Номер 493, страница 114 - гдз по алгебре 8 класс учебник Макарычев, Миндюк

Алгебра, 8 класс Учебник, авторы: Макарычев Юрий Николаевич, Миндюк Нора Григорьевна, Нешков Константин Иванович, Суворова Светлана Борисовна, издательство Просвещение, Москва, 2019 - 2022, белого цвета

Авторы: Макарычев Ю. Н., Миндюк Н. Г., Нешков К. И., Суворова С. Б.

Тип: Учебник

Издательство: Просвещение

Год издания: 2019 - 2022

Цвет обложки: белый, голубой, фиолетовый

ISBN: 978-5-09-087569-1

Допущено Министерством просвещения Российской Федерации

Популярные ГДЗ в 8 классе

Глава 2. Квадратные корни. Дополнительные упражнения к главе II. К параграфу 7 - номер 493, страница 114.

№493 (с. 114)
Условие. №493 (с. 114)
скриншот условия
Алгебра, 8 класс Учебник, авторы: Макарычев Юрий Николаевич, Миндюк Нора Григорьевна, Нешков Константин Иванович, Суворова Светлана Борисовна, издательство Просвещение, Москва, 2019 - 2022, белого цвета, страница 114, номер 493, Условие

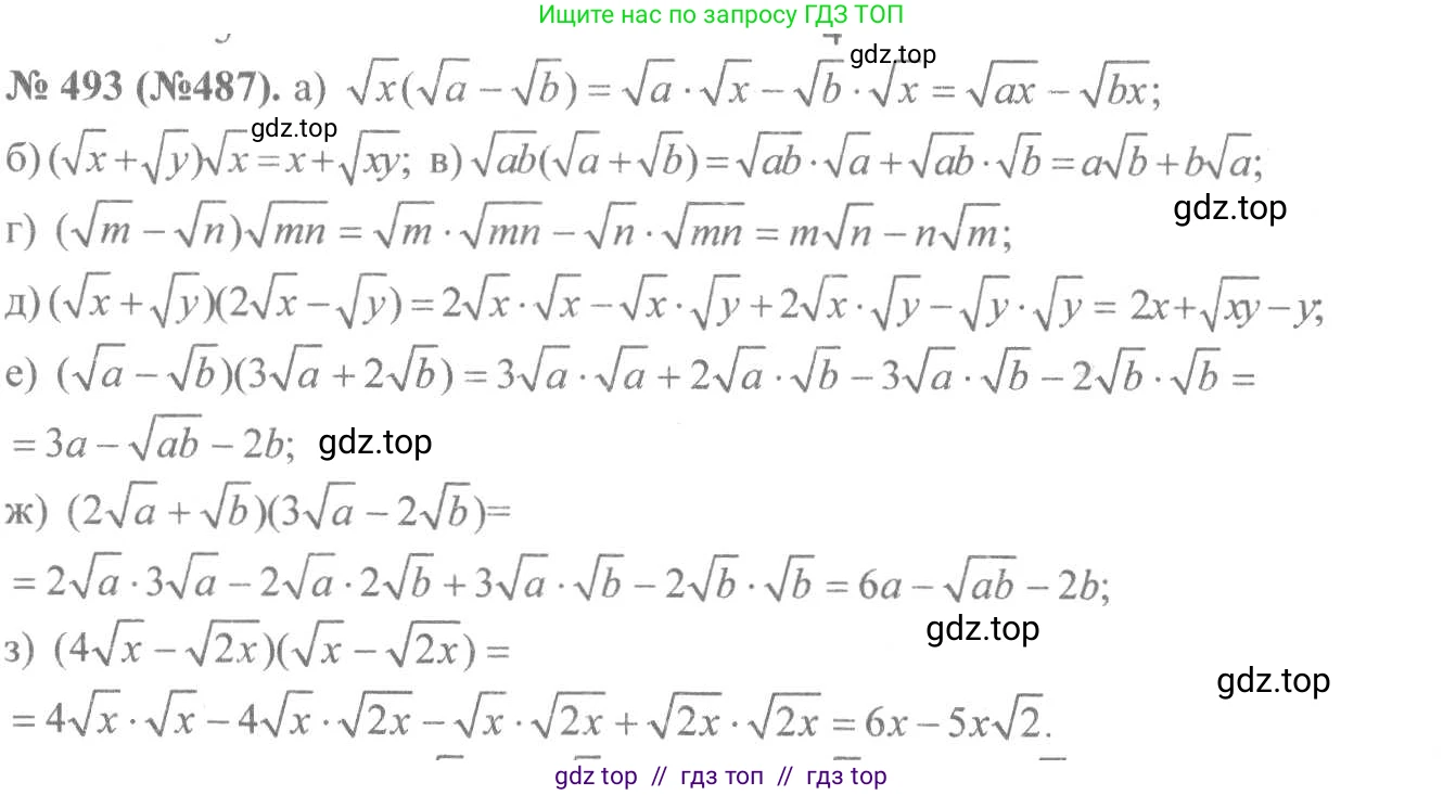
493. Выполните умножение:

a) $\sqrt{x}(\sqrt{a}-\sqrt{b});$

б) $(\sqrt{x}+\sqrt{y})\sqrt{x};$

в) $\sqrt{ab}(\sqrt{a}+\sqrt{b});$

г) $(\sqrt{m}-\sqrt{n})\sqrt{mn};$

д) $(\sqrt{x}+\sqrt{y})(2\sqrt{x}-\sqrt{y});$

е) $(\sqrt{a}-\sqrt{b})(3\sqrt{a}+2\sqrt{b});$

ж) $(2\sqrt{a}+\sqrt{b})(3\sqrt{a}-2\sqrt{b});$

з) $(4\sqrt{x}-\sqrt{2x})(\sqrt{x}-\sqrt{2x}).$

Решение 1. №493 (с. 114)
Алгебра, 8 класс Учебник, авторы: Макарычев Юрий Николаевич, Миндюк Нора Григорьевна, Нешков Константин Иванович, Суворова Светлана Борисовна, издательство Просвещение, Москва, 2019 - 2022, белого цвета, страница 114, номер 493, Решение 1
Алгебра, 8 класс Учебник, авторы: Макарычев Юрий Николаевич, Миндюк Нора Григорьевна, Нешков Константин Иванович, Суворова Светлана Борисовна, издательство Просвещение, Москва, 2019 - 2022, белого цвета, страница 114, номер 493, Решение 1 (продолжение 2)
Решение 2. №493 (с. 114)
Алгебра, 8 класс Учебник, авторы: Макарычев Юрий Николаевич, Миндюк Нора Григорьевна, Нешков Константин Иванович, Суворова Светлана Борисовна, издательство Просвещение, Москва, 2019 - 2022, белого цвета, страница 114, номер 493, Решение 2
Решение 3. №493 (с. 114)
Алгебра, 8 класс Учебник, авторы: Макарычев Юрий Николаевич, Миндюк Нора Григорьевна, Нешков Константин Иванович, Суворова Светлана Борисовна, издательство Просвещение, Москва, 2019 - 2022, белого цвета, страница 114, номер 493, Решение 3
Решение 4. №493 (с. 114)
Алгебра, 8 класс Учебник, авторы: Макарычев Юрий Николаевич, Миндюк Нора Григорьевна, Нешков Константин Иванович, Суворова Светлана Борисовна, издательство Просвещение, Москва, 2019 - 2022, белого цвета, страница 114, номер 493, Решение 4
Решение 6. №493 (с. 114)
Алгебра, 8 класс Учебник, авторы: Макарычев Юрий Николаевич, Миндюк Нора Григорьевна, Нешков Константин Иванович, Суворова Светлана Борисовна, издательство Просвещение, Москва, 2019 - 2022, белого цвета, страница 114, номер 493, Решение 6 Алгебра, 8 класс Учебник, авторы: Макарычев Юрий Николаевич, Миндюк Нора Григорьевна, Нешков Константин Иванович, Суворова Светлана Борисовна, издательство Просвещение, Москва, 2019 - 2022, белого цвета, страница 114, номер 493, Решение 6 (продолжение 2)
Решение 7. №493 (с. 114)
Алгебра, 8 класс Учебник, авторы: Макарычев Юрий Николаевич, Миндюк Нора Григорьевна, Нешков Константин Иванович, Суворова Светлана Борисовна, издательство Просвещение, Москва, 2019 - 2022, белого цвета, страница 114, номер 493, Решение 7
Решение 8. №493 (с. 114)

а) Раскроем скобки, используя распределительное свойство умножения $c(a-b)=ca-cb$.

$\sqrt{x}(\sqrt{a} - \sqrt{b}) = \sqrt{x} \cdot \sqrt{a} - \sqrt{x} \cdot \sqrt{b}$

По свойству $\sqrt{m} \cdot \sqrt{n} = \sqrt{mn}$ получаем:

$\sqrt{xa} - \sqrt{xb} = \sqrt{ax} - \sqrt{bx}$

Ответ: $\sqrt{ax} - \sqrt{bx}$

б) Раскроем скобки, используя распределительное свойство умножения $(a+b)c=ac+bc$.

$(\sqrt{x} + \sqrt{y})\sqrt{x} = \sqrt{x} \cdot \sqrt{x} + \sqrt{y} \cdot \sqrt{x}$

Используя свойства $\sqrt{m} \cdot \sqrt{m} = m$ и $\sqrt{m} \cdot \sqrt{n} = \sqrt{mn}$, получаем:

$x + \sqrt{yx} = x + \sqrt{xy}$

Ответ: $x + \sqrt{xy}$

в) Раскроем скобки по распределительному свойству.

$\sqrt{ab}(\sqrt{a} + \sqrt{b}) = \sqrt{ab} \cdot \sqrt{a} + \sqrt{ab} \cdot \sqrt{b} = \sqrt{a^2b} + \sqrt{ab^2}$

Вынесем множители из-под знака корня, используя свойство $\sqrt{m^2n} = m\sqrt{n}$ (при $m \ge 0$):

$a\sqrt{b} + b\sqrt{a}$

Ответ: $a\sqrt{b} + b\sqrt{a}$

г) Раскроем скобки по распределительному свойству.

$(\sqrt{m} - \sqrt{n})\sqrt{mn} = \sqrt{m} \cdot \sqrt{mn} - \sqrt{n} \cdot \sqrt{mn} = \sqrt{m^2n} - \sqrt{mn^2}$

Вынесем множители из-под знака корня:

$m\sqrt{n} - n\sqrt{m}$

Ответ: $m\sqrt{n} - n\sqrt{m}$

д) Перемножим скобки по правилу умножения многочленов $(a+b)(c-d) = ac - ad + bc - bd$.

$(\sqrt{x} + \sqrt{y})(2\sqrt{x} - \sqrt{y}) = \sqrt{x} \cdot 2\sqrt{x} - \sqrt{x} \cdot \sqrt{y} + \sqrt{y} \cdot 2\sqrt{x} - \sqrt{y} \cdot \sqrt{y}$

Упростим, помня что $(\sqrt{k})^2 = k$:

$2x - \sqrt{xy} + 2\sqrt{xy} - y$

Приведем подобные слагаемые:

$2x + \sqrt{xy} - y$

Ответ: $2x + \sqrt{xy} - y$

е) Перемножим скобки по правилу умножения многочленов.

$(\sqrt{a} - \sqrt{b})(3\sqrt{a} + 2\sqrt{b}) = \sqrt{a} \cdot 3\sqrt{a} + \sqrt{a} \cdot 2\sqrt{b} - \sqrt{b} \cdot 3\sqrt{a} - \sqrt{b} \cdot 2\sqrt{b}$

Упростим выражение:

$3a + 2\sqrt{ab} - 3\sqrt{ab} - 2b$

Приведем подобные слагаемые:

$3a - \sqrt{ab} - 2b$

Ответ: $3a - \sqrt{ab} - 2b$

ж) Перемножим скобки по правилу умножения многочленов.

$(2\sqrt{a} + \sqrt{b})(3\sqrt{a} - 2\sqrt{b}) = 2\sqrt{a} \cdot 3\sqrt{a} - 2\sqrt{a} \cdot 2\sqrt{b} + \sqrt{b} \cdot 3\sqrt{a} - \sqrt{b} \cdot 2\sqrt{b}$

Упростим выражение:

$6a - 4\sqrt{ab} + 3\sqrt{ab} - 2b$

Приведем подобные слагаемые:

$6a - \sqrt{ab} - 2b$

Ответ: $6a - \sqrt{ab} - 2b$

з) Перемножим скобки по правилу умножения многочленов.

$(4\sqrt{x} - \sqrt{2x})(\sqrt{x} - \sqrt{2x}) = 4\sqrt{x} \cdot \sqrt{x} - 4\sqrt{x} \cdot \sqrt{2x} - \sqrt{2x} \cdot \sqrt{x} + \sqrt{2x} \cdot \sqrt{2x}$

Упростим, используя свойства корней $\sqrt{m}\sqrt{n} = \sqrt{mn}$ и $(\sqrt{k})^2 = k$:

$4x - 4\sqrt{2x^2} - \sqrt{2x^2} + 2x$

Вынесем $x$ из-под знака корня, так как из условия $x \ge 0$, и $\sqrt{x^2} = x$:

$4x - 4x\sqrt{2} - x\sqrt{2} + 2x$

Приведем подобные слагаемые:

$(4x + 2x) - (4x\sqrt{2} + x\sqrt{2}) = 6x - 5x\sqrt{2}$

Ответ: $6x - 5x\sqrt{2}$

Помогло решение? Оставьте отзыв в комментариях ниже.

Присоединяйтесь к Телеграм-группе @top_gdz

Присоединиться

Мы подготовили для вас ответ c подробным объяснением домашего задания по алгебре за 8 класс, для упражнения номер 493 расположенного на странице 114 к учебнику 2019 - 2022 года издания для учащихся школ и гимназий.

Теперь на нашем сайте ГДЗ.ТОП вы всегда легко и бесплатно найдёте условие с правильным ответом на вопрос «Как решить ДЗ» и «Как сделать» задание по алгебре к упражнению №493 (с. 114), авторов: Макарычев (Юрий Николаевич), Миндюк (Нора Григорьевна), Нешков (Константин Иванович), Суворова (Светлана Борисовна), ФГОС (старый) учебного пособия издательства Просвещение.