неравенства "больше", поэтому решением будут значения $x$ за пределами корней.

Ответ: $ (-\infty; \frac{-5 - \sqrt{73}}{4}) \cup (\frac{-5 + \sqrt{73}}{4}; +\infty) $.

г) Решим неравенство $ \frac{(x-1)^2}{2} + 7\frac{2}{3} \geq \frac{(x-7)^2}{4} + \frac{x^2-5x}{3} $.

Представим смешанное число в виде неправильной дроби: $ 7\frac{2}{3} = \frac{23}{3} $.

$$ \frac{(x-1)^2}{2} + \frac{23}{3} \geq \frac{(x-7)^2}{4} + \frac{x^2-5x}{3} $$

Умножим обе части на наименьший общий знаменатель 12:

$$ 6(x-1)^2 + 4 \cdot 23 \geq 3(x-7)^2 + 4(x^2-5x) $$

Раскроем скобки и упростим:

$$ 6(x^2 - 2x + 1) + 92 \geq 3(x^2 - 14x + 49) + 4x^2 - 20x $$

$$ 6x^2 - 12x + 6 + 92 \geq 3x^2 - 42x + 147 + 4x^2 - 20x $$

Приведем подобные слагаемые в обеих частях:

$$ 6x^2 - 12x + 98 \geq 7x^2 - 62x + 147 $$

Перенесем все члены в правую часть, чтобы коэффициент при $x^2$ был положительным:

$$ 0 \geq 7x^2 - 6x^2 - 62x + 12x + 147 - 98 $$

$$ 0 \geq x^2 - 50x + 49 $$

или, что то же самое:

$$ x^2 - 50x + 49 \leq 0 $$

Найдем корни уравнения $ x^2 - 50x + 49 = 0 $. По теореме Виета, сумма корней равна 50, а произведение 49. Следовательно, корни $ x_1 = 1 $ и $ x_2 = 49 $.

Парабола $ y=x^2-50x+49 $ имеет ветви, направленные вверх ($a=1>0$). Знак неравенства "меньше или равно", поэтому решением является отрезок между корнями, включая сами корни.

$$ 1 \leq x \leq 49 $$

Ответ: $ [1; 49] $.

Помогло решение? Оставьте отзыв в комментариях ниже.

Присоединяйтесь к Телеграм-группе @gdz_by_belarus

Присоединиться

Мы подготовили для вас ответ c подробным объяснением домашего задания по алгебре за 8 класс, для упражнения номер 3.167 расположенного на странице 199 к учебнику 2024 года издания для учащихся школ и гимназий.

Теперь на нашем сайте ГДЗ.ТОП вы всегда легко и бесплатно найдёте условие с правильным ответом на вопрос «Как решить ДЗ» и «Как сделать» задание по алгебре к упражнению №3.167 (с. 199), авторов: Арефьева (Ирина Глебовна), Пирютко (Ольга Николаевна), учебного пособия издательства Адукацыя i выхаванне.