Номер 425, страница 102 - гдз по алгебре 8 класс учебник Макарычев, Миндюк

Алгебра, 8 класс Учебник, авторы: Макарычев Юрий Николаевич, Миндюк Нора Григорьевна, Нешков Константин Иванович, Суворова Светлана Борисовна, издательство Просвещение, Москва, 2019 - 2022, белого цвета

Авторы: Макарычев Ю. Н., Миндюк Н. Г., Нешков К. И., Суворова С. Б.

Тип: Учебник

Издательство: Просвещение

Год издания: 2019 - 2022

Цвет обложки: белый, голубой, фиолетовый

ISBN: 978-5-09-087569-1

Допущено Министерством просвещения Российской Федерации

Популярные ГДЗ в 8 классе

Глава 2. Квадратные корни. Параграф 7. Применение свойств арифметического квадратного корня. 19. Преобразование выражений, содержащих квадратные корни - номер 425, страница 102.

№425 (с. 102)
Условие. №425 (с. 102)
скриншот условия
Алгебра, 8 класс Учебник, авторы: Макарычев Юрий Николаевич, Миндюк Нора Григорьевна, Нешков Константин Иванович, Суворова Светлана Борисовна, издательство Просвещение, Москва, 2019 - 2022, белого цвета, страница 102, номер 425, Условие

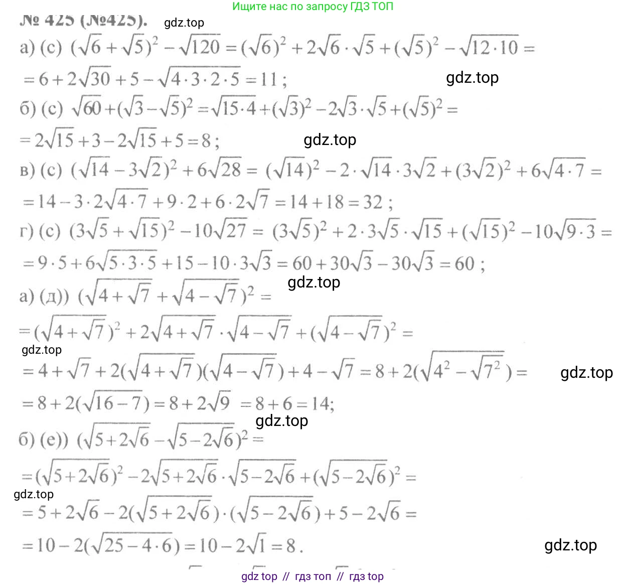
425. Выполните действия:

a) $(\sqrt{4+\sqrt{7}}+\sqrt{4-\sqrt{7}})^2;$

б) $(\sqrt{5+2\sqrt{6}}-\sqrt{5-2\sqrt{6}})^2.$

Решение 1. №425 (с. 102)
Алгебра, 8 класс Учебник, авторы: Макарычев Юрий Николаевич, Миндюк Нора Григорьевна, Нешков Константин Иванович, Суворова Светлана Борисовна, издательство Просвещение, Москва, 2019 - 2022, белого цвета, страница 102, номер 425, Решение 1
Алгебра, 8 класс Учебник, авторы: Макарычев Юрий Николаевич, Миндюк Нора Григорьевна, Нешков Константин Иванович, Суворова Светлана Борисовна, издательство Просвещение, Москва, 2019 - 2022, белого цвета, страница 102, номер 425, Решение 1 (продолжение 2)
Решение 2. №425 (с. 102)
Алгебра, 8 класс Учебник, авторы: Макарычев Юрий Николаевич, Миндюк Нора Григорьевна, Нешков Константин Иванович, Суворова Светлана Борисовна, издательство Просвещение, Москва, 2019 - 2022, белого цвета, страница 102, номер 425, Решение 2
Решение 3. №425 (с. 102)
Алгебра, 8 класс Учебник, авторы: Макарычев Юрий Николаевич, Миндюк Нора Григорьевна, Нешков Константин Иванович, Суворова Светлана Борисовна, издательство Просвещение, Москва, 2019 - 2022, белого цвета, страница 102, номер 425, Решение 3
Решение 4. №425 (с. 102)
Алгебра, 8 класс Учебник, авторы: Макарычев Юрий Николаевич, Миндюк Нора Григорьевна, Нешков Константин Иванович, Суворова Светлана Борисовна, издательство Просвещение, Москва, 2019 - 2022, белого цвета, страница 102, номер 425, Решение 4
Решение 5. №425 (с. 102)
Алгебра, 8 класс Учебник, авторы: Макарычев Юрий Николаевич, Миндюк Нора Григорьевна, Нешков Константин Иванович, Суворова Светлана Борисовна, издательство Просвещение, Москва, 2019 - 2022, белого цвета, страница 102, номер 425, Решение 5
Решение 6. №425 (с. 102)
Алгебра, 8 класс Учебник, авторы: Макарычев Юрий Николаевич, Миндюк Нора Григорьевна, Нешков Константин Иванович, Суворова Светлана Борисовна, издательство Просвещение, Москва, 2019 - 2022, белого цвета, страница 102, номер 425, Решение 6
Решение 7. №425 (с. 102)
Алгебра, 8 класс Учебник, авторы: Макарычев Юрий Николаевич, Миндюк Нора Григорьевна, Нешков Константин Иванович, Суворова Светлана Борисовна, издательство Просвещение, Москва, 2019 - 2022, белого цвета, страница 102, номер 425, Решение 7
Решение 8. №425 (с. 102)

а) Чтобы возвести выражение $(\sqrt{4+\sqrt{7}} + \sqrt{4-\sqrt{7}})^2$ в квадрат, воспользуемся формулой квадрата суммы: $(a+b)^2 = a^2 + 2ab + b^2$.
В нашем случае $a = \sqrt{4+\sqrt{7}}$ и $b = \sqrt{4-\sqrt{7}}$.
Найдем квадрат первого слагаемого:
$a^2 = (\sqrt{4+\sqrt{7}})^2 = 4+\sqrt{7}$.
Найдем квадрат второго слагаемого:
$b^2 = (\sqrt{4-\sqrt{7}})^2 = 4-\sqrt{7}$.
Найдем удвоенное произведение первого и второго слагаемых:
$2ab = 2 \cdot \sqrt{4+\sqrt{7}} \cdot \sqrt{4-\sqrt{7}} = 2\sqrt{(4+\sqrt{7})(4-\sqrt{7})}$.
Выражение под корнем является разностью квадратов: $(x+y)(x-y) = x^2-y^2$.
$2\sqrt{(4+\sqrt{7})(4-\sqrt{7})} = 2\sqrt{4^2 - (\sqrt{7})^2} = 2\sqrt{16-7} = 2\sqrt{9} = 2 \cdot 3 = 6$.
Теперь сложим полученные результаты:
$(\sqrt{4+\sqrt{7}} + \sqrt{4-\sqrt{7}})^2 = a^2 + b^2 + 2ab = (4+\sqrt{7}) + (4-\sqrt{7}) + 6 = 4+\sqrt{7}+4-\sqrt{7}+6 = 8+6=14$.
Ответ: 14.

б) Чтобы возвести выражение $(\sqrt{5+2\sqrt{6}} - \sqrt{5-2\sqrt{6}})^2$ в квадрат, воспользуемся формулой квадрата разности: $(a-b)^2 = a^2 - 2ab + b^2$.
В нашем случае $a = \sqrt{5+2\sqrt{6}}$ и $b = \sqrt{5-2\sqrt{6}}$.
Найдем квадрат первого члена:
$a^2 = (\sqrt{5+2\sqrt{6}})^2 = 5+2\sqrt{6}$.
Найдем квадрат второго члена:
$b^2 = (\sqrt{5-2\sqrt{6}})^2 = 5-2\sqrt{6}$.
Найдем удвоенное произведение первого и второго членов:
$2ab = 2 \cdot \sqrt{5+2\sqrt{6}} \cdot \sqrt{5-2\sqrt{6}} = 2\sqrt{(5+2\sqrt{6})(5-2\sqrt{6})}$.
Выражение под корнем является разностью квадратов: $(x+y)(x-y) = x^2-y^2$.
$2\sqrt{(5+2\sqrt{6})(5-2\sqrt{6})} = 2\sqrt{5^2 - (2\sqrt{6})^2} = 2\sqrt{25 - 4 \cdot 6} = 2\sqrt{25-24} = 2\sqrt{1} = 2$.
Теперь подставим полученные результаты в формулу квадрата разности:
$(\sqrt{5+2\sqrt{6}} - \sqrt{5-2\sqrt{6}})^2 = a^2 + b^2 - 2ab = (5+2\sqrt{6}) + (5-2\sqrt{6}) - 2 = 5+2\sqrt{6}+5-2\sqrt{6}-2 = 10-2=8$.
Ответ: 8.

Помогло решение? Оставьте отзыв в комментариях ниже.

Присоединяйтесь к Телеграм-группе @top_gdz

Присоединиться

Мы подготовили для вас ответ c подробным объяснением домашего задания по алгебре за 8 класс, для упражнения номер 425 расположенного на странице 102 к учебнику 2019 - 2022 года издания для учащихся школ и гимназий.

Теперь на нашем сайте ГДЗ.ТОП вы всегда легко и бесплатно найдёте условие с правильным ответом на вопрос «Как решить ДЗ» и «Как сделать» задание по алгебре к упражнению №425 (с. 102), авторов: Макарычев (Юрий Николаевич), Миндюк (Нора Григорьевна), Нешков (Константин Иванович), Суворова (Светлана Борисовна), ФГОС (старый) учебного пособия издательства Просвещение.