Номер 490, страница 113 - гдз по алгебре 8 класс учебник Макарычев, Миндюк

Алгебра, 8 класс Учебник, авторы: Макарычев Юрий Николаевич, Миндюк Нора Григорьевна, Нешков Константин Иванович, Суворова Светлана Борисовна, издательство Просвещение, Москва, 2019 - 2022, белого цвета

Авторы: Макарычев Ю. Н., Миндюк Н. Г., Нешков К. И., Суворова С. Б.

Тип: Учебник

Издательство: Просвещение

Год издания: 2019 - 2022

Цвет обложки: белый, голубой, фиолетовый

ISBN: 978-5-09-087569-1

Допущено Министерством просвещения Российской Федерации

Популярные ГДЗ в 8 классе

Глава 2. Квадратные корни. Дополнительные упражнения к главе II. К параграфу 7 - номер 490, страница 113.

№490 (с. 113)
Условие. №490 (с. 113)
скриншот условия
Алгебра, 8 класс Учебник, авторы: Макарычев Юрий Николаевич, Миндюк Нора Григорьевна, Нешков Константин Иванович, Суворова Светлана Борисовна, издательство Просвещение, Москва, 2019 - 2022, белого цвета, страница 113, номер 490, Условие

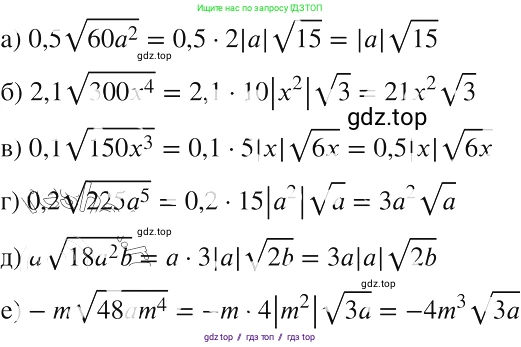
490. Вынесите множитель за знак корня:

а) $0,5\sqrt{60a^2}$;

б) $2,1\sqrt{300x^4}$;

в) $0,1\sqrt{150x^3}$;

г) $0,2\sqrt{225a^5}$;

д) $a\sqrt{18a^2b}$;

е) $-m\sqrt{48am^4}$.

Решение 1. №490 (с. 113)
Алгебра, 8 класс Учебник, авторы: Макарычев Юрий Николаевич, Миндюк Нора Григорьевна, Нешков Константин Иванович, Суворова Светлана Борисовна, издательство Просвещение, Москва, 2019 - 2022, белого цвета, страница 113, номер 490, Решение 1
Алгебра, 8 класс Учебник, авторы: Макарычев Юрий Николаевич, Миндюк Нора Григорьевна, Нешков Константин Иванович, Суворова Светлана Борисовна, издательство Просвещение, Москва, 2019 - 2022, белого цвета, страница 113, номер 490, Решение 1 (продолжение 2)
Решение 2. №490 (с. 113)
Алгебра, 8 класс Учебник, авторы: Макарычев Юрий Николаевич, Миндюк Нора Григорьевна, Нешков Константин Иванович, Суворова Светлана Борисовна, издательство Просвещение, Москва, 2019 - 2022, белого цвета, страница 113, номер 490, Решение 2
Решение 3. №490 (с. 113)
Алгебра, 8 класс Учебник, авторы: Макарычев Юрий Николаевич, Миндюк Нора Григорьевна, Нешков Константин Иванович, Суворова Светлана Борисовна, издательство Просвещение, Москва, 2019 - 2022, белого цвета, страница 113, номер 490, Решение 3
Решение 4. №490 (с. 113)
Алгебра, 8 класс Учебник, авторы: Макарычев Юрий Николаевич, Миндюк Нора Григорьевна, Нешков Константин Иванович, Суворова Светлана Борисовна, издательство Просвещение, Москва, 2019 - 2022, белого цвета, страница 113, номер 490, Решение 4
Решение 6. №490 (с. 113)
Алгебра, 8 класс Учебник, авторы: Макарычев Юрий Николаевич, Миндюк Нора Григорьевна, Нешков Константин Иванович, Суворова Светлана Борисовна, издательство Просвещение, Москва, 2019 - 2022, белого цвета, страница 113, номер 490, Решение 6
Решение 7. №490 (с. 113)
Алгебра, 8 класс Учебник, авторы: Макарычев Юрий Николаевич, Миндюк Нора Григорьевна, Нешков Константин Иванович, Суворова Светлана Борисовна, издательство Просвещение, Москва, 2019 - 2022, белого цвета, страница 113, номер 490, Решение 7
Решение 8. №490 (с. 113)

а)

Рассмотрим выражение $0,5\sqrt{60a^2}$.

Разложим подкоренное выражение $60a^2$ на множители, выделив полные квадраты: $60a^2 = 4 \cdot 15 \cdot a^2 = (2^2 \cdot a^2) \cdot 15$.

Вынесем множители из-под знака корня, используя правило $\sqrt{k^2}=|k|$: $0,5\sqrt{4 \cdot a^2 \cdot 15} = 0,5 \cdot \sqrt{4} \cdot \sqrt{a^2} \cdot \sqrt{15} = 0,5 \cdot 2 \cdot |a| \cdot \sqrt{15} = |a|\sqrt{15}$.

Ответ: $|a|\sqrt{15}$.

б)

Рассмотрим выражение $2,1\sqrt{300x^4}$.

Разложим подкоренное выражение $300x^4$ на множители: $300x^4 = 100 \cdot 3 \cdot x^4 = (10^2 \cdot (x^2)^2) \cdot 3$.

Вынесем множители из-под знака корня: $2,1\sqrt{100 \cdot x^4 \cdot 3} = 2,1 \cdot \sqrt{100} \cdot \sqrt{x^4} \cdot \sqrt{3}$.

Так как $\sqrt{100}=10$ и $\sqrt{x^4}=\sqrt{(x^2)^2}=x^2$ (модуль не нужен, так как $x^2$ всегда неотрицательно), получаем: $2,1 \cdot 10 \cdot x^2 \cdot \sqrt{3} = 21x^2\sqrt{3}$.

Ответ: $21x^2\sqrt{3}$.

в)

Рассмотрим выражение $0,1\sqrt{150x^3}$. Чтобы корень имел смысл, подкоренное выражение должно быть неотрицательным: $150x^3 \ge 0$, что выполняется при $x \ge 0$.

Разложим подкоренное выражение на множители: $150x^3 = 25 \cdot 6 \cdot x^2 \cdot x = (5^2 \cdot x^2) \cdot 6x$.

Вынесем множители за знак корня: $0,1\sqrt{25 \cdot x^2 \cdot 6x} = 0,1 \cdot \sqrt{25} \cdot \sqrt{x^2} \cdot \sqrt{6x}$.

Учитывая, что $\sqrt{25}=5$ и $\sqrt{x^2}=x$ (поскольку мы установили, что $x \ge 0$), получаем: $0,1 \cdot 5 \cdot x \cdot \sqrt{6x} = 0,5x\sqrt{6x}$.

Ответ: $0,5x\sqrt{6x}$.

г)

Рассмотрим выражение $0,2\sqrt{225a^5}$. Корень определен при $a^5 \ge 0$, то есть при $a \ge 0$.

Разложим подкоренное выражение на множители: $225a^5 = 225 \cdot a^4 \cdot a = (15^2 \cdot (a^2)^2) \cdot a$.

Вынесем множители за знак корня: $0,2\sqrt{225 \cdot a^4 \cdot a} = 0,2 \cdot \sqrt{225} \cdot \sqrt{a^4} \cdot \sqrt{a}$.

Так как $\sqrt{225}=15$ и $\sqrt{a^4}=a^2$, получаем: $0,2 \cdot 15 \cdot a^2 \cdot \sqrt{a} = 3a^2\sqrt{a}$.

Ответ: $3a^2\sqrt{a}$.

д)

Рассмотрим выражение $a\sqrt{18a^2b}$. Для того чтобы корень имел смысл, подкоренное выражение $18a^2b$ должно быть неотрицательным. Поскольку $18>0$ и $a^2 \ge 0$ для любого $a$, это означает, что должно выполняться условие $b \ge 0$.

Разложим подкоренное выражение на множители, являющиеся полными квадратами: $18a^2b = 9 \cdot 2 \cdot a^2 \cdot b = (3^2 \cdot a^2) \cdot 2b$.

Теперь вынесем множители за знак корня. Важно помнить, что $\sqrt{k^2} = |k|$. $a\sqrt{9 \cdot a^2 \cdot 2b} = a \cdot \sqrt{9} \cdot \sqrt{a^2} \cdot \sqrt{2b} = a \cdot 3 \cdot |a| \cdot \sqrt{2b} = 3a|a|\sqrt{2b}$.

Полученное выражение является окончательным. Его можно также расписать для двух случаев: если $a \ge 0$, то $|a|=a$ и результат равен $3a^2\sqrt{2b}$; если $a < 0$, то $|a|=-a$ и результат равен $-3a^2\sqrt{2b}$.

Ответ: $3a|a|\sqrt{2b}$.

е)

Рассмотрим выражение $-m\sqrt{48am^4}$. Корень определен при $48am^4 \ge 0$. Так как $48>0$ и $m^4 \ge 0$, необходимо, чтобы $a \ge 0$.

Разложим подкоренное выражение на множители: $48am^4 = 16 \cdot 3 \cdot a \cdot m^4 = (4^2 \cdot (m^2)^2) \cdot 3a$.

Вынесем множители за знак корня: $-m\sqrt{16 \cdot m^4 \cdot 3a} = -m \cdot \sqrt{16} \cdot \sqrt{m^4} \cdot \sqrt{3a}$.

Так как $\sqrt{16}=4$ и $\sqrt{m^4}=m^2$, получаем: $-m \cdot 4 \cdot m^2 \cdot \sqrt{3a} = -4m^3\sqrt{3a}$.

Ответ: $-4m^3\sqrt{3a}$.

Помогло решение? Оставьте отзыв в комментариях ниже.

Присоединяйтесь к Телеграм-группе @top_gdz

Присоединиться

Мы подготовили для вас ответ c подробным объяснением домашего задания по алгебре за 8 класс, для упражнения номер 490 расположенного на странице 113 к учебнику 2019 - 2022 года издания для учащихся школ и гимназий.

Теперь на нашем сайте ГДЗ.ТОП вы всегда легко и бесплатно найдёте условие с правильным ответом на вопрос «Как решить ДЗ» и «Как сделать» задание по алгебре к упражнению №490 (с. 113), авторов: Макарычев (Юрий Николаевич), Миндюк (Нора Григорьевна), Нешков (Константин Иванович), Суворова (Светлана Борисовна), ФГОС (старый) учебного пособия издательства Просвещение.