Номер 3.172, страница 200 - гдз по алгебре 8 класс учебник Арефьева, Пирютко

Алгебра, 8 класс Учебник, авторы: Арефьева Ирина Глебовна, Пирютко Ольга Николаевна, издательство Адукацыя i выхаванне, Минск, 2024, бирюзового цвета

Авторы: Арефьева И. Г., Пирютко О. Н.

Тип: Учебник

Издательство: Адукацыя i выхаванне

Год издания: 2024 - 2026

Цвет обложки: бирюзовый с графиком

ISBN: ISBN 978-985-03-4081-8

Допущено Министерством образования Республики Беларусь

Популярные ГДЗ в 8 классе

Глава 3. Квадратичная функция. Параграф 15. Квадратные неравенства - номер 3.172, страница 200.

№3.172 (с. 200)
Условие. №3.172 (с. 200)
скриншот условия
Алгебра, 8 класс Учебник, авторы: Арефьева Ирина Глебовна, Пирютко Ольга Николаевна, издательство Адукацыя i выхаванне, Минск, 2024, бирюзового цвета, страница 200, номер 3.172, Условие

3.172. Решите квадратное неравенство:

а) $6x^2 - 7x + 2 > 0$;

б) $-x^2 + 4x + 5 < 0$;

в) $x^2 - 1 \ge 0$;

г) $16 - x^2 > 0$;

д) $3x - 9x^2 > 0$;

е) $-2x^2 - 5x + 3 \le 0$;

ж) $7x^2 - x + 1 > 0$;

з) $x^2 - 8x + 16 \le 0$.

Решение. №3.172 (с. 200)
Алгебра, 8 класс Учебник, авторы: Арефьева Ирина Глебовна, Пирютко Ольга Николаевна, издательство Адукацыя i выхаванне, Минск, 2024, бирюзового цвета, страница 200, номер 3.172, Решение Алгебра, 8 класс Учебник, авторы: Арефьева Ирина Глебовна, Пирютко Ольга Николаевна, издательство Адукацыя i выхаванне, Минск, 2024, бирюзового цвета, страница 200, номер 3.172, Решение (продолжение 2)
Решение 2. №3.172 (с. 200)

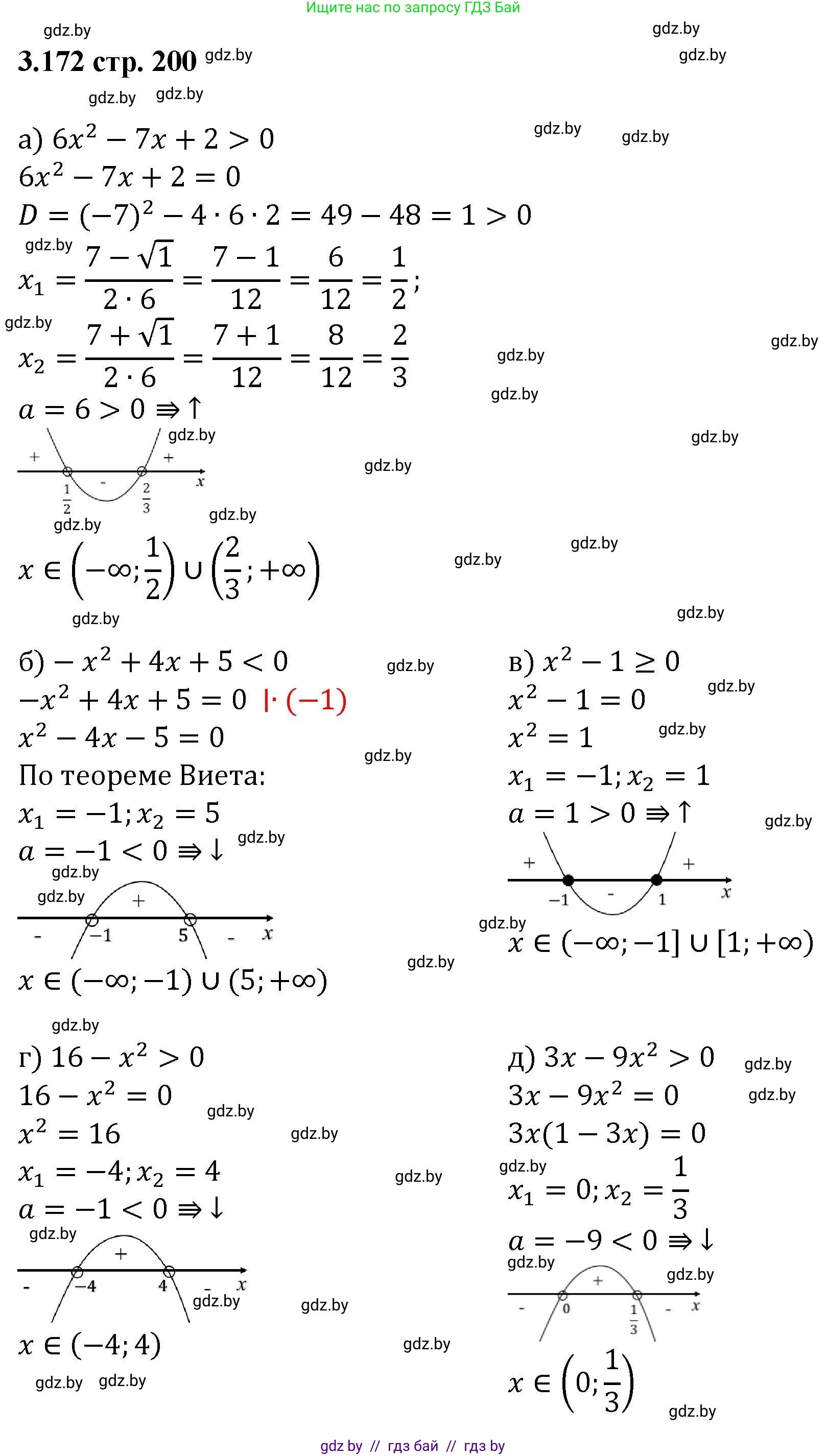
а) $6x^2 - 7x + 2 > 0$

Для решения квадратного неравенства сначала найдем корни соответствующего квадратного уравнения $6x^2 - 7x + 2 = 0$.

Вычислим дискриминант по формуле $D = b^2 - 4ac$:

$D = (-7)^2 - 4 \cdot 6 \cdot 2 = 49 - 48 = 1$

Так как $D > 0$, уравнение имеет два различных действительных корня. Найдем их по формуле $x = \frac{-b \pm \sqrt{D}}{2a}$:

$x_1 = \frac{7 - \sqrt{1}}{2 \cdot 6} = \frac{6}{12} = \frac{1}{2}$

$x_2 = \frac{7 + \sqrt{1}}{2 \cdot 6} = \frac{8}{12} = \frac{2}{3}$

Теперь рассмотрим параболу $y = 6x^2 - 7x + 2$. Коэффициент при $x^2$ равен $6$, он положителен, значит, ветви параболы направлены вверх. Парабола пересекает ось абсцисс (Ox) в точках $x = 1/2$ и $x = 2/3$.

Нам нужно найти, где $6x^2 - 7x + 2 > 0$, то есть где график функции находится выше оси Ox. Для параболы с ветвями вверх это происходит на интервалах левее меньшего корня и правее большего корня.

Ответ: $x \in (-\infty; \frac{1}{2}) \cup (\frac{2}{3}; +\infty)$.

б) $-x^2 + 4x + 5 < 0$

Найдем корни квадратного уравнения $-x^2 + 4x + 5 = 0$. Для удобства умножим обе части на $-1$:

$x^2 - 4x - 5 = 0$

По теореме Виета, сумма корней равна $4$, а их произведение равно $-5$. Корни уравнения: $x_1 = 5$ и $x_2 = -1$.

Графиком функции $y = -x^2 + 4x + 5$ является парабола. Коэффициент при $x^2$ равен $-1$, он отрицателен, значит, ветви параболы направлены вниз. Парабола пересекает ось Ox в точках $x = -1$ и $x = 5$.

Мы ищем, где $-x^2 + 4x + 5 < 0$, то есть где график функции находится ниже оси Ox. Для параболы с ветвями вниз это происходит на интервалах левее меньшего корня и правее большего корня.

Ответ: $x \in (-\infty; -1) \cup (5; +\infty)$.

в) $x^2 - 1 \ge 0$

Найдем корни уравнения $x^2 - 1 = 0$. Это разность квадратов:

$(x-1)(x+1) = 0$

Корни уравнения: $x_1 = 1$ и $x_2 = -1$.

Графиком функции $y = x^2 - 1$ является парабола с ветвями, направленными вверх ($a=1 > 0$). Парабола пересекает ось Ox в точках $x = -1$ и $x = 1$.

Неравенство $x^2 - 1 \ge 0$ выполняется там, где график функции находится выше или на оси Ox. Это происходит при $x$, меньших или равных $-1$, и при $x$, больших или равных $1$.

Ответ: $x \in (-\infty; -1] \cup [1; +\infty)$.

г) $16 - x^2 > 0$

Найдем корни уравнения $16 - x^2 = 0$. Это разность квадратов:

$(4-x)(4+x) = 0$

Корни уравнения: $x_1 = 4$ и $x_2 = -4$.

Графиком функции $y = 16 - x^2$ является парабола с ветвями, направленными вниз ($a=-1 < 0$). Парабола пересекает ось Ox в точках $x = -4$ и $x = 4$.

Неравенство $16 - x^2 > 0$ выполняется там, где график функции находится выше оси Ox. Для параболы с ветвями вниз это происходит между корнями.

Ответ: $x \in (-4; 4)$.

д) $3x - 9x^2 > 0$

Найдем корни уравнения $3x - 9x^2 = 0$. Вынесем общий множитель $3x$ за скобки:

$3x(1 - 3x) = 0$

Корни уравнения: $x_1 = 0$ и $1 - 3x = 0 \implies x_2 = \frac{1}{3}$.

Графиком функции $y = 3x - 9x^2$ является парабола с ветвями, направленными вниз ($a=-9 < 0$). Парабола пересекает ось Ox в точках $x = 0$ и $x = 1/3$.

Неравенство $3x - 9x^2 > 0$ выполняется там, где график функции находится выше оси Ox, то есть между корнями.

Ответ: $x \in (0; \frac{1}{3})$.

е) $-2x^2 - 5x + 3 \le 0$

Найдем корни уравнения $-2x^2 - 5x + 3 = 0$. Умножим на $-1$:

$2x^2 + 5x - 3 = 0$

Вычислим дискриминант: $D = 5^2 - 4 \cdot 2 \cdot (-3) = 25 + 24 = 49$.

Корни уравнения: $x_{1,2} = \frac{-5 \pm \sqrt{49}}{2 \cdot 2} = \frac{-5 \pm 7}{4}$.

$x_1 = \frac{-5 - 7}{4} = \frac{-12}{4} = -3$

$x_2 = \frac{-5 + 7}{4} = \frac{2}{4} = \frac{1}{2}$

Графиком функции $y = -2x^2 - 5x + 3$ является парабола с ветвями, направленными вниз ($a=-2 < 0$).

Неравенство $\le 0$ выполняется там, где график находится ниже или на оси Ox. Для параболы с ветвями вниз это происходит вне интервала между корнями, включая сами корни.

Ответ: $x \in (-\infty; -3] \cup [\frac{1}{2}; +\infty)$.

ж) $7x^2 - x + 1 > 0$

Рассмотрим функцию $y = 7x^2 - x + 1$. Это парабола, ветви которой направлены вверх ($a=7>0$).

Найдем дискриминант соответствующего уравнения $7x^2 - x + 1 = 0$:

$D = (-1)^2 - 4 \cdot 7 \cdot 1 = 1 - 28 = -27$

Так как $D < 0$, уравнение не имеет действительных корней, и парабола не пересекает ось Ox.

Поскольку ветви параболы направлены вверх и она не пересекает ось Ox, вся парабола целиком расположена выше оси Ox. Это означает, что выражение $7x^2 - x + 1$ положительно при любом значении $x$.

Ответ: $x \in (-\infty; +\infty)$.

з) $x^2 - 8x + 16 \le 0$

Заметим, что левая часть неравенства является полным квадратом:

$x^2 - 8x + 16 = (x-4)^2$

Неравенство можно переписать в виде:

$(x-4)^2 \le 0$

Выражение $(x-4)^2$, будучи квадратом действительного числа, всегда неотрицательно, то есть $(x-4)^2 \ge 0$ для любого $x$.

Следовательно, неравенство $(x-4)^2 \le 0$ не может быть строго меньше нуля. Оно может выполняться только в случае равенства нулю:

$(x-4)^2 = 0$

Это равенство достигается только при $x-4=0$, то есть $x=4$.

Ответ: $x = 4$.

Помогло решение? Оставьте отзыв в комментариях ниже.

Присоединяйтесь к Телеграм-группе @gdz_by_belarus

Присоединиться

Мы подготовили для вас ответ c подробным объяснением домашего задания по алгебре за 8 класс, для упражнения номер 3.172 расположенного на странице 200 к учебнику 2024 года издания для учащихся школ и гимназий.

Теперь на нашем сайте ГДЗ.ТОП вы всегда легко и бесплатно найдёте условие с правильным ответом на вопрос «Как решить ДЗ» и «Как сделать» задание по алгебре к упражнению №3.172 (с. 200), авторов: Арефьева (Ирина Глебовна), Пирютко (Ольга Николаевна), учебного пособия издательства Адукацыя i выхаванне.