Номер 1.110, страница 41 - гдз по алгебре 9 класс учебник Арефьева, Пирютко

Алгебра, 9 класс Учебник, авторы: Арефьева Ирина Глебовна, Пирютко Ольга Николаевна, издательство Народная асвета, Минск, 2019, голубого цвета

Авторы: Арефьева И. Г., Пирютко О. Н.

Тип: Учебник

Издательство: Народная асвета

Год издания: 2019 - 2026

Цвет обложки: голубой, синий с графиком

ISBN: 978-985-03-3077-2

Допущено Министерством образования Республики Беларусь

Популярные ГДЗ в 9 классе

Глава 1. Рациональные выражения. Параграф 3. Сложение и вычитание рациональных дробей - номер 1.110, страница 41.

№1.110 (с. 41)
Условие. №1.110 (с. 41)
скриншот условия
Алгебра, 9 класс Учебник, авторы: Арефьева Ирина Глебовна, Пирютко Ольга Николаевна, издательство Народная асвета, Минск, 2019, голубого цвета, страница 41, номер 1.110, Условие

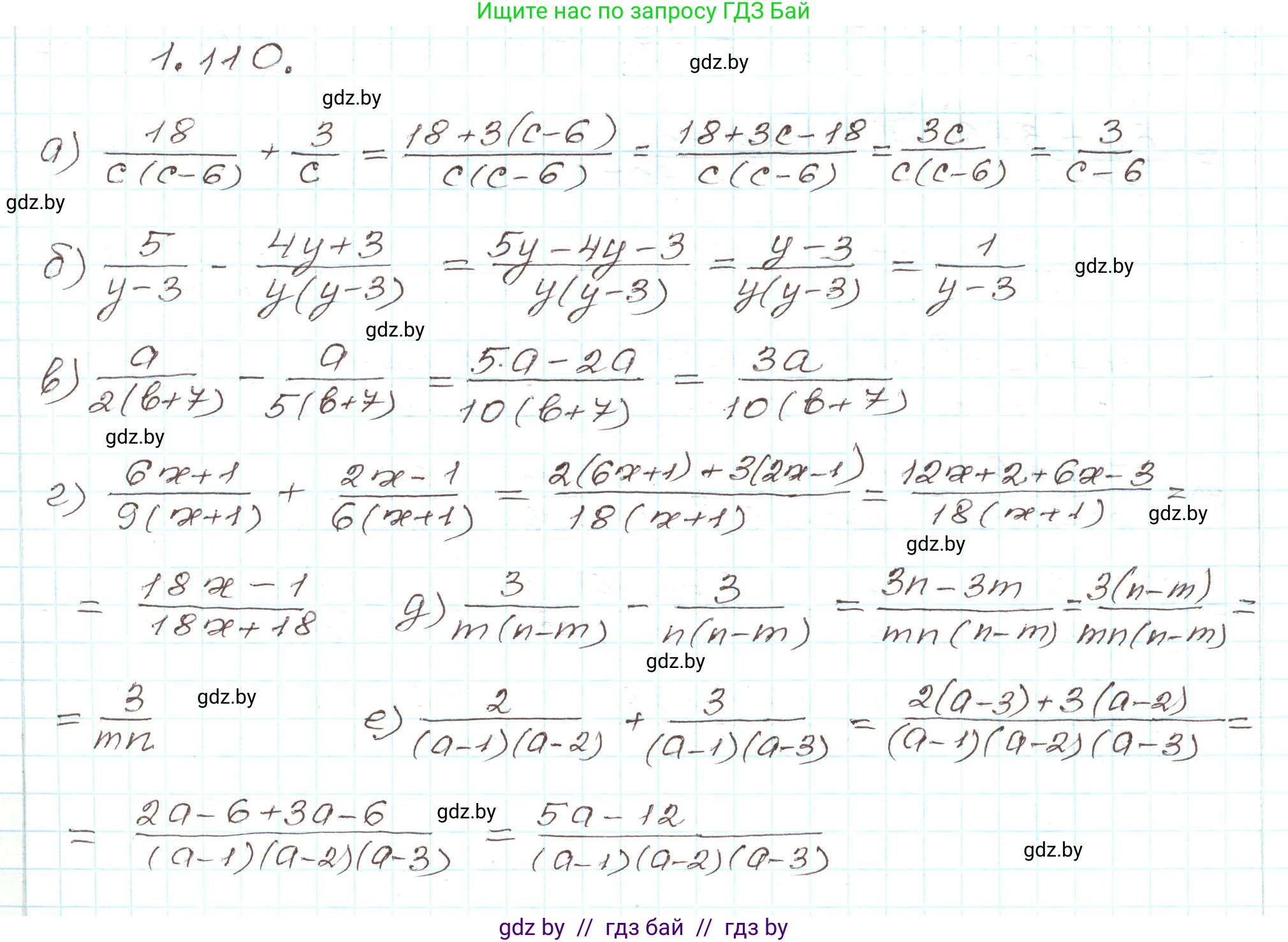
1.110. Выполните сложение или вычитание дробей:

а) $\frac{18}{c(c-6)} + \frac{3}{c}$;

б) $\frac{5}{y-3} - \frac{4y+3}{y(y-3)}$;

в) $\frac{a}{2(b+7)} - \frac{a}{5(b+7)}$;

г) $\frac{6x+1}{9(x+1)} + \frac{2x-1}{6(x+1)}$;

д) $\frac{3}{m(n-m)} - \frac{3}{n(n-m)}$;

е) $\frac{2}{(a-1)(a-2)} + \frac{3}{(a-1)(a-3)}$;

Решение. №1.110 (с. 41)
Алгебра, 9 класс Учебник, авторы: Арефьева Ирина Глебовна, Пирютко Ольга Николаевна, издательство Народная асвета, Минск, 2019, голубого цвета, страница 41, номер 1.110, Решение
Решение 2. №1.110 (с. 41)

а) Чтобы выполнить сложение дробей $\frac{18}{c(c-6)} + \frac{3}{c}$, необходимо привести их к общему знаменателю. Общим знаменателем является выражение $c(c-6)$. Дополнительный множитель для второй дроби равен $(c-6)$.

$\frac{18}{c(c-6)} + \frac{3(c-6)}{c(c-6)} = \frac{18 + 3c - 18}{c(c-6)} = \frac{3c}{c(c-6)}$

Сократим полученную дробь на общий множитель $c$ (при условии $c \neq 0$ и $c \neq 6$):

$\frac{3\cancel{c}}{\cancel{c}(c-6)} = \frac{3}{c-6}$

Ответ: $\frac{3}{c-6}$

б) Чтобы выполнить вычитание дробей $\frac{5}{y-3} - \frac{4y+3}{y(y-3)}$, приведем их к общему знаменателю $y(y-3)$. Дополнительный множитель для первой дроби равен $y$.

$\frac{5 \cdot y}{y(y-3)} - \frac{4y+3}{y(y-3)} = \frac{5y - (4y+3)}{y(y-3)}$

Раскроем скобки в числителе и упростим выражение:

$\frac{5y - 4y - 3}{y(y-3)} = \frac{y-3}{y(y-3)}$

Сократим дробь на $(y-3)$ (при условии $y \neq 0$ и $y \neq 3$):

$\frac{\cancel{y-3}}{y(\cancel{y-3})} = \frac{1}{y}$

Ответ: $\frac{1}{y}$

в) Чтобы выполнить вычитание дробей $\frac{a}{2(b+7)} - \frac{a}{5(b+7)}$, найдем общий знаменатель. Наименьшее общее кратное для коэффициентов 2 и 5 равно 10. Таким образом, общий знаменатель равен $10(b+7)$.

Дополнительный множитель для первой дроби — 5, для второй — 2.

$\frac{5a}{10(b+7)} - \frac{2a}{10(b+7)} = \frac{5a - 2a}{10(b+7)} = \frac{3a}{10(b+7)}$

Ответ: $\frac{3a}{10(b+7)}$

г) Чтобы выполнить сложение дробей $\frac{6x+1}{9(x+1)} + \frac{2x-1}{6(x+1)}$, найдем общий знаменатель. Наименьшее общее кратное для 9 и 6 равно 18. Общий знаменатель — $18(x+1)$.

Дополнительный множитель для первой дроби — 2, для второй — 3.

$\frac{2(6x+1)}{18(x+1)} + \frac{3(2x-1)}{18(x+1)} = \frac{12x + 2 + 6x - 3}{18(x+1)} = \frac{18x - 1}{18(x+1)}$

Так как степень числителя равна степени знаменателя, данная дробь является неправильной. Выделим целую часть:

$\frac{18x - 1}{18(x+1)} = \frac{18x + 18 - 19}{18(x+1)} = \frac{18(x+1)}{18(x+1)} - \frac{19}{18(x+1)} = 1 - \frac{19}{18(x+1)}$

Ответ: 1$ - \frac{19}{18(x+1)}$

д) Чтобы выполнить вычитание дробей $\frac{3}{m(n-m)} - \frac{3}{n(n-m)}$, приведем их к общему знаменателю $mn(n-m)$.

Дополнительный множитель для первой дроби — $n$, для второй — $m$.

$\frac{3n}{mn(n-m)} - \frac{3m}{mn(n-m)} = \frac{3n - 3m}{mn(n-m)}$

Вынесем в числителе общий множитель 3 за скобки:

$\frac{3(n-m)}{mn(n-m)}$

Сократим дробь на $(n-m)$ (при условии $m \neq 0, n \neq 0, n \neq m$):

$\frac{3\cancel{(n-m)}}{mn\cancel{(n-m)}} = \frac{3}{mn}$

Ответ: $\frac{3}{mn}$

е) Чтобы выполнить сложение дробей $\frac{2}{(a-1)(a-2)} + \frac{3}{(a-1)(a-3)}$, найдем общий знаменатель, который равен $(a-1)(a-2)(a-3)$.

Дополнительный множитель для первой дроби — $(a-3)$, для второй — $(a-2)$.

$\frac{2(a-3)}{(a-1)(a-2)(a-3)} + \frac{3(a-2)}{(a-1)(a-2)(a-3)} = \frac{2(a-3) + 3(a-2)}{(a-1)(a-2)(a-3)}$

Раскроем скобки в числителе и упростим:

$\frac{2a - 6 + 3a - 6}{(a-1)(a-2)(a-3)} = \frac{5a - 12}{(a-1)(a-2)(a-3)}$

Ответ: $\frac{5a - 12}{(a-1)(a-2)(a-3)}$

Помогло решение? Оставьте отзыв в комментариях ниже.

Присоединяйтесь к Телеграм-группе @gdz_by_belarus

Присоединиться

Мы подготовили для вас ответ c подробным объяснением домашего задания по алгебре за 9 класс, для упражнения номер 1.110 расположенного на странице 41 к учебнику 2019 года издания для учащихся школ и гимназий.

Теперь на нашем сайте ГДЗ.ТОП вы всегда легко и бесплатно найдёте условие с правильным ответом на вопрос «Как решить ДЗ» и «Как сделать» задание по алгебре к упражнению №1.110 (с. 41), авторов: Арефьева (Ирина Глебовна), Пирютко (Ольга Николаевна), учебного пособия издательства Народная асвета.