Номер 423, страница 102 - гдз по алгебре 8 класс учебник Макарычев, Миндюк

Алгебра, 8 класс Учебник, авторы: Макарычев Юрий Николаевич, Миндюк Нора Григорьевна, Нешков Константин Иванович, Суворова Светлана Борисовна, издательство Просвещение, Москва, 2019 - 2022, белого цвета

Авторы: Макарычев Ю. Н., Миндюк Н. Г., Нешков К. И., Суворова С. Б.

Тип: Учебник

Издательство: Просвещение

Год издания: 2019 - 2022

Цвет обложки: белый, голубой, фиолетовый

ISBN: 978-5-09-087569-1

Допущено Министерством просвещения Российской Федерации

Популярные ГДЗ в 8 классе

Глава 2. Квадратные корни. Параграф 7. Применение свойств арифметического квадратного корня. 19. Преобразование выражений, содержащих квадратные корни - номер 423, страница 102.

№423 (с. 102)
Условие. №423 (с. 102)
скриншот условия
Алгебра, 8 класс Учебник, авторы: Макарычев Юрий Николаевич, Миндюк Нора Григорьевна, Нешков Константин Иванович, Суворова Светлана Борисовна, издательство Просвещение, Москва, 2019 - 2022, белого цвета, страница 102, номер 423, Условие

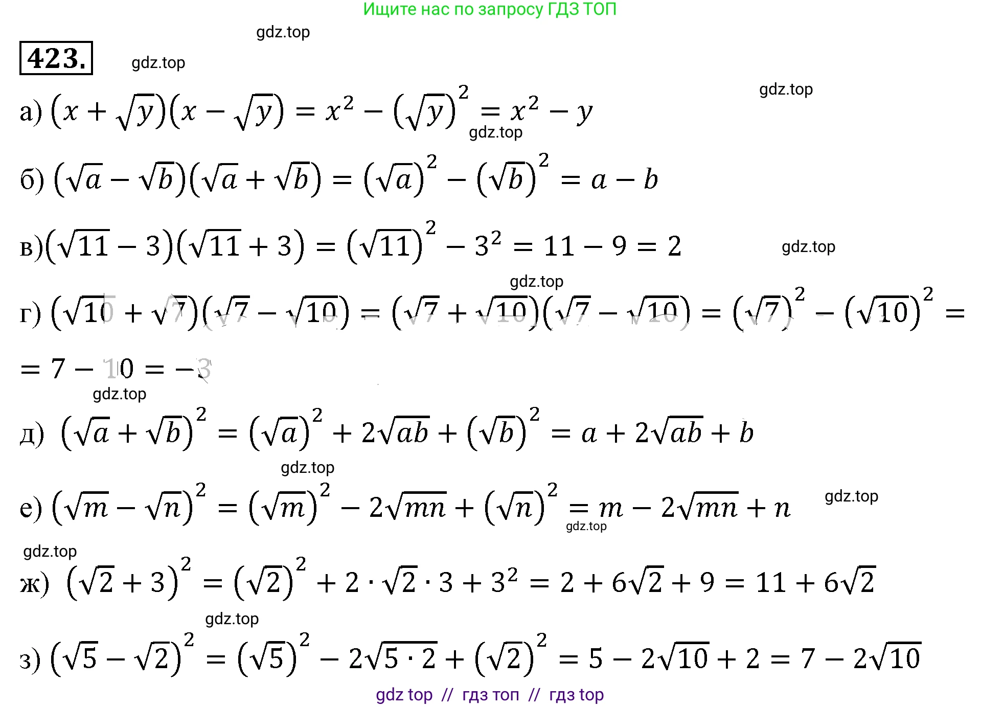
423. Выполните действия, используя формулы сокращённого умножения:

а) $ (x + \sqrt{y})(x - \sqrt{y})$;

б) $ (\sqrt{a} - \sqrt{b})(\sqrt{a} + \sqrt{b})$;

в) $ (\sqrt{11} - 3)(\sqrt{11} + 3)$;

г) $ (\sqrt{10} + \sqrt{7})(\sqrt{7} - \sqrt{10})$;

д) $ (\sqrt{a} + \sqrt{b})^2$;

е) $ (\sqrt{m} - \sqrt{n})^2$;

ж) $ (\sqrt{2} + 3)^2$;

з) $ (\sqrt{5} - \sqrt{2})^2$.

Решение 1. №423 (с. 102)
Алгебра, 8 класс Учебник, авторы: Макарычев Юрий Николаевич, Миндюк Нора Григорьевна, Нешков Константин Иванович, Суворова Светлана Борисовна, издательство Просвещение, Москва, 2019 - 2022, белого цвета, страница 102, номер 423, Решение 1
Алгебра, 8 класс Учебник, авторы: Макарычев Юрий Николаевич, Миндюк Нора Григорьевна, Нешков Константин Иванович, Суворова Светлана Борисовна, издательство Просвещение, Москва, 2019 - 2022, белого цвета, страница 102, номер 423, Решение 1 (продолжение 2)
Решение 2. №423 (с. 102)
Алгебра, 8 класс Учебник, авторы: Макарычев Юрий Николаевич, Миндюк Нора Григорьевна, Нешков Константин Иванович, Суворова Светлана Борисовна, издательство Просвещение, Москва, 2019 - 2022, белого цвета, страница 102, номер 423, Решение 2
Решение 3. №423 (с. 102)
Алгебра, 8 класс Учебник, авторы: Макарычев Юрий Николаевич, Миндюк Нора Григорьевна, Нешков Константин Иванович, Суворова Светлана Борисовна, издательство Просвещение, Москва, 2019 - 2022, белого цвета, страница 102, номер 423, Решение 3
Решение 4. №423 (с. 102)
Алгебра, 8 класс Учебник, авторы: Макарычев Юрий Николаевич, Миндюк Нора Григорьевна, Нешков Константин Иванович, Суворова Светлана Борисовна, издательство Просвещение, Москва, 2019 - 2022, белого цвета, страница 102, номер 423, Решение 4
Решение 5. №423 (с. 102)
Алгебра, 8 класс Учебник, авторы: Макарычев Юрий Николаевич, Миндюк Нора Григорьевна, Нешков Константин Иванович, Суворова Светлана Борисовна, издательство Просвещение, Москва, 2019 - 2022, белого цвета, страница 102, номер 423, Решение 5
Решение 6. №423 (с. 102)
Алгебра, 8 класс Учебник, авторы: Макарычев Юрий Николаевич, Миндюк Нора Григорьевна, Нешков Константин Иванович, Суворова Светлана Борисовна, издательство Просвещение, Москва, 2019 - 2022, белого цвета, страница 102, номер 423, Решение 6
Решение 7. №423 (с. 102)
Алгебра, 8 класс Учебник, авторы: Макарычев Юрий Николаевич, Миндюк Нора Григорьевна, Нешков Константин Иванович, Суворова Светлана Борисовна, издательство Просвещение, Москва, 2019 - 2022, белого цвета, страница 102, номер 423, Решение 7
Решение 8. №423 (с. 102)

а) Для выражения $(x+\sqrt{y})(x-\sqrt{y})$ применяется формула разности квадратов $(a+b)(a-b)=a^2-b^2$, где $a=x$ и $b=\sqrt{y}$.

$(x+\sqrt{y})(x-\sqrt{y}) = x^2 - (\sqrt{y})^2 = x^2 - y$.

Ответ: $x^2 - y$.

б) Для выражения $(\sqrt{a}-\sqrt{b})(\sqrt{a}+\sqrt{b})$ применяется формула разности квадратов $(a-b)(a+b)=a^2-b^2$, где $a=\sqrt{a}$ и $b=\sqrt{b}$.

$(\sqrt{a}-\sqrt{b})(\sqrt{a}+\sqrt{b}) = (\sqrt{a})^2 - (\sqrt{b})^2 = a - b$.

Ответ: $a-b$.

в) Для выражения $(\sqrt{11}-3)(\sqrt{11}+3)$ применяется формула разности квадратов $(a-b)(a+b)=a^2-b^2$, где $a=\sqrt{11}$ и $b=3$.

$(\sqrt{11}-3)(\sqrt{11}+3) = (\sqrt{11})^2 - 3^2 = 11 - 9 = 2$.

Ответ: $2$.

г) В выражении $(\sqrt{10}+\sqrt{7})(\sqrt{7}-\sqrt{10})$ можно поменять слагаемые в первой скобке местами: $(\sqrt{7}+\sqrt{10})(\sqrt{7}-\sqrt{10})$. Теперь можно применить формулу разности квадратов $(a+b)(a-b)=a^2-b^2$, где $a=\sqrt{7}$ и $b=\sqrt{10}$.

$(\sqrt{7}+\sqrt{10})(\sqrt{7}-\sqrt{10}) = (\sqrt{7})^2 - (\sqrt{10})^2 = 7 - 10 = -3$.

Ответ: $-3$.

д) Для выражения $(\sqrt{a}+\sqrt{b})^2$ применяется формула квадрата суммы $(a+b)^2 = a^2+2ab+b^2$, где $a=\sqrt{a}$ и $b=\sqrt{b}$.

$(\sqrt{a}+\sqrt{b})^2 = (\sqrt{a})^2 + 2\cdot\sqrt{a}\cdot\sqrt{b} + (\sqrt{b})^2 = a + 2\sqrt{ab} + b$.

Ответ: $a+2\sqrt{ab}+b$.

е) Для выражения $(\sqrt{m}-\sqrt{n})^2$ применяется формула квадрата разности $(a-b)^2 = a^2-2ab+b^2$, где $a=\sqrt{m}$ и $b=\sqrt{n}$.

$(\sqrt{m}-\sqrt{n})^2 = (\sqrt{m})^2 - 2\cdot\sqrt{m}\cdot\sqrt{n} + (\sqrt{n})^2 = m - 2\sqrt{mn} + n$.

Ответ: $m-2\sqrt{mn}+n$.

ж) Для выражения $(\sqrt{2}+3)^2$ применяется формула квадрата суммы $(a+b)^2 = a^2+2ab+b^2$, где $a=\sqrt{2}$ и $b=3$.

$(\sqrt{2}+3)^2 = (\sqrt{2})^2 + 2\cdot\sqrt{2}\cdot3 + 3^2 = 2 + 6\sqrt{2} + 9 = 11 + 6\sqrt{2}$.

Ответ: $11+6\sqrt{2}$.

з) Для выражения $(\sqrt{5}-\sqrt{2})^2$ применяется формула квадрата разности $(a-b)^2 = a^2-2ab+b^2$, где $a=\sqrt{5}$ и $b=\sqrt{2}$.

$(\sqrt{5}-\sqrt{2})^2 = (\sqrt{5})^2 - 2\cdot\sqrt{5}\cdot\sqrt{2} + (\sqrt{2})^2 = 5 - 2\sqrt{10} + 2 = 7 - 2\sqrt{10}$.

Ответ: $7-2\sqrt{10}$.

Помогло решение? Оставьте отзыв в комментариях ниже.

Присоединяйтесь к Телеграм-группе @top_gdz

Присоединиться

Мы подготовили для вас ответ c подробным объяснением домашего задания по алгебре за 8 класс, для упражнения номер 423 расположенного на странице 102 к учебнику 2019 - 2022 года издания для учащихся школ и гимназий.

Теперь на нашем сайте ГДЗ.ТОП вы всегда легко и бесплатно найдёте условие с правильным ответом на вопрос «Как решить ДЗ» и «Как сделать» задание по алгебре к упражнению №423 (с. 102), авторов: Макарычев (Юрий Николаевич), Миндюк (Нора Григорьевна), Нешков (Константин Иванович), Суворова (Светлана Борисовна), ФГОС (старый) учебного пособия издательства Просвещение.