Номер 1.11, страница 15 - гдз по алгебре 9 класс учебник Арефьева, Пирютко

Алгебра, 9 класс Учебник, авторы: Арефьева Ирина Глебовна, Пирютко Ольга Николаевна, издательство Народная асвета, Минск, 2019, голубого цвета

Авторы: Арефьева И. Г., Пирютко О. Н.

Тип: Учебник

Издательство: Народная асвета

Год издания: 2019 - 2026

Цвет обложки: голубой, синий с графиком

ISBN: 978-985-03-3077-2

Допущено Министерством образования Республики Беларусь

Популярные ГДЗ в 9 классе

Глава 1. Рациональные выражения. Параграф 1. Рациональная дробь - номер 1.11, страница 15.

№1.11 (с. 15)
Условие. №1.11 (с. 15)
скриншот условия
Алгебра, 9 класс Учебник, авторы: Арефьева Ирина Глебовна, Пирютко Ольга Николаевна, издательство Народная асвета, Минск, 2019, голубого цвета, страница 15, номер 1.11, Условие

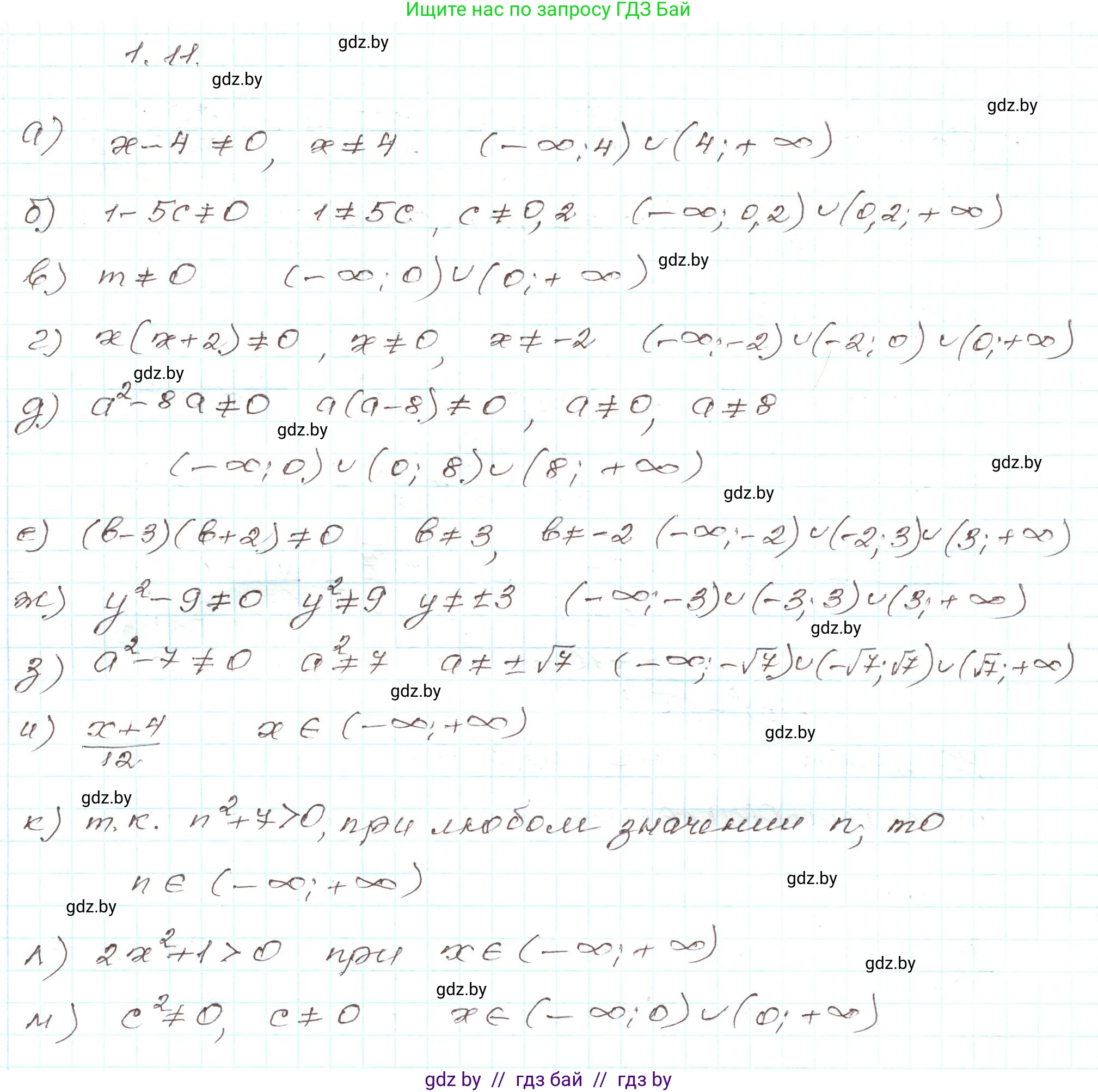
1.11. Найдите область определения рациональной дроби:

а) $\frac{x - 1}{x - 4}$;

б) $\frac{3c + 5}{1 - 5c}$;

в) $\frac{8m - 5}{m}$;

г) $\frac{8}{x(x + 2)}$;

д) $\frac{12a + 7}{a^2 - 8a}$;

е) $\frac{8b - 1}{(b - 3)(b + 2)}$;

ж) $\frac{5y}{y^2 - 9}$;

з) $\frac{3a - 1}{a^2 - 7}$;

и) $\frac{x + 4}{12}$;

к) $\frac{9}{n^2 + 7}$;

л) $\frac{6x}{2x^2 + 1}$;

м) $\frac{12c - 1}{c^2}$.

Решение. №1.11 (с. 15)
Алгебра, 9 класс Учебник, авторы: Арефьева Ирина Глебовна, Пирютко Ольга Николаевна, издательство Народная асвета, Минск, 2019, голубого цвета, страница 15, номер 1.11, Решение
Решение 2. №1.11 (с. 15)
Область определения рациональной дроби — это множество всех значений переменной, при которых знаменатель этой дроби не равен нулю. Чтобы найти область определения для каждой дроби, мы приравняем её знаменатель к нулю, решим полученное уравнение и исключим найденные корни из множества всех действительных чисел.

а) Для дроби $ \frac{x-1}{x-4} $ знаменатель не должен быть равен нулю.

Найдем значение $x$, при котором знаменатель обращается в нуль:

$ x - 4 = 0 $

$ x = 4 $

Следовательно, область определения дроби — все действительные числа, кроме 4.

Ответ: все действительные числа, кроме $x=4$.

б) Для дроби $ \frac{3c+5}{1-5c} $ знаменатель не должен быть равен нулю.

Найдем значение $c$, при котором знаменатель обращается в нуль:

$ 1 - 5c = 0 $

$ 5c = 1 $

$ c = \frac{1}{5} $

Следовательно, область определения дроби — все действительные числа, кроме $ \frac{1}{5} $.

Ответ: все действительные числа, кроме $c=\frac{1}{5}$.

в) Для дроби $ \frac{8m-5}{m} $ знаменатель не должен быть равен нулю.

Знаменатель обращается в нуль при:

$ m = 0 $

Следовательно, область определения дроби — все действительные числа, кроме 0.

Ответ: все действительные числа, кроме $m=0$.

г) Для дроби $ \frac{8}{x(x+2)} $ знаменатель не должен быть равен нулю.

Найдем значения $x$, при которых знаменатель обращается в нуль:

$ x(x+2) = 0 $

Произведение равно нулю, если один из множителей равен нулю:

$ x = 0 $ или $ x + 2 = 0 $

$ x = 0 $ или $ x = -2 $

Следовательно, область определения дроби — все действительные числа, кроме 0 и -2.

Ответ: все действительные числа, кроме $x=0$ и $x=-2$.

д) Для дроби $ \frac{12a+7}{a^2-8a} $ знаменатель не должен быть равен нулю.

Найдем значения $a$, при которых знаменатель обращается в нуль:

$ a^2 - 8a = 0 $

$ a(a - 8) = 0 $

$ a = 0 $ или $ a - 8 = 0 $

$ a = 0 $ или $ a = 8 $

Следовательно, область определения дроби — все действительные числа, кроме 0 и 8.

Ответ: все действительные числа, кроме $a=0$ и $a=8$.

е) Для дроби $ \frac{8b-1}{(b-3)(b+2)} $ знаменатель не должен быть равен нулю.

Найдем значения $b$, при которых знаменатель обращается в нуль:

$ (b-3)(b+2) = 0 $

$ b - 3 = 0 $ или $ b + 2 = 0 $

$ b = 3 $ или $ b = -2 $

Следовательно, область определения дроби — все действительные числа, кроме 3 и -2.

Ответ: все действительные числа, кроме $b=3$ и $b=-2$.

ж) Для дроби $ \frac{5y}{y^2-9} $ знаменатель не должен быть равен нулю.

Найдем значения $y$, при которых знаменатель обращается в нуль:

$ y^2 - 9 = 0 $

$ (y-3)(y+3) = 0 $

$ y - 3 = 0 $ или $ y + 3 = 0 $

$ y = 3 $ или $ y = -3 $

Следовательно, область определения дроби — все действительные числа, кроме 3 и -3.

Ответ: все действительные числа, кроме $y=3$ и $y=-3$.

з) Для дроби $ \frac{3a-1}{a^2-7} $ знаменатель не должен быть равен нулю.

Найдем значения $a$, при которых знаменатель обращается в нуль:

$ a^2 - 7 = 0 $

$ a^2 = 7 $

$ a = \sqrt{7} $ или $ a = -\sqrt{7} $

Следовательно, область определения дроби — все действительные числа, кроме $ \sqrt{7} $ и $ -\sqrt{7} $.

Ответ: все действительные числа, кроме $a=\sqrt{7}$ и $a=-\sqrt{7}$.

и) Знаменатель дроби $ \frac{x+4}{12} $ равен 12. Так как знаменатель является константой, не равной нулю, дробь определена для любых действительных значений переменной $x$.

Ответ: все действительные числа.

к) Для дроби $ \frac{9}{n^2+7} $ знаменатель не должен быть равен нулю.

Рассмотрим уравнение $ n^2+7=0 $.

$ n^2 = -7 $

Данное уравнение не имеет действительных корней, так как квадрат любого действительного числа $n$ неотрицателен ($n^2 \geq 0$), а значит $n^2+7 \geq 7$. Таким образом, знаменатель никогда не равен нулю.

Ответ: все действительные числа.

л) Для дроби $ \frac{6x}{2x^2+1} $ знаменатель не должен быть равен нулю.

Рассмотрим уравнение $ 2x^2+1=0 $.

$ 2x^2 = -1 $

$ x^2 = -\frac{1}{2} $

Данное уравнение не имеет действительных корней, так как $x^2 \geq 0$ для любого действительного $x$, а значит $2x^2+1 \geq 1$. Таким образом, знаменатель никогда не равен нулю.

Ответ: все действительные числа.

м) Для дроби $ \frac{12c-1}{c^2} $ знаменатель не должен быть равен нулю.

Найдем значение $c$, при котором знаменатель обращается в нуль:

$ c^2 = 0 $

$ c = 0 $

Следовательно, область определения дроби — все действительные числа, кроме 0.

Ответ: все действительные числа, кроме $c=0$.

Помогло решение? Оставьте отзыв в комментариях ниже.

Присоединяйтесь к Телеграм-группе @gdz_by_belarus

Присоединиться

Мы подготовили для вас ответ c подробным объяснением домашего задания по алгебре за 9 класс, для упражнения номер 1.11 расположенного на странице 15 к учебнику 2019 года издания для учащихся школ и гимназий.

Теперь на нашем сайте ГДЗ.ТОП вы всегда легко и бесплатно найдёте условие с правильным ответом на вопрос «Как решить ДЗ» и «Как сделать» задание по алгебре к упражнению №1.11 (с. 15), авторов: Арефьева (Ирина Глебовна), Пирютко (Ольга Николаевна), учебного пособия издательства Народная асвета.