Номер 696, страница 156 - гдз по алгебре 8 класс учебник Макарычев, Миндюк

Алгебра, 8 класс Учебник, авторы: Макарычев Юрий Николаевич, Миндюк Нора Григорьевна, Нешков Константин Иванович, Суворова Светлана Борисовна, издательство Просвещение, Москва, 2019 - 2022, белого цвета

Авторы: Макарычев Ю. Н., Миндюк Н. Г., Нешков К. И., Суворова С. Б.

Тип: Учебник

Издательство: Просвещение

Год издания: 2019 - 2022

Цвет обложки: белый, голубой, фиолетовый

ISBN: 978-5-09-087569-1

Допущено Министерством просвещения Российской Федерации

Популярные ГДЗ в 8 классе

Глава 3. Квадратные уравнения. Дополнительные упражнения к главе III. К параграфу 9 - номер 696, страница 156.

№696 (с. 156)
Условие. №696 (с. 156)
скриншот условия
Алгебра, 8 класс Учебник, авторы: Макарычев Юрий Николаевич, Миндюк Нора Григорьевна, Нешков Константин Иванович, Суворова Светлана Борисовна, издательство Просвещение, Москва, 2019 - 2022, белого цвета, страница 156, номер 696, Условие

696. Решите уравнение:

а) $\frac{2x + 1}{2x - 1} - \frac{3(2x - 1)}{7(2x + 1)} + \frac{8}{1 - 4x^2} = 0;$

б) $\frac{y}{y^2 - 9} - \frac{1}{y^2 + 3y} + \frac{3}{6y + 2y^2} = 0;$

В) $\frac{2y - 1}{14y^2 + 7y} + \frac{8}{12y^2 - 3} = \frac{2y + 1}{6y^2 - 3y};$

Г) $\frac{3}{x^2 - 9} - \frac{1}{9 - 6x + x^2} = \frac{3}{2x^2 + 6x};$

Д) $\frac{9x + 12}{x^3 - 64} - \frac{1}{x^2 + 4x + 16} = \frac{1}{x - 4};$

е) $\frac{3}{8y^3 + 1} - \frac{1}{2y + 1} = \frac{y + 3}{4y^2 - 2y + 1};$

ж) $\frac{32}{x^3 - 2x^2 - x + 2} + \frac{1}{(x - 1)(x - 2)} = \frac{1}{x + 1};$

з) $\frac{1}{3(x - 4)} + \frac{1}{2(x^2 + 3)} + \frac{1}{x^3 - 4x^2 + 3x - 12} = 0.$

Решение 1. №696 (с. 156)
Алгебра, 8 класс Учебник, авторы: Макарычев Юрий Николаевич, Миндюк Нора Григорьевна, Нешков Константин Иванович, Суворова Светлана Борисовна, издательство Просвещение, Москва, 2019 - 2022, белого цвета, страница 156, номер 696, Решение 1
Алгебра, 8 класс Учебник, авторы: Макарычев Юрий Николаевич, Миндюк Нора Григорьевна, Нешков Константин Иванович, Суворова Светлана Борисовна, издательство Просвещение, Москва, 2019 - 2022, белого цвета, страница 156, номер 696, Решение 1 (продолжение 2)
Решение 2. №696 (с. 156)
Алгебра, 8 класс Учебник, авторы: Макарычев Юрий Николаевич, Миндюк Нора Григорьевна, Нешков Константин Иванович, Суворова Светлана Борисовна, издательство Просвещение, Москва, 2019 - 2022, белого цвета, страница 156, номер 696, Решение 2
Алгебра, 8 класс Учебник, авторы: Макарычев Юрий Николаевич, Миндюк Нора Григорьевна, Нешков Константин Иванович, Суворова Светлана Борисовна, издательство Просвещение, Москва, 2019 - 2022, белого цвета, страница 156, номер 696, Решение 2 (продолжение 2)
Решение 3. №696 (с. 156)
Алгебра, 8 класс Учебник, авторы: Макарычев Юрий Николаевич, Миндюк Нора Григорьевна, Нешков Константин Иванович, Суворова Светлана Борисовна, издательство Просвещение, Москва, 2019 - 2022, белого цвета, страница 156, номер 696, Решение 3
Решение 4. №696 (с. 156)
Алгебра, 8 класс Учебник, авторы: Макарычев Юрий Николаевич, Миндюк Нора Григорьевна, Нешков Константин Иванович, Суворова Светлана Борисовна, издательство Просвещение, Москва, 2019 - 2022, белого цвета, страница 156, номер 696, Решение 4
Решение 6. №696 (с. 156)
Алгебра, 8 класс Учебник, авторы: Макарычев Юрий Николаевич, Миндюк Нора Григорьевна, Нешков Константин Иванович, Суворова Светлана Борисовна, издательство Просвещение, Москва, 2019 - 2022, белого цвета, страница 156, номер 696, Решение 6 Алгебра, 8 класс Учебник, авторы: Макарычев Юрий Николаевич, Миндюк Нора Григорьевна, Нешков Константин Иванович, Суворова Светлана Борисовна, издательство Просвещение, Москва, 2019 - 2022, белого цвета, страница 156, номер 696, Решение 6 (продолжение 2)
Решение 7. №696 (с. 156)
Алгебра, 8 класс Учебник, авторы: Макарычев Юрий Николаевич, Миндюк Нора Григорьевна, Нешков Константин Иванович, Суворова Светлана Борисовна, издательство Просвещение, Москва, 2019 - 2022, белого цвета, страница 156, номер 696, Решение 7
Решение 8. №696 (с. 156)

а) $ \frac{2x+1}{2x-1} - \frac{3(2x-1)}{7(2x+1)} + \frac{8}{1-4x^2} = 0 $

1. Найдем область допустимых значений (ОДЗ). Знаменатели дробей не должны равняться нулю: $ 2x-1 \neq 0 \implies x \neq \frac{1}{2} $ $ 2x+1 \neq 0 \implies x \neq -\frac{1}{2} $ $ 1-4x^2 \neq 0 \implies (1-2x)(1+2x) \neq 0 \implies x \neq \pm \frac{1}{2} $ ОДЗ: $ x \neq \pm \frac{1}{2} $.

2. Преобразуем третий знаменатель: $ 1-4x^2 = -(4x^2-1) = -(2x-1)(2x+1) $. Затем приведем все дроби к общему знаменателю $ 7(2x-1)(2x+1) $: $ \frac{2x+1}{2x-1} - \frac{3(2x-1)}{7(2x+1)} - \frac{8}{(2x-1)(2x+1)} = 0 $ $ \frac{7(2x+1)(2x+1) - 3(2x-1)(2x-1) - 8 \cdot 7}{7(2x-1)(2x+1)} = 0 $

3. Дробь равна нулю, когда ее числитель равен нулю, а знаменатель не равен нулю. Решим уравнение для числителя: $ 7(2x+1)^2 - 3(2x-1)^2 - 56 = 0 $ $ 7(4x^2 + 4x + 1) - 3(4x^2 - 4x + 1) - 56 = 0 $ $ 28x^2 + 28x + 7 - 12x^2 + 12x - 3 - 56 = 0 $ $ 16x^2 + 40x - 52 = 0 $ Разделим уравнение на 4: $ 4x^2 + 10x - 13 = 0 $

4. Решим квадратное уравнение с помощью дискриминанта: $ D = b^2 - 4ac = 10^2 - 4 \cdot 4 \cdot (-13) = 100 + 208 = 308 $ $ x = \frac{-b \pm \sqrt{D}}{2a} = \frac{-10 \pm \sqrt{308}}{2 \cdot 4} = \frac{-10 \pm \sqrt{4 \cdot 77}}{8} = \frac{-10 \pm 2\sqrt{77}}{8} = \frac{-5 \pm \sqrt{77}}{4} $

5. Оба корня $ x_1 = \frac{-5 - \sqrt{77}}{4} $ и $ x_2 = \frac{-5 + \sqrt{77}}{4} $ не равны $ \pm \frac{1}{2} $, следовательно, они удовлетворяют ОДЗ.

Ответ: $ \frac{-5 - \sqrt{77}}{4}, \frac{-5 + \sqrt{77}}{4} $.

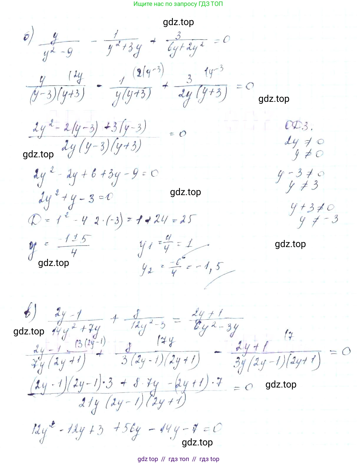
б) $ \frac{y}{y^2-9} - \frac{1}{y^2+3y} + \frac{3}{6y+2y^2} = 0 $

1. Разложим знаменатели на множители и найдем ОДЗ: $ y^2-9 = (y-3)(y+3) $ $ y^2+3y = y(y+3) $ $ 6y+2y^2 = 2y(3+y) $ ОДЗ: $ y \neq 0, y \neq 3, y \neq -3 $.

2. Общий знаменатель $ 2y(y-3)(y+3) $. Приведем дроби к общему знаменателю: $ \frac{y \cdot 2y - 1 \cdot 2(y-3) + 3 \cdot (y-3)}{2y(y-3)(y+3)} = 0 $

3. Решим уравнение для числителя: $ 2y^2 - 2(y-3) + 3(y-3) = 0 $ $ 2y^2 - 2y + 6 + 3y - 9 = 0 $ $ 2y^2 + y - 3 = 0 $

4. Решим квадратное уравнение: $ D = 1^2 - 4 \cdot 2 \cdot (-3) = 1 + 24 = 25 $ $ y = \frac{-1 \pm \sqrt{25}}{2 \cdot 2} = \frac{-1 \pm 5}{4} $ $ y_1 = \frac{-1 - 5}{4} = \frac{-6}{4} = -1.5 $ $ y_2 = \frac{-1 + 5}{4} = \frac{4}{4} = 1 $

5. Оба корня удовлетворяют ОДЗ.

Ответ: $ -1.5; 1 $.

в) $ \frac{2y-1}{14y^2+7y} + \frac{8}{12y^2-3} = \frac{2y+1}{6y^2-3y} $

1. Разложим знаменатели на множители и найдем ОДЗ: $ 14y^2+7y = 7y(2y+1) $ $ 12y^2-3 = 3(4y^2-1) = 3(2y-1)(2y+1) $ $ 6y^2-3y = 3y(2y-1) $ ОДЗ: $ y \neq 0, y \neq \pm \frac{1}{2} $.

2. Перенесем все члены в левую часть и приведем к общему знаменателю $ 21y(2y-1)(2y+1) $: $ \frac{3(2y-1)^2 + 8 \cdot 7y - 7(2y+1)^2}{21y(2y-1)(2y+1)} = 0 $

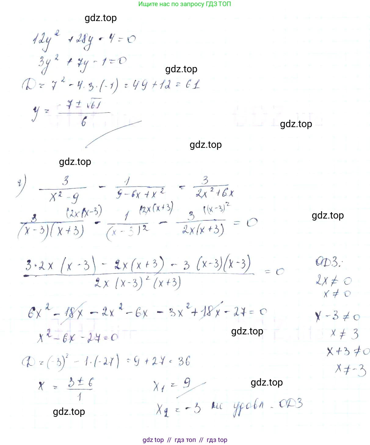
3. Решим уравнение для числителя: $ 3(4y^2 - 4y + 1) + 56y - 7(4y^2 + 4y + 1) = 0 $ $ 12y^2 - 12y + 3 + 56y - 28y^2 - 28y - 7 = 0 $ $ -16y^2 + 16y - 4 = 0 $ $ 4y^2 - 4y + 1 = 0 $

4. Уравнение является полным квадратом: $ (2y-1)^2 = 0 $ $ 2y-1 = 0 \implies y = \frac{1}{2} $

5. Полученный корень $ y = \frac{1}{2} $ не удовлетворяет ОДЗ. Следовательно, уравнение не имеет решений.

Ответ: нет решений.

г) $ \frac{3}{x^2-9} - \frac{1}{9-6x+x^2} = \frac{3}{2x^2+6x} $

1. Разложим знаменатели на множители и найдем ОДЗ: $ x^2-9 = (x-3)(x+3) $ $ 9-6x+x^2 = (x-3)^2 $ $ 2x^2+6x = 2x(x+3) $ ОДЗ: $ x \neq 0, x \neq \pm 3 $.

2. Приведем к общему знаменателю $ 2x(x-3)^2(x+3) $: $ \frac{3 \cdot 2x(x-3) - 1 \cdot 2x(x+3)}{2x(x-3)^2(x+3)} = \frac{3 \cdot (x-3)^2}{2x(x-3)^2(x+3)} $

3. Решим уравнение для числителей: $ 6x(x-3) - 2x(x+3) = 3(x-3)^2 $ $ 6x^2 - 18x - 2x^2 - 6x = 3(x^2 - 6x + 9) $ $ 4x^2 - 24x = 3x^2 - 18x + 27 $ $ x^2 - 6x - 27 = 0 $

4. Решим квадратное уравнение по теореме Виета или через дискриминант. Корни: $ x_1=9, x_2=-3 $.

5. Корень $ x_2 = -3 $ не удовлетворяет ОДЗ. Корень $ x_1=9 $ удовлетворяет ОДЗ.

Ответ: $ 9 $.

д) $ \frac{9x+12}{x^3-64} - \frac{1}{x^2+4x+16} = \frac{1}{x-4} $

1. Разложим знаменатель $ x^3-64 = (x-4)(x^2+4x+16) $ (разность кубов). ОДЗ: $ x-4 \neq 0 \implies x \neq 4 $. (Выражение $ x^2+4x+16 $ всегда положительно).

2. Приведем к общему знаменателю $ (x-4)(x^2+4x+16) $: $ \frac{9x+12 - 1 \cdot (x-4)}{(x-4)(x^2+4x+16)} = \frac{1 \cdot (x^2+4x+16)}{(x-4)(x^2+4x+16)} $

3. Решим уравнение для числителей: $ 9x+12 - (x-4) = x^2+4x+16 $ $ 8x+16 = x^2+4x+16 $ $ x^2 - 4x = 0 $ $ x(x-4) = 0 $

4. Корни уравнения: $ x_1=0, x_2=4 $.

5. Корень $ x_2=4 $ не удовлетворяет ОДЗ. Корень $ x_1=0 $ удовлетворяет ОДЗ.

Ответ: $ 0 $.

е) $ \frac{3}{8y^3+1} - \frac{1}{2y+1} = \frac{y+3}{4y^2-2y+1} $

1. Разложим знаменатель $ 8y^3+1 = (2y+1)(4y^2-2y+1) $ (сумма кубов). ОДЗ: $ 2y+1 \neq 0 \implies y \neq -1/2 $. (Выражение $ 4y^2-2y+1 $ всегда положительно).

2. Приведем к общему знаменателю $ (2y+1)(4y^2-2y+1) $: $ \frac{3 - 1 \cdot (4y^2-2y+1)}{(2y+1)(4y^2-2y+1)} = \frac{(y+3)(2y+1)}{(2y+1)(4y^2-2y+1)} $

3. Решим уравнение для числителей: $ 3 - 4y^2+2y-1 = 2y^2+y+6y+3 $ $ -4y^2+2y+2 = 2y^2+7y+3 $ $ 6y^2+5y+1 = 0 $

4. Решим квадратное уравнение: $ D = 5^2 - 4 \cdot 6 \cdot 1 = 25 - 24 = 1 $ $ y = \frac{-5 \pm 1}{12} $ $ y_1 = \frac{-5+1}{12} = -\frac{4}{12} = -\frac{1}{3} $ $ y_2 = \frac{-5-1}{12} = -\frac{6}{12} = -\frac{1}{2} $

5. Корень $ y_2 = -1/2 $ не удовлетворяет ОДЗ. Корень $ y_1 = -1/3 $ удовлетворяет ОДЗ.

Ответ: $ -\frac{1}{3} $.

ж) $ \frac{32}{x^3-2x^2-x+2} + \frac{1}{(x-1)(x-2)} = \frac{1}{x+1} $

1. Разложим первый знаменатель на множители методом группировки: $ x^3-2x^2-x+2 = x^2(x-2) - (x-2) = (x^2-1)(x-2) = (x-1)(x+1)(x-2) $. ОДЗ: $ x \neq 1, x \neq -1, x \neq 2 $.

2. Приведем к общему знаменателю $ (x-1)(x+1)(x-2) $: $ \frac{32 + 1 \cdot (x+1)}{(x-1)(x+1)(x-2)} = \frac{1 \cdot (x-1)(x-2)}{(x-1)(x+1)(x-2)} $

3. Решим уравнение для числителей: $ 32+x+1 = (x-1)(x-2) $ $ x+33 = x^2-3x+2 $ $ x^2-4x-31=0 $

4. Решим квадратное уравнение: $ D = (-4)^2 - 4 \cdot 1 \cdot (-31) = 16 + 124 = 140 $ $ x = \frac{4 \pm \sqrt{140}}{2} = \frac{4 \pm 2\sqrt{35}}{2} = 2 \pm \sqrt{35} $

5. Оба корня $ x_1 = 2 - \sqrt{35} $ и $ x_2 = 2 + \sqrt{35} $ не совпадают с запрещенными значениями $ \pm 1, 2 $, поэтому оба являются решениями.

Ответ: $ 2 - \sqrt{35}, 2 + \sqrt{35} $.

з) $ \frac{1}{3(x-4)} + \frac{1}{2(x^2+3)} + \frac{1}{x^3-4x^2+3x-12} = 0 $

1. Разложим третий знаменатель на множители методом группировки: $ x^3-4x^2+3x-12 = x^2(x-4)+3(x-4) = (x-4)(x^2+3) $. ОДЗ: $ x-4 \neq 0 \implies x \neq 4 $. (Выражение $ x^2+3 $ всегда положительно).

2. Приведем к общему знаменателю $ 6(x-4)(x^2+3) $: $ \frac{1 \cdot 2(x^2+3) + 1 \cdot 3(x-4) + 1 \cdot 6}{6(x-4)(x^2+3)} = 0 $

3. Решим уравнение для числителя: $ 2(x^2+3) + 3(x-4) + 6 = 0 $ $ 2x^2+6+3x-12+6 = 0 $ $ 2x^2+3x = 0 $ $ x(2x+3) = 0 $

4. Корни уравнения: $ x_1=0 $ или $ 2x+3=0 \implies x_2 = -3/2 = -1.5 $.

5. Оба корня удовлетворяют ОДЗ.

Ответ: $ -1.5; 0 $.

Помогло решение? Оставьте отзыв в комментариях ниже.

Присоединяйтесь к Телеграм-группе @top_gdz

Присоединиться

Мы подготовили для вас ответ c подробным объяснением домашего задания по алгебре за 8 класс, для упражнения номер 696 расположенного на странице 156 к учебнику 2019 - 2022 года издания для учащихся школ и гимназий.

Теперь на нашем сайте ГДЗ.ТОП вы всегда легко и бесплатно найдёте условие с правильным ответом на вопрос «Как решить ДЗ» и «Как сделать» задание по алгебре к упражнению №696 (с. 156), авторов: Макарычев (Юрий Николаевич), Миндюк (Нора Григорьевна), Нешков (Константин Иванович), Суворова (Светлана Борисовна), ФГОС (старый) учебного пособия издательства Просвещение.