Номер 690, страница 155 - гдз по алгебре 8 класс учебник Макарычев, Миндюк

Алгебра, 8 класс Учебник, авторы: Макарычев Юрий Николаевич, Миндюк Нора Григорьевна, Нешков Константин Иванович, Суворова Светлана Борисовна, издательство Просвещение, Москва, 2019 - 2022, белого цвета

Авторы: Макарычев Ю. Н., Миндюк Н. Г., Нешков К. И., Суворова С. Б.

Тип: Учебник

Издательство: Просвещение

Год издания: 2019 - 2022

Цвет обложки: белый, голубой, фиолетовый

ISBN: 978-5-09-087569-1

Допущено Министерством просвещения Российской Федерации

Популярные ГДЗ в 8 классе

Глава 3. Квадратные уравнения. Дополнительные упражнения к главе III. К параграфу 9 - номер 690, страница 155.

№690 (с. 155)
Условие. №690 (с. 155)
скриншот условия
Алгебра, 8 класс Учебник, авторы: Макарычев Юрий Николаевич, Миндюк Нора Григорьевна, Нешков Константин Иванович, Суворова Светлана Борисовна, издательство Просвещение, Москва, 2019 - 2022, белого цвета, страница 155, номер 690, Условие

690. Решите уравнение:

а) $\frac{x+1}{6} + \frac{20}{x-1} = 4;$

б) $\frac{x+15}{4} - \frac{21}{x+2} = 2;$

в) $\frac{12}{x-1} - \frac{8}{x+1} = 1;$

г) $\frac{16}{x-3} + \frac{30}{1-x} = 3;$

д) $\frac{3}{1-x} + \frac{1}{1+x} = \frac{28}{1-x^2};$

е) $\frac{5}{x-2} - \frac{3}{x+2} = \frac{20}{x^2-4};$

ж) $\frac{x+2}{x+1} + \frac{x+3}{x-2} = \frac{29}{(x+1)(x-2)};$

з) $\frac{x+2}{x+3} + \frac{x+1}{x-1} = \frac{4}{(x+3)(x-1)}.$

Решение 1. №690 (с. 155)
Алгебра, 8 класс Учебник, авторы: Макарычев Юрий Николаевич, Миндюк Нора Григорьевна, Нешков Константин Иванович, Суворова Светлана Борисовна, издательство Просвещение, Москва, 2019 - 2022, белого цвета, страница 155, номер 690, Решение 1
Алгебра, 8 класс Учебник, авторы: Макарычев Юрий Николаевич, Миндюк Нора Григорьевна, Нешков Константин Иванович, Суворова Светлана Борисовна, издательство Просвещение, Москва, 2019 - 2022, белого цвета, страница 155, номер 690, Решение 1 (продолжение 2)
Решение 2. №690 (с. 155)
Алгебра, 8 класс Учебник, авторы: Макарычев Юрий Николаевич, Миндюк Нора Григорьевна, Нешков Константин Иванович, Суворова Светлана Борисовна, издательство Просвещение, Москва, 2019 - 2022, белого цвета, страница 155, номер 690, Решение 2
Алгебра, 8 класс Учебник, авторы: Макарычев Юрий Николаевич, Миндюк Нора Григорьевна, Нешков Константин Иванович, Суворова Светлана Борисовна, издательство Просвещение, Москва, 2019 - 2022, белого цвета, страница 155, номер 690, Решение 2 (продолжение 2)
Решение 3. №690 (с. 155)
Алгебра, 8 класс Учебник, авторы: Макарычев Юрий Николаевич, Миндюк Нора Григорьевна, Нешков Константин Иванович, Суворова Светлана Борисовна, издательство Просвещение, Москва, 2019 - 2022, белого цвета, страница 155, номер 690, Решение 3
Решение 4. №690 (с. 155)
Алгебра, 8 класс Учебник, авторы: Макарычев Юрий Николаевич, Миндюк Нора Григорьевна, Нешков Константин Иванович, Суворова Светлана Борисовна, издательство Просвещение, Москва, 2019 - 2022, белого цвета, страница 155, номер 690, Решение 4
Решение 6. №690 (с. 155)
Алгебра, 8 класс Учебник, авторы: Макарычев Юрий Николаевич, Миндюк Нора Григорьевна, Нешков Константин Иванович, Суворова Светлана Борисовна, издательство Просвещение, Москва, 2019 - 2022, белого цвета, страница 155, номер 690, Решение 6 Алгебра, 8 класс Учебник, авторы: Макарычев Юрий Николаевич, Миндюк Нора Григорьевна, Нешков Константин Иванович, Суворова Светлана Борисовна, издательство Просвещение, Москва, 2019 - 2022, белого цвета, страница 155, номер 690, Решение 6 (продолжение 2)
Решение 7. №690 (с. 155)
Алгебра, 8 класс Учебник, авторы: Макарычев Юрий Николаевич, Миндюк Нора Григорьевна, Нешков Константин Иванович, Суворова Светлана Борисовна, издательство Просвещение, Москва, 2019 - 2022, белого цвета, страница 155, номер 690, Решение 7
Решение 8. №690 (с. 155)

а) $\frac{x+1}{6} + \frac{20}{x-1} = 4$

Область допустимых значений (ОДЗ): $x-1 \ne 0$, то есть $x \ne 1$.
Умножим обе части уравнения на общий знаменатель $6(x-1)$, чтобы избавиться от дробей, учитывая ОДЗ:
$(x+1)(x-1) + 20 \cdot 6 = 4 \cdot 6(x-1)$
$x^2 - 1 + 120 = 24(x-1)$
$x^2 + 119 = 24x - 24$
Перенесем все члены в левую часть:
$x^2 - 24x + 119 + 24 = 0$
$x^2 - 24x + 143 = 0$
Решим полученное квадратное уравнение с помощью дискриминанта:
$D = b^2 - 4ac = (-24)^2 - 4 \cdot 1 \cdot 143 = 576 - 572 = 4$.
$x_1 = \frac{-b + \sqrt{D}}{2a} = \frac{24 + 2}{2} = \frac{26}{2} = 13$.
$x_2 = \frac{-b - \sqrt{D}}{2a} = \frac{24 - 2}{2} = \frac{22}{2} = 11$.
Оба корня ($11$ и $13$) удовлетворяют ОДЗ ($x \ne 1$).
Ответ: $11; 13$.

б) $\frac{x+15}{4} - \frac{21}{x+2} = 2$

ОДЗ: $x+2 \ne 0$, то есть $x \ne -2$.
Умножим обе части уравнения на общий знаменатель $4(x+2)$:
$(x+15)(x+2) - 21 \cdot 4 = 2 \cdot 4(x+2)$
$x^2 + 2x + 15x + 30 - 84 = 8(x+2)$
$x^2 + 17x - 54 = 8x + 16$
$x^2 + 17x - 8x - 54 - 16 = 0$
$x^2 + 9x - 70 = 0$
Решим по теореме Виета: $x_1 + x_2 = -9$ и $x_1 \cdot x_2 = -70$. Корни: $x_1 = 5$ и $x_2 = -14$.
Либо через дискриминант: $D = 9^2 - 4 \cdot 1 \cdot (-70) = 81 + 280 = 361 = 19^2$.
$x_1 = \frac{-9 + 19}{2} = \frac{10}{2} = 5$.
$x_2 = \frac{-9 - 19}{2} = \frac{-28}{2} = -14$.
Оба корня ($5$ и $-14$) удовлетворяют ОДЗ ($x \ne -2$).
Ответ: $-14; 5$.

в) $\frac{12}{x-1} - \frac{8}{x+1} = 1$

ОДЗ: $x-1 \ne 0$ и $x+1 \ne 0$, то есть $x \ne 1$ и $x \ne -1$.
Умножим обе части уравнения на общий знаменатель $(x-1)(x+1)$:
$12(x+1) - 8(x-1) = 1 \cdot (x-1)(x+1)$
$12x + 12 - 8x + 8 = x^2 - 1$
$4x + 20 = x^2 - 1$
$x^2 - 4x - 21 = 0$
Решим по теореме Виета: $x_1 + x_2 = 4$ и $x_1 \cdot x_2 = -21$. Корни: $x_1 = 7$ и $x_2 = -3$.
Либо через дискриминант: $D = (-4)^2 - 4 \cdot 1 \cdot (-21) = 16 + 84 = 100 = 10^2$.
$x_1 = \frac{4 + 10}{2} = \frac{14}{2} = 7$.
$x_2 = \frac{4 - 10}{2} = \frac{-6}{2} = -3$.
Оба корня ($7$ и $-3$) удовлетворяют ОДЗ.
Ответ: $-3; 7$.

г) $\frac{16}{x-3} + \frac{30}{1-x} = 3$

ОДЗ: $x-3 \ne 0$ и $1-x \ne 0$, то есть $x \ne 3$ и $x \ne 1$.
Умножим обе части уравнения на общий знаменатель $(x-3)(1-x)$:
$16(1-x) + 30(x-3) = 3(x-3)(1-x)$
$16 - 16x + 30x - 90 = 3(x - x^2 - 3 + 3x)$
$14x - 74 = 3(-x^2 + 4x - 3)$
$14x - 74 = -3x^2 + 12x - 9$
$3x^2 + 14x - 12x - 74 + 9 = 0$
$3x^2 + 2x - 65 = 0$
Решим через дискриминант: $D = 2^2 - 4 \cdot 3 \cdot (-65) = 4 + 780 = 784 = 28^2$.
$x_1 = \frac{-2 + 28}{2 \cdot 3} = \frac{26}{6} = \frac{13}{3}$.
$x_2 = \frac{-2 - 28}{2 \cdot 3} = \frac{-30}{6} = -5$.
Оба корня ($-5$ и $\frac{13}{3}$) удовлетворяют ОДЗ.
Ответ: $-5; \frac{13}{3}$.

д) $\frac{3}{1-x} + \frac{1}{1+x} = \frac{28}{1-x^2}$

ОДЗ: $1-x \ne 0$ и $1+x \ne 0$, то есть $x \ne 1$ и $x \ne -1$. Заметим, что $1-x^2 = (1-x)(1+x)$.
Умножим обе части уравнения на общий знаменатель $1-x^2$:
$3(1+x) + 1(1-x) = 28$
$3 + 3x + 1 - x = 28$
$2x + 4 = 28$
$2x = 24$
$x = 12$.
Корень $x=12$ удовлетворяет ОДЗ.
Ответ: $12$.

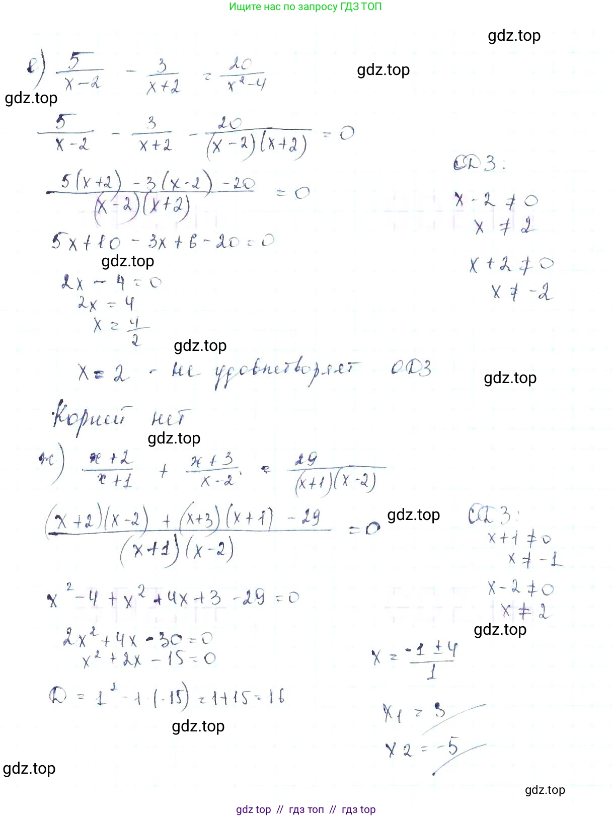
е) $\frac{5}{x-2} - \frac{3}{x+2} = \frac{20}{x^2-4}$

ОДЗ: $x-2 \ne 0$ и $x+2 \ne 0$, то есть $x \ne 2$ и $x \ne -2$. Заметим, что $x^2-4 = (x-2)(x+2)$.
Умножим обе части уравнения на общий знаменатель $x^2-4$:
$5(x+2) - 3(x-2) = 20$
$5x + 10 - 3x + 6 = 20$
$2x + 16 = 20$
$2x = 4$
$x = 2$.
Полученный корень $x=2$ не удовлетворяет ОДЗ, так как при $x=2$ знаменатели дробей $\frac{5}{x-2}$ и $\frac{20}{x^2-4}$ обращаются в ноль. Следовательно, это посторонний корень.
Ответ: нет корней.

ж) $\frac{x+2}{x+1} + \frac{x+3}{x-2} = \frac{29}{(x+1)(x-2)}$

ОДЗ: $x+1 \ne 0$ и $x-2 \ne 0$, то есть $x \ne -1$ и $x \ne 2$.
Умножим обе части уравнения на общий знаменатель $(x+1)(x-2)$:
$(x+2)(x-2) + (x+3)(x+1) = 29$
$(x^2 - 4) + (x^2 + x + 3x + 3) = 29$
$x^2 - 4 + x^2 + 4x + 3 = 29$
$2x^2 + 4x - 1 = 29$
$2x^2 + 4x - 30 = 0$
Разделим уравнение на 2:
$x^2 + 2x - 15 = 0$
Решим по теореме Виета: $x_1 + x_2 = -2$ и $x_1 \cdot x_2 = -15$. Корни: $x_1 = 3$ и $x_2 = -5$.
Оба корня ($3$ и $-5$) удовлетворяют ОДЗ.
Ответ: $-5; 3$.

з) $\frac{x+2}{x+3} + \frac{x+1}{x-1} = \frac{4}{(x+3)(x-1)}$

ОДЗ: $x+3 \ne 0$ и $x-1 \ne 0$, то есть $x \ne -3$ и $x \ne 1$.
Умножим обе части уравнения на общий знаменатель $(x+3)(x-1)$:
$(x+2)(x-1) + (x+1)(x+3) = 4$
$(x^2 - x + 2x - 2) + (x^2 + 3x + x + 3) = 4$
$(x^2 + x - 2) + (x^2 + 4x + 3) = 4$
$2x^2 + 5x + 1 = 4$
$2x^2 + 5x - 3 = 0$
Решим через дискриминант: $D = 5^2 - 4 \cdot 2 \cdot (-3) = 25 + 24 = 49 = 7^2$.
$x_1 = \frac{-5 + 7}{2 \cdot 2} = \frac{2}{4} = \frac{1}{2} = 0,5$.
$x_2 = \frac{-5 - 7}{2 \cdot 2} = \frac{-12}{4} = -3$.
Корень $x_1 = 0,5$ удовлетворяет ОДЗ. Корень $x_2 = -3$ не удовлетворяет ОДЗ, так как при $x=-3$ знаменатели дробей $\frac{x+2}{x+3}$ и $\frac{4}{(x+3)(x-1)}$ обращаются в ноль. Это посторонний корень.
Ответ: $0,5$.

Помогло решение? Оставьте отзыв в комментариях ниже.

Присоединяйтесь к Телеграм-группе @top_gdz

Присоединиться

Мы подготовили для вас ответ c подробным объяснением домашего задания по алгебре за 8 класс, для упражнения номер 690 расположенного на странице 155 к учебнику 2019 - 2022 года издания для учащихся школ и гимназий.

Теперь на нашем сайте ГДЗ.ТОП вы всегда легко и бесплатно найдёте условие с правильным ответом на вопрос «Как решить ДЗ» и «Как сделать» задание по алгебре к упражнению №690 (с. 155), авторов: Макарычев (Юрий Николаевич), Миндюк (Нора Григорьевна), Нешков (Константин Иванович), Суворова (Светлана Борисовна), ФГОС (старый) учебного пособия издательства Просвещение.