Номер 1.101, страница 40 - гдз по алгебре 9 класс учебник Арефьева, Пирютко

Алгебра, 9 класс Учебник, авторы: Арефьева Ирина Глебовна, Пирютко Ольга Николаевна, издательство Народная асвета, Минск, 2019, голубого цвета

Авторы: Арефьева И. Г., Пирютко О. Н.

Тип: Учебник

Издательство: Народная асвета

Год издания: 2019 - 2026

Цвет обложки: голубой, синий с графиком

ISBN: 978-985-03-3077-2

Допущено Министерством образования Республики Беларусь

Популярные ГДЗ в 9 классе

Глава 1. Рациональные выражения. Параграф 3. Сложение и вычитание рациональных дробей - номер 1.101, страница 40.

№1.101 (с. 40)
Условие. №1.101 (с. 40)
скриншот условия
Алгебра, 9 класс Учебник, авторы: Арефьева Ирина Глебовна, Пирютко Ольга Николаевна, издательство Народная асвета, Минск, 2019, голубого цвета, страница 40, номер 1.101, Условие

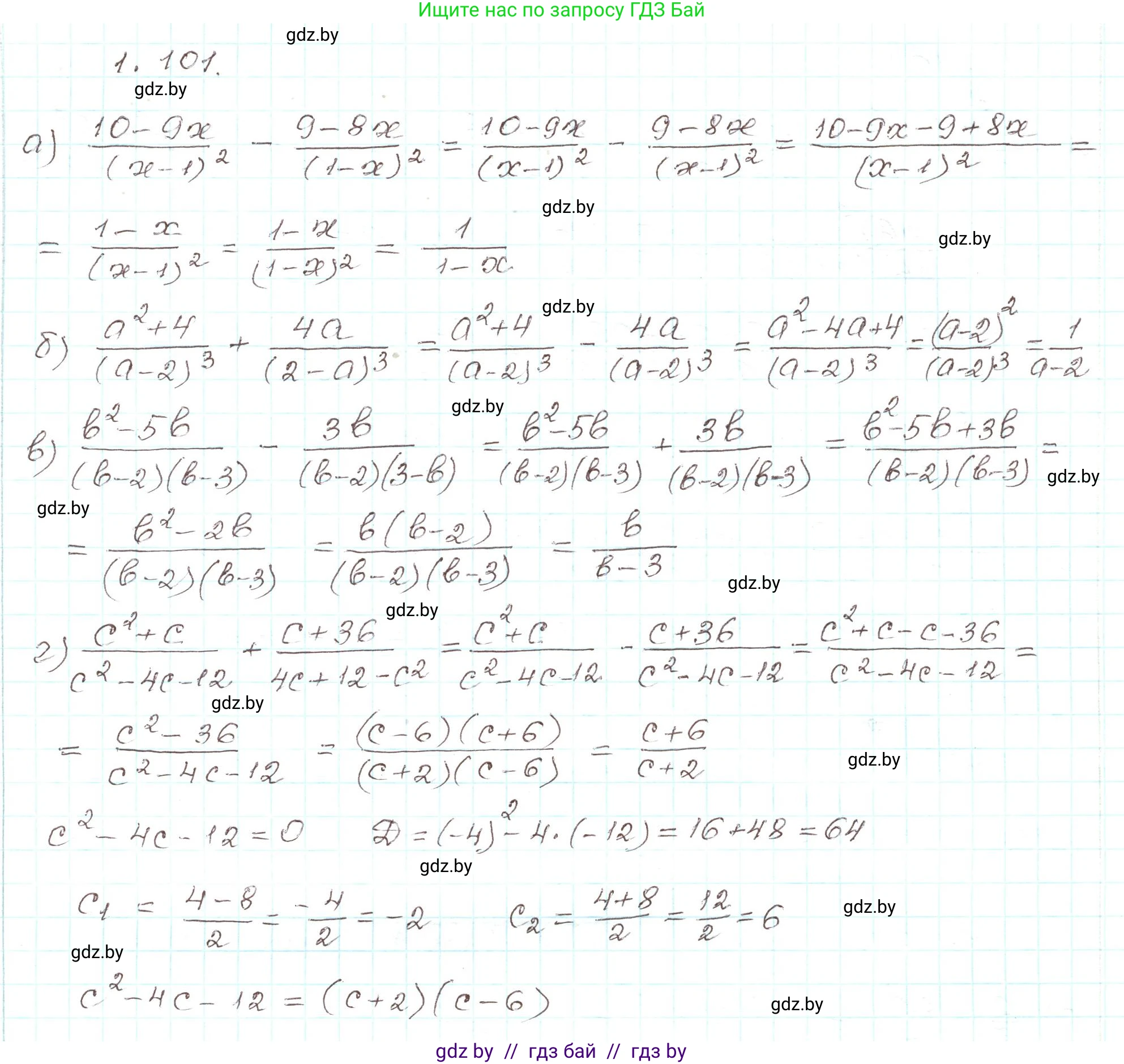
1.101. Представьте в виде дроби выражение:

а) $\frac{10 - 9x}{(x - 1)^2} - \frac{9 - 8x}{(1 - x)^2}$;

б) $\frac{a^2 + 4}{(a - 2)^3} + \frac{4a}{(2 - a)^3}$;

В) $\frac{b^2 - 5b}{(b - 2)(b - 3)} - \frac{3b}{(b - 2)(3 - b)}$;

Г) $\frac{c^2 + c}{c^2 - 4c - 12} + \frac{c + 36}{4c + 12 - c^2}$.

Решение. №1.101 (с. 40)
Алгебра, 9 класс Учебник, авторы: Арефьева Ирина Глебовна, Пирютко Ольга Николаевна, издательство Народная асвета, Минск, 2019, голубого цвета, страница 40, номер 1.101, Решение
Решение 2. №1.101 (с. 40)

а) Чтобы представить выражение $\frac{10-9x}{(x-1)^2} - \frac{9-8x}{(1-x)^2}$ в виде дроби, приведем дроби к общему знаменателю.

Заметим, что знаменатели $(x-1)^2$ и $(1-x)^2$ равны, так как $(1-x)^2 = (-(x-1))^2 = (-1)^2(x-1)^2 = (x-1)^2$.

Теперь можно вычесть дроби, так как у них одинаковый знаменатель: $$ \frac{10-9x}{(x-1)^2} - \frac{9-8x}{(x-1)^2} = \frac{(10-9x) - (9-8x)}{(x-1)^2} $$

Упростим числитель, раскрыв скобки: $$ \frac{10 - 9x - 9 + 8x}{(x-1)^2} = \frac{1 - x}{(x-1)^2} $$

Вынесем в числителе $-1$ за скобки и сократим дробь: $$ \frac{-(x-1)}{(x-1)^2} = -\frac{1}{x-1} = \frac{1}{1-x} $$

Полученная дробь является правильной (степень числителя меньше степени знаменателя), поэтому выделение целой части не требуется.

Ответ: $\frac{1}{1-x}$

б) Рассмотрим выражение $\frac{a^2+4}{(a-2)^3} + \frac{4a}{(2-a)^3}$.

Преобразуем знаменатель второй дроби: $(2-a)^3 = (-(a-2))^3 = (-1)^3(a-2)^3 = -(a-2)^3$.

Подставим преобразованный знаменатель в выражение и сменим знак перед дробью: $$ \frac{a^2+4}{(a-2)^3} + \frac{4a}{-(a-2)^3} = \frac{a^2+4}{(a-2)^3} - \frac{4a}{(a-2)^3} $$

Теперь, когда знаменатели одинаковы, выполним вычитание числителей: $$ \frac{a^2+4 - 4a}{(a-2)^3} = \frac{a^2 - 4a + 4}{(a-2)^3} $$

Числитель $a^2 - 4a + 4$ является полным квадратом разности $(a-2)^2$. Подставим его в дробь: $$ \frac{(a-2)^2}{(a-2)^3} $$

Сократим дробь на $(a-2)^2$: $$ \frac{1}{a-2} $$

Полученная дробь является правильной, выделение целой части не требуется.

Ответ: $\frac{1}{a-2}$

в) Рассмотрим выражение $\frac{b^2-5b}{(b-2)(b-3)} - \frac{3b}{(b-2)(3-b)}$.

В знаменателе второй дроби преобразуем множитель $(3-b)$: $3-b = -(b-3)$. Вынесем знак минус перед дробью: $$ \frac{b^2-5b}{(b-2)(b-3)} - \frac{3b}{(b-2)(-(b-3))} = \frac{b^2-5b}{(b-2)(b-3)} + \frac{3b}{(b-2)(b-3)} $$

Сложим дроби с одинаковыми знаменателями: $$ \frac{b^2-5b+3b}{(b-2)(b-3)} = \frac{b^2-2b}{(b-2)(b-3)} $$

В числителе вынесем общий множитель $b$ за скобки: $$ \frac{b(b-2)}{(b-2)(b-3)} $$

Сократим дробь на общий множитель $(b-2)$: $$ \frac{b}{b-3} $$

Полученная дробь является неправильной, так как степень числителя равна степени знаменателя. Выделим целую часть: $$ \frac{b}{b-3} = \frac{(b-3)+3}{b-3} = \frac{b-3}{b-3} + \frac{3}{b-3} = 1 + \frac{3}{b-3} $$

Ответ: $1 + \frac{3}{b-3}$

г) Рассмотрим выражение $\frac{c^2+c}{c^2-4c-12} + \frac{c+36}{4c+12-c^2}$.

Преобразуем знаменатель второй дроби: $4c+12-c^2 = -(c^2-4c-12)$. Таким образом, знаменатели отличаются только знаком.

Приведем дроби к общему знаменателю $c^2-4c-12$: $$ \frac{c^2+c}{c^2-4c-12} - \frac{c+36}{c^2-4c-12} = \frac{(c^2+c) - (c+36)}{c^2-4c-12} $$

Упростим числитель: $$ \frac{c^2+c-c-36}{c^2-4c-12} = \frac{c^2-36}{c^2-4c-12} $$

Разложим числитель и знаменатель на множители. Числитель $c^2-36$ — это разность квадратов: $(c-6)(c+6)$. Для разложения знаменателя $c^2-4c-12$ найдем его корни по теореме Виета. Сумма корней равна 4, а произведение -12. Это числа 6 и -2. Тогда $c^2-4c-12 = (c-6)(c+2)$.

Подставим разложения в дробь и сократим: $$ \frac{(c-6)(c+6)}{(c-6)(c+2)} = \frac{c+6}{c+2} $$

Полученная дробь является неправильной. Выделим целую часть: $$ \frac{c+6}{c+2} = \frac{(c+2)+4}{c+2} = \frac{c+2}{c+2} + \frac{4}{c+2} = 1 + \frac{4}{c+2} $$

Ответ: $1 + \frac{4}{c+2}$

Помогло решение? Оставьте отзыв в комментариях ниже.

Присоединяйтесь к Телеграм-группе @gdz_by_belarus

Присоединиться

Мы подготовили для вас ответ c подробным объяснением домашего задания по алгебре за 9 класс, для упражнения номер 1.101 расположенного на странице 40 к учебнику 2019 года издания для учащихся школ и гимназий.

Теперь на нашем сайте ГДЗ.ТОП вы всегда легко и бесплатно найдёте условие с правильным ответом на вопрос «Как решить ДЗ» и «Как сделать» задание по алгебре к упражнению №1.101 (с. 40), авторов: Арефьева (Ирина Глебовна), Пирютко (Ольга Николаевна), учебного пособия издательства Народная асвета.