Номер 1.10, страница 15 - гдз по алгебре 9 класс учебник Арефьева, Пирютко

Алгебра, 9 класс Учебник, авторы: Арефьева Ирина Глебовна, Пирютко Ольга Николаевна, издательство Народная асвета, Минск, 2019, голубого цвета

Авторы: Арефьева И. Г., Пирютко О. Н.

Тип: Учебник

Издательство: Народная асвета

Год издания: 2019 - 2026

Цвет обложки: голубой, синий с графиком

ISBN: 978-985-03-3077-2

Допущено Министерством образования Республики Беларусь

Популярные ГДЗ в 9 классе

Глава 1. Рациональные выражения. Параграф 1. Рациональная дробь - номер 1.10, страница 15.

№1.10 (с. 15)
Условие. №1.10 (с. 15)
скриншот условия
Алгебра, 9 класс Учебник, авторы: Арефьева Ирина Глебовна, Пирютко Ольга Николаевна, издательство Народная асвета, Минск, 2019, голубого цвета, страница 15, номер 1.10, Условие

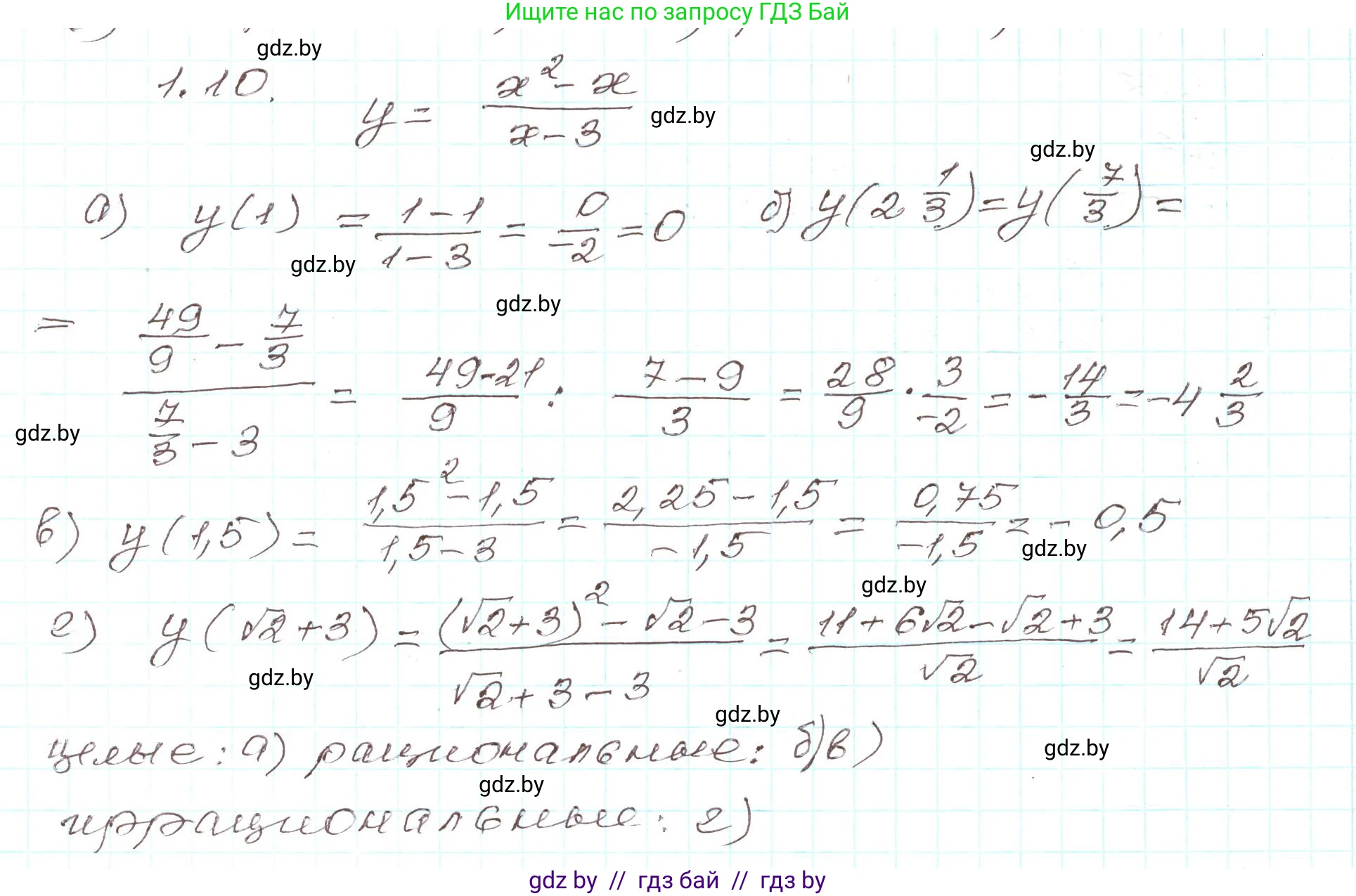
1.10. Найдите значение функции $y = \frac{x^2 - x}{x - 3}$ при значении аргумента, равном:

а) 1; б) $2\frac{1}{3}$; в) 1,5; г) $\sqrt{2} + 3$.

Выберите из этих значений: 1) целые; 2) рациональные; 3) иррациональные.

Решение. №1.10 (с. 15)
Алгебра, 9 класс Учебник, авторы: Арефьева Ирина Глебовна, Пирютко Ольга Николаевна, издательство Народная асвета, Минск, 2019, голубого цвета, страница 15, номер 1.10, Решение
Решение 2. №1.10 (с. 15)

Для того чтобы найти значение функции $y = \frac{x^2 - x}{x - 3}$ при заданных значениях аргумента $x$, необходимо подставить эти значения в формулу.

а) При $x = 1$:
$y = \frac{1^2 - 1}{1 - 3} = \frac{1 - 1}{-2} = \frac{0}{-2} = 0$.
Ответ: 0.

б) При $x = 2\frac{1}{3}$:
Сначала представим смешанное число в виде неправильной дроби: $x = 2\frac{1}{3} = \frac{2 \cdot 3 + 1}{3} = \frac{7}{3}$.
Подставим это значение в функцию:
$y = \frac{(\frac{7}{3})^2 - \frac{7}{3}}{\frac{7}{3} - 3} = \frac{\frac{49}{9} - \frac{21}{9}}{\frac{7}{3} - \frac{9}{3}} = \frac{\frac{28}{9}}{-\frac{2}{3}}$
Для деления дробей, умножим числитель на перевернутый знаменатель:
$y = \frac{28}{9} \cdot (-\frac{3}{2}) = -\frac{28 \cdot 3}{9 \cdot 2} = -\frac{14 \cdot 1}{3 \cdot 1} = -\frac{14}{3}$.
Преобразуем неправильную дробь в смешанное число, выделив целую часть: $-\frac{14}{3} = -4\frac{2}{3}$.
Ответ: -4$\frac{2}{3}$.

в) При $x = 1,5$:
$y = \frac{(1,5)^2 - 1,5}{1,5 - 3} = \frac{2,25 - 1,5}{-1,5} = \frac{0,75}{-1,5} = -0,5$.
Ответ: -0,5.

г) При $x = \sqrt{2} + 3$:
Для удобства вычислений преобразуем числитель: $x^2 - x = x(x-1)$.
$y = \frac{x(x-1)}{x-3} = \frac{(\sqrt{2} + 3)((\sqrt{2} + 3) - 1)}{(\sqrt{2} + 3) - 3} = \frac{(\sqrt{2} + 3)(\sqrt{2} + 2)}{\sqrt{2}}$.
Раскроем скобки в числителе:
$(\sqrt{2} + 3)(\sqrt{2} + 2) = \sqrt{2} \cdot \sqrt{2} + 2\sqrt{2} + 3\sqrt{2} + 3 \cdot 2 = 2 + 5\sqrt{2} + 6 = 8 + 5\sqrt{2}$.
Получим выражение:
$y = \frac{8 + 5\sqrt{2}}{\sqrt{2}}$.
Избавимся от иррациональности в знаменателе, умножив числитель и знаменатель на $\sqrt{2}$:
$y = \frac{(8 + 5\sqrt{2})\sqrt{2}}{\sqrt{2} \cdot \sqrt{2}} = \frac{8\sqrt{2} + 5 \cdot (\sqrt{2})^2}{2} = \frac{8\sqrt{2} + 5 \cdot 2}{2} = \frac{8\sqrt{2} + 10}{2}$.
Сократим дробь, разделив каждый член числителя на 2:
$y = 4\sqrt{2} + 5$.
Ответ: $5 + 4\sqrt{2}$.


Теперь выберем из полученных значений ($0$; $-4\frac{2}{3}$; $-0,5$; $5 + 4\sqrt{2}$) целые, рациональные и иррациональные числа.

1) целые: Число, не имеющее дробной части.
Ответ: 0.

2) рациональные: Числа, которые можно представить в виде дроби $\frac{m}{n}$, где $m$ — целое, а $n$ — натуральное. К ним относятся целые числа, конечные десятичные дроби и смешанные числа.
Ответ: 0; -4$\frac{2}{3}$; -0,5.

3) иррациональные: Числа, которые не могут быть представлены в виде дроби $\frac{m}{n}$. Как правило, содержат корень из числа, не являющегося полным квадратом.
Ответ: $5 + 4\sqrt{2}$.

Помогло решение? Оставьте отзыв в комментариях ниже.

Присоединяйтесь к Телеграм-группе @gdz_by_belarus

Присоединиться

Мы подготовили для вас ответ c подробным объяснением домашего задания по алгебре за 9 класс, для упражнения номер 1.10 расположенного на странице 15 к учебнику 2019 года издания для учащихся школ и гимназий.

Теперь на нашем сайте ГДЗ.ТОП вы всегда легко и бесплатно найдёте условие с правильным ответом на вопрос «Как решить ДЗ» и «Как сделать» задание по алгебре к упражнению №1.10 (с. 15), авторов: Арефьева (Ирина Глебовна), Пирютко (Ольга Николаевна), учебного пособия издательства Народная асвета.