Номер 1.103, страница 40 - гдз по алгебре 9 класс учебник Арефьева, Пирютко
Авторы: Арефьева И. Г., Пирютко О. Н.
Тип: Учебник
Издательство: Народная асвета
Год издания: 2019 - 2026
Цвет обложки: голубой, синий с графиком
ISBN: 978-985-03-3077-2
Допущено Министерством образования Республики Беларусь
Популярные ГДЗ в 9 классе
Глава 1. Рациональные выражения. Параграф 3. Сложение и вычитание рациональных дробей - номер 1.103, страница 40.
№1.103 (с. 40)
Условие. №1.103 (с. 40)
скриншот условия
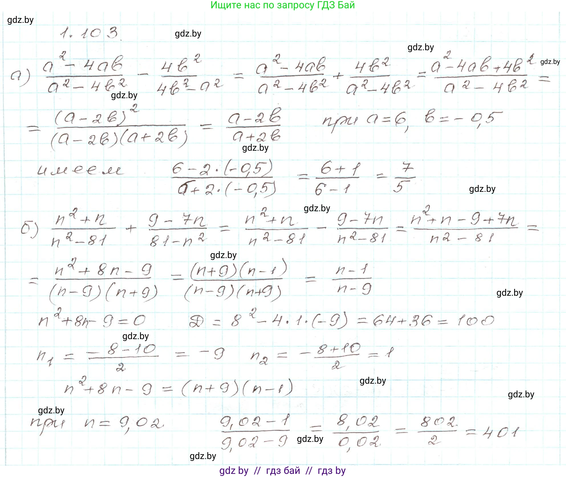
1.103. Найдите значение выражения:
а) $\frac{a^2 - 4ab}{a^2 - 4b^2} - \frac{4b^2}{4b^2 - a^2}$ при $a = 6, b = -0,5;$
б) $\frac{n^2 + n}{n^2 - 81} + \frac{9 - 7n}{81 - n^2}$ при $n = 9,02.$
Решение. №1.103 (с. 40)
Решение 2. №1.103 (с. 40)
а) Найдем значение выражения $\frac{a^2 - 4ab}{a^2 - 4b^2} - \frac{4b^2}{4b^2 - a^2}$ при $a = 6, b = -0,5$.
Сначала упростим выражение. Знаменатель второй дроби $4b^2 - a^2$ является противоположным знаменателю первой дроби $a^2 - 4b^2$.
$4b^2 - a^2 = -(a^2 - 4b^2)$
Поэтому мы можем переписать выражение, изменив знак перед второй дробью:
$\frac{a^2 - 4ab}{a^2 - 4b^2} - \frac{4b^2}{-(a^2 - 4b^2)} = \frac{a^2 - 4ab}{a^2 - 4b^2} + \frac{4b^2}{a^2 - 4b^2}$
Теперь, когда знаменатели одинаковы, сложим числители:
$\frac{a^2 - 4ab + 4b^2}{a^2 - 4b^2}$
Разложим числитель и знаменатель на множители.
Числитель $a^2 - 4ab + 4b^2$ является полным квадратом разности: $(a-2b)^2$.
Знаменатель $a^2 - 4b^2$ является разностью квадратов: $(a-2b)(a+2b)$.
Получаем:
$\frac{(a-2b)^2}{(a-2b)(a+2b)}$
Сократим дробь на общий множитель $(a-2b)$, при условии что $a-2b \neq 0$:
$\frac{a-2b}{a+2b}$
Подставим данные значения $a=6$ и $b=-0,5$ в упрощенное выражение:
$\frac{6 - 2(-0,5)}{6 + 2(-0,5)} = \frac{6 + 1}{6 - 1} = \frac{7}{5}$
Преобразуем неправильную дробь в смешанное число, выделив целую часть:
$\frac{7}{5} = 1\frac{2}{5}$
Ответ: $1\frac{2}{5}$.
б) Найдем значение выражения $\frac{n^2 + n}{n^2 - 81} + \frac{9 - 7n}{81 - n^2}$ при $n = 9,02$.
Упростим выражение. Приведем дроби к общему знаменателю. Заметим, что $81 - n^2 = -(n^2 - 81)$.
$\frac{n^2 + n}{n^2 - 81} + \frac{9 - 7n}{-(n^2 - 81)} = \frac{n^2 + n}{n^2 - 81} - \frac{9 - 7n}{n^2 - 81}$
Выполним вычитание дробей с одинаковыми знаменателями:
$\frac{(n^2 + n) - (9 - 7n)}{n^2 - 81} = \frac{n^2 + n - 9 + 7n}{n^2 - 81} = \frac{n^2 + 8n - 9}{n^2 - 81}$
Разложим числитель и знаменатель на множители.
Знаменатель $n^2 - 81$ — это разность квадратов: $(n-9)(n+9)$.
Для разложения числителя $n^2 + 8n - 9$ найдем корни соответствующего квадратного уравнения $n^2 + 8n - 9 = 0$. По теореме Виета, сумма корней равна -8, а произведение -9. Корни равны $n_1=1$ и $n_2=-9$.
Таким образом, $n^2 + 8n - 9 = (n-1)(n+9)$.
Выражение принимает вид:
$\frac{(n-1)(n+9)}{(n-9)(n+9)}$
Сократим дробь на общий множитель $(n+9)$, при условии что $n+9 \neq 0$:
$\frac{n-1}{n-9}$
Подставим значение $n=9,02$ в упрощенное выражение:
$\frac{9,02 - 1}{9,02 - 9} = \frac{8,02}{0,02}$
Вычислим значение:
$\frac{8,02}{0,02} = \frac{802}{2} = 401$
Ответ: $401$.
Другие задания:
Помогло решение? Оставьте отзыв в комментариях ниже.
Присоединяйтесь к Телеграм-группе @gdz_by_belarus
ПрисоединитьсяМы подготовили для вас ответ c подробным объяснением домашего задания по алгебре за 9 класс, для упражнения номер 1.103 расположенного на странице 40 к учебнику 2019 года издания для учащихся школ и гимназий.
Теперь на нашем сайте ГДЗ.ТОП вы всегда легко и бесплатно найдёте условие с правильным ответом на вопрос «Как решить ДЗ» и «Как сделать» задание по алгебре к упражнению №1.103 (с. 40), авторов: Арефьева (Ирина Глебовна), Пирютко (Ольга Николаевна), учебного пособия издательства Народная асвета.