Номер 156, страница 42 - гдз по алгебре 8 класс учебник Макарычев, Миндюк

Алгебра, 8 класс Учебник, авторы: Макарычев Юрий Николаевич, Миндюк Нора Григорьевна, Нешков Константин Иванович, Суворова Светлана Борисовна, издательство Просвещение, Москва, 2023, белого цвета

Авторы: Макарычев Ю. Н., Миндюк Н. Г., Нешков К. И., Суворова С. Б.

Тип: Учебник

Издательство: Просвещение

Год издания: 2023 - 2026

Уровень обучения: базовый

Цвет обложки: белый, голубой, фиолетовый

ISBN: 978-5-09-102536-1, 978-5-09-111166-8

Допущено Министерством просвещения Российской Федерации

Популярные ГДЗ в 8 классе

Глава 1. Рациональные дроби. Параграф 3. Произведение и частное дробей. 7. Преобразование рациональных выражений - номер 156, страница 42.

№156 (с. 42)
Условие. №156 (с. 42)
скриншот условия
Алгебра, 8 класс Учебник, авторы: Макарычев Юрий Николаевич, Миндюк Нора Григорьевна, Нешков Константин Иванович, Суворова Светлана Борисовна, издательство Просвещение, Москва, 2023, белого цвета, страница 42, номер 156, Условие

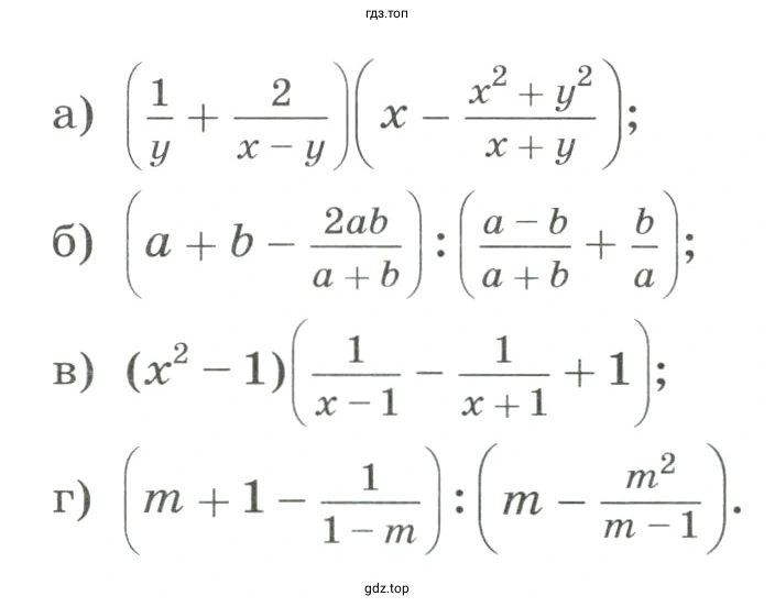
156. Выполните действия:

Выполнить действия
Решение. №156 (с. 42)
скриншот решения
Алгебра, 8 класс Учебник, авторы: Макарычев Юрий Николаевич, Миндюк Нора Григорьевна, Нешков Константин Иванович, Суворова Светлана Борисовна, издательство Просвещение, Москва, 2023, белого цвета, страница 42, номер 156, Решение
Алгебра, 8 класс Учебник, авторы: Макарычев Юрий Николаевич, Миндюк Нора Григорьевна, Нешков Константин Иванович, Суворова Светлана Борисовна, издательство Просвещение, Москва, 2023, белого цвета, страница 42, номер 156, Решение (продолжение 2)

a) 1y+2x-yx-x2+y2x+y=1

1) 1y+2x-y=x-y+2yy(x-y)=x+yy(x-y)  2) x-x2+y2x+y=x(x+y)-(x2+y2)x+y= =x2+xy-x2-y2x+y=xy-y2x+y=y(x-y)x+y  3) x+yy(x-y)·y(x-y)x+y=1

б) a+b-2aba+b:a-ba+b+ba=a

1) a+b-2aba+b=(a+b)2-2aba+b= =a2+2ab+b2-2aba+b=a2+b2a+b  2) a-ba+b+ba=a(a-b)+b(a+b)a(a+b)= =a2-ab+ab+b2a(a+b)=a2+b2a(a+b)  3) a2+b2a+b:a2+b2a(a+b)=(a2+b2)·a(a+b)(a+b)·(a2+b2)=a

в) (x2-1)1x-1-1x+1+1=x2+1

1) 1x-1-1x+1+1= =x+1-(x-1)+(x-1)(x+1)(x-1)(x+1)= =x+1-x+1+x2-1(x-1)(x+1)=x2+1(x-1)(x+1)=x2+1x2-1  2) (x2-1)·x2+1x2-1=x2+1

г) m+1-11-m:m-m2m-1=-m

1) m+1-11-m=(m+1)(1-m)-11-m= =1-m2-11-m=-m21-m  2) m-m2m-1=m(m-1)-m2m-1=m2-m-m2m-1= =-mm-1  3)-m21-m:-mm-1=m21-m·m-1m= =m2(m-1)-(m-1)·m=-m

Решение 2. №156 (с. 42)
Алгебра, 8 класс Учебник, авторы: Макарычев Юрий Николаевич, Миндюк Нора Григорьевна, Нешков Константин Иванович, Суворова Светлана Борисовна, издательство Просвещение, Москва, 2023, белого цвета, страница 42, номер 156, Решение 2
Алгебра, 8 класс Учебник, авторы: Макарычев Юрий Николаевич, Миндюк Нора Григорьевна, Нешков Константин Иванович, Суворова Светлана Борисовна, издательство Просвещение, Москва, 2023, белого цвета, страница 42, номер 156, Решение 2 (продолжение 2)
Решение 3. №156 (с. 42)

а) $\left(\frac{1}{y} + \frac{2}{x-y}\right)\left(x - \frac{x^2+y^2}{x+y}\right)$

1. Упростим выражение в первой скобке. Приведем дроби к общему знаменателю $y(x-y)$:

$\frac{1}{y} + \frac{2}{x-y} = \frac{1 \cdot (x-y)}{y(x-y)} + \frac{2 \cdot y}{y(x-y)} = \frac{x-y+2y}{y(x-y)} = \frac{x+y}{y(x-y)}$

2. Упростим выражение во второй скобке. Приведем к общему знаменателю $x+y$:

$x - \frac{x^2+y^2}{x+y} = \frac{x(x+y)}{x+y} - \frac{x^2+y^2}{x+y} = \frac{x^2+xy - (x^2+y^2)}{x+y} = \frac{x^2+xy - x^2 - y^2}{x+y} = \frac{xy-y^2}{x+y} = \frac{y(x-y)}{x+y}$

3. Перемножим полученные выражения:

$\frac{x+y}{y(x-y)} \cdot \frac{y(x-y)}{x+y} = 1$

Сокращаем $y(x-y)$ в числителе и знаменателе, а также $(x+y)$ в числителе и знаменателе.

Ответ: $1$

б) $\left(a+b - \frac{2ab}{a+b}\right) : \left(\frac{a-b}{a+b} + \frac{b}{a}\right)$

1. Упростим выражение в первой скобке (делимое). Общий знаменатель $a+b$:

$a+b - \frac{2ab}{a+b} = \frac{(a+b)(a+b)}{a+b} - \frac{2ab}{a+b} = \frac{(a+b)^2-2ab}{a+b} = \frac{a^2+2ab+b^2-2ab}{a+b} = \frac{a^2+b^2}{a+b}$

2. Упростим выражение во второй скобке (делитель). Общий знаменатель $a(a+b)$:

$\frac{a-b}{a+b} + \frac{b}{a} = \frac{a(a-b)}{a(a+b)} + \frac{b(a+b)}{a(a+b)} = \frac{a^2-ab+ab+b^2}{a(a+b)} = \frac{a^2+b^2}{a(a+b)}$

3. Выполним деление:

$\frac{a^2+b^2}{a+b} : \frac{a^2+b^2}{a(a+b)} = \frac{a^2+b^2}{a+b} \cdot \frac{a(a+b)}{a^2+b^2} = a$

Сокращаем $(a^2+b^2)$ и $(a+b)$.

Ответ: $a$

в) $\left(x^2-1\right)\left(\frac{1}{x-1} - \frac{1}{x+1} + 1\right)$

1. Сначала упростим выражение в скобках. Приведем дроби к общему знаменателю $(x-1)(x+1) = x^2-1$:

$\frac{1}{x-1} - \frac{1}{x+1} + 1 = \frac{1 \cdot (x+1)}{(x-1)(x+1)} - \frac{1 \cdot (x-1)}{(x-1)(x+1)} + \frac{1 \cdot (x-1)(x+1)}{(x-1)(x+1)} = \frac{x+1 - (x-1) + x^2-1}{x^2-1} = \frac{x+1-x+1+x^2-1}{x^2-1} = \frac{x^2+1}{x^2-1}$

2. Теперь умножим полученное выражение на $(x^2-1)$:

$(x^2-1) \cdot \frac{x^2+1}{x^2-1} = x^2+1$

Сокращаем множитель $(x^2-1)$ и знаменатель.

Ответ: $x^2+1$

г) $\left(m+1-\frac{1}{1-m}\right) : \left(m - \frac{m^2}{m-1}\right)$

1. Упростим делимое. Заметим, что $1-m = -(m-1)$, тогда $\frac{1}{1-m} = -\frac{1}{m-1}$.

$m+1-\frac{1}{1-m} = m+1+\frac{1}{m-1} = \frac{(m+1)(m-1)}{m-1} + \frac{1}{m-1} = \frac{m^2-1+1}{m-1} = \frac{m^2}{m-1}$

2. Упростим делитель. Приведем к общему знаменателю $m-1$:

$m - \frac{m^2}{m-1} = \frac{m(m-1)}{m-1} - \frac{m^2}{m-1} = \frac{m^2-m-m^2}{m-1} = \frac{-m}{m-1}$

3. Выполним деление:

$\frac{m^2}{m-1} : \frac{-m}{m-1} = \frac{m^2}{m-1} \cdot \frac{m-1}{-m} = \frac{m^2}{-m} = -m$

Сокращаем $(m-1)$ и одну степень $m$.

Ответ: $-m$

Помогло решение? Оставьте отзыв в комментариях ниже.

Присоединяйтесь к Телеграм-группе @top_gdz

Присоединиться

Мы подготовили для вас ответ c подробным объяснением домашего задания по алгебре за 8 класс, для упражнения номер 156 расположенного на странице 42 к учебнику 2023 года издания для учащихся школ и гимназий.

Теперь на нашем сайте ГДЗ.ТОП вы всегда легко и бесплатно найдёте условие с правильным ответом на вопрос «Как решить ДЗ» и «Как сделать» задание по алгебре к упражнению №156 (с. 42), авторов: Макарычев (Юрий Николаевич), Миндюк (Нора Григорьевна), Нешков (Константин Иванович), Суворова (Светлана Борисовна), ФГОС (новый, красный) базовый уровень обучения учебного пособия издательства Просвещение.