Номер 151, страница 41 - гдз по алгебре 8 класс учебник Макарычев, Миндюк

Алгебра, 8 класс Учебник, авторы: Макарычев Юрий Николаевич, Миндюк Нора Григорьевна, Нешков Константин Иванович, Суворова Светлана Борисовна, издательство Просвещение, Москва, 2023, белого цвета

Авторы: Макарычев Ю. Н., Миндюк Н. Г., Нешков К. И., Суворова С. Б.

Тип: Учебник

Издательство: Просвещение

Год издания: 2023 - 2026

Уровень обучения: базовый

Цвет обложки: белый, голубой, фиолетовый

ISBN: 978-5-09-102536-1, 978-5-09-111166-8

Допущено Министерством просвещения Российской Федерации

Популярные ГДЗ в 8 классе

Глава 1. Рациональные дроби. Параграф 3. Произведение и частное дробей. 7. Преобразование рациональных выражений - номер 151, страница 41.

№151 (с. 41)
Условие. №151 (с. 41)
скриншот условия
Алгебра, 8 класс Учебник, авторы: Макарычев Юрий Николаевич, Миндюк Нора Григорьевна, Нешков Константин Иванович, Суворова Светлана Борисовна, издательство Просвещение, Москва, 2023, белого цвета, страница 41, номер 151, Условие

151. Выполните действия:

Выполнить действия
Решение. №151 (с. 41)
скриншот решения
Алгебра, 8 класс Учебник, авторы: Макарычев Юрий Николаевич, Миндюк Нора Григорьевна, Нешков Константин Иванович, Суворова Светлана Борисовна, издательство Просвещение, Москва, 2023, белого цвета, страница 41, номер 151, Решение

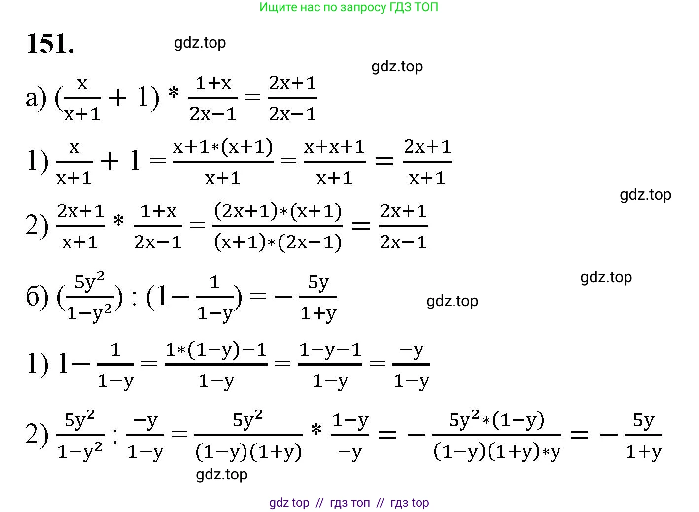
a) xx+1+1·1+x2x-1=2x+12x-1

1) xx+1+1=x+x+1x+1=2x+1x+1  2) 2x+1x+1·1+x2x-1=2x+12x-1

б) 5y21-y2:1-11-y=-5y1+y

1) 1-11-y=1-y-11-y=-y1-y  2) 5y21-y2:-y1-y=-5y2·(1-y)(1-y)(1+y)y=-5y1+y

в) 4a2-a-a:a+2a-2=4a-a(2-a)2-a·a-2a+2=
=4a-2a+a22-a·a-2a+2=a2+2a-(a-2)·a-2a+2= =-a(a+2)a+2=-a

г) x-2x-3·x+x2-x=x-2x-3·x(2-x)+x2-x= =-(2-x)x-3·2x-x2+x2-x=-3x-x2x-3= =-x(3-x)-(3-x)=x

Решение 2. №151 (с. 41)
Алгебра, 8 класс Учебник, авторы: Макарычев Юрий Николаевич, Миндюк Нора Григорьевна, Нешков Константин Иванович, Суворова Светлана Борисовна, издательство Просвещение, Москва, 2023, белого цвета, страница 41, номер 151, Решение 2
Алгебра, 8 класс Учебник, авторы: Макарычев Юрий Николаевич, Миндюк Нора Григорьевна, Нешков Константин Иванович, Суворова Светлана Борисовна, издательство Просвещение, Москва, 2023, белого цвета, страница 41, номер 151, Решение 2 (продолжение 2)
Решение 3. №151 (с. 41)

а) Сначала выполним действие в скобках, приведя к общему знаменателю $x+1$:
$ \frac{x}{x+1} + 1 = \frac{x}{x+1} + \frac{x+1}{x+1} = \frac{x + x + 1}{x+1} = \frac{2x+1}{x+1} $
Теперь выполним умножение. Так как $1+x = x+1$, мы можем сократить общие множители:
$ \frac{2x+1}{x+1} \cdot \frac{1+x}{2x-1} = \frac{2x+1}{\cancel{x+1}} \cdot \frac{\cancel{x+1}}{2x-1} = \frac{2x+1}{2x-1} $
Ответ: $ \frac{2x+1}{2x-1} $

б) Упростим выражение в скобках, приведя к общему знаменателю $1-y$:
$ 1 - \frac{1}{1-y} = \frac{1-y}{1-y} - \frac{1}{1-y} = \frac{1-y-1}{1-y} = \frac{-y}{1-y} $
Теперь выполним деление. Для этого заменим его на умножение на обратную дробь и разложим знаменатель $1-y^2$ по формуле разности квадратов: $1-y^2 = (1-y)(1+y)$.
$ \frac{5y^2}{1-y^2} : \frac{-y}{1-y} = \frac{5y^2}{(1-y)(1+y)} \cdot \frac{1-y}{-y} $
Сократим общие множители $y$ и $(1-y)$:
$ \frac{5 \cdot \cancel{y^2} \ y}{( \cancel{1-y})(1+y)} \cdot \frac{\cancel{1-y}}{-\cancel{y}} = \frac{5y}{1+y} \cdot \frac{1}{-1} = -\frac{5y}{1+y} $
Ответ: $ -\frac{5y}{1+y} $

в) Упростим выражение в скобках, приведя к общему знаменателю $2-a$:
$ \frac{4a}{2-a} - a = \frac{4a - a(2-a)}{2-a} = \frac{4a - 2a + a^2}{2-a} = \frac{a^2+2a}{2-a} = \frac{a(a+2)}{2-a} $
Теперь выполним деление, заменив его на умножение на обратную дробь:
$ \frac{a(a+2)}{2-a} : \frac{a+2}{a-2} = \frac{a(a+2)}{2-a} \cdot \frac{a-2}{a+2} $
Используем свойство $a-2 = -(2-a)$ и сократим общие множители $(a+2)$ и $(2-a)$:
$ \frac{a(\cancel{a+2})}{\cancel{2-a}} \cdot \frac{-(\cancel{2-a})}{\cancel{a+2}} = a \cdot (-1) = -a $
Ответ: $ -a $

г) Упростим выражение в скобках, приведя к общему знаменателю $2-x$:
$ x + \frac{x}{2-x} = \frac{x(2-x)}{2-x} + \frac{x}{2-x} = \frac{2x - x^2 + x}{2-x} = \frac{3x-x^2}{2-x} = \frac{x(3-x)}{2-x} $
Теперь выполним умножение. Используем свойства $x-2 = -(2-x)$ и $3-x = -(x-3)$ для сокращения дробей:
$ \frac{x-2}{x-3} \cdot \frac{x(3-x)}{2-x} = \frac{\cancel{x-2}}{\cancel{x-3}} \cdot \frac{x(-(\cancel{x-3}))}{-(\cancel{x-2})} = \frac{-x}{-1} = x $
Ответ: $ x $

Помогло решение? Оставьте отзыв в комментариях ниже.

Присоединяйтесь к Телеграм-группе @top_gdz

Присоединиться

Мы подготовили для вас ответ c подробным объяснением домашего задания по алгебре за 8 класс, для упражнения номер 151 расположенного на странице 41 к учебнику 2023 года издания для учащихся школ и гимназий.

Теперь на нашем сайте ГДЗ.ТОП вы всегда легко и бесплатно найдёте условие с правильным ответом на вопрос «Как решить ДЗ» и «Как сделать» задание по алгебре к упражнению №151 (с. 41), авторов: Макарычев (Юрий Николаевич), Миндюк (Нора Григорьевна), Нешков (Константин Иванович), Суворова (Светлана Борисовна), ФГОС (новый, красный) базовый уровень обучения учебного пособия издательства Просвещение.