Номер 1.114, страница 41 - гдз по алгебре 9 класс учебник Арефьева, Пирютко

Алгебра, 9 класс Учебник, авторы: Арефьева Ирина Глебовна, Пирютко Ольга Николаевна, издательство Народная асвета, Минск, 2019, голубого цвета

Авторы: Арефьева И. Г., Пирютко О. Н.

Тип: Учебник

Издательство: Народная асвета

Год издания: 2019 - 2026

Цвет обложки: голубой, синий с графиком

ISBN: 978-985-03-3077-2

Допущено Министерством образования Республики Беларусь

Популярные ГДЗ в 9 классе

Глава 1. Рациональные выражения. Параграф 3. Сложение и вычитание рациональных дробей - номер 1.114, страница 41.

№1.114 (с. 41)
Условие. №1.114 (с. 41)
скриншот условия
Алгебра, 9 класс Учебник, авторы: Арефьева Ирина Глебовна, Пирютко Ольга Николаевна, издательство Народная асвета, Минск, 2019, голубого цвета, страница 41, номер 1.114, Условие

1.114. Примените формулу разности квадратов для разложения на множители знаменателей дробей и выполните действия:

а) $\frac{4d}{d^2 - 1} - \frac{4}{d + 1};$

б) $\frac{x^2 + 9}{x^2 - 9} - \frac{x}{x + 3};$

в) $\frac{2a + 1}{a^2 - 1} - \frac{1}{a - 1};$

г) $\frac{2}{3c + 2} - \frac{8}{4 - 9c^2};$

д) $\frac{4 + y}{4 - y} + \frac{y^2 + 16}{y^2 - 16};$

е) $\frac{b^2 + 4c^2}{b^2 - 4c^2} - \frac{b - 2c}{b + 2c};$

Решение. №1.114 (с. 41)
Алгебра, 9 класс Учебник, авторы: Арефьева Ирина Глебовна, Пирютко Ольга Николаевна, издательство Народная асвета, Минск, 2019, голубого цвета, страница 41, номер 1.114, Решение
Решение 2. №1.114 (с. 41)

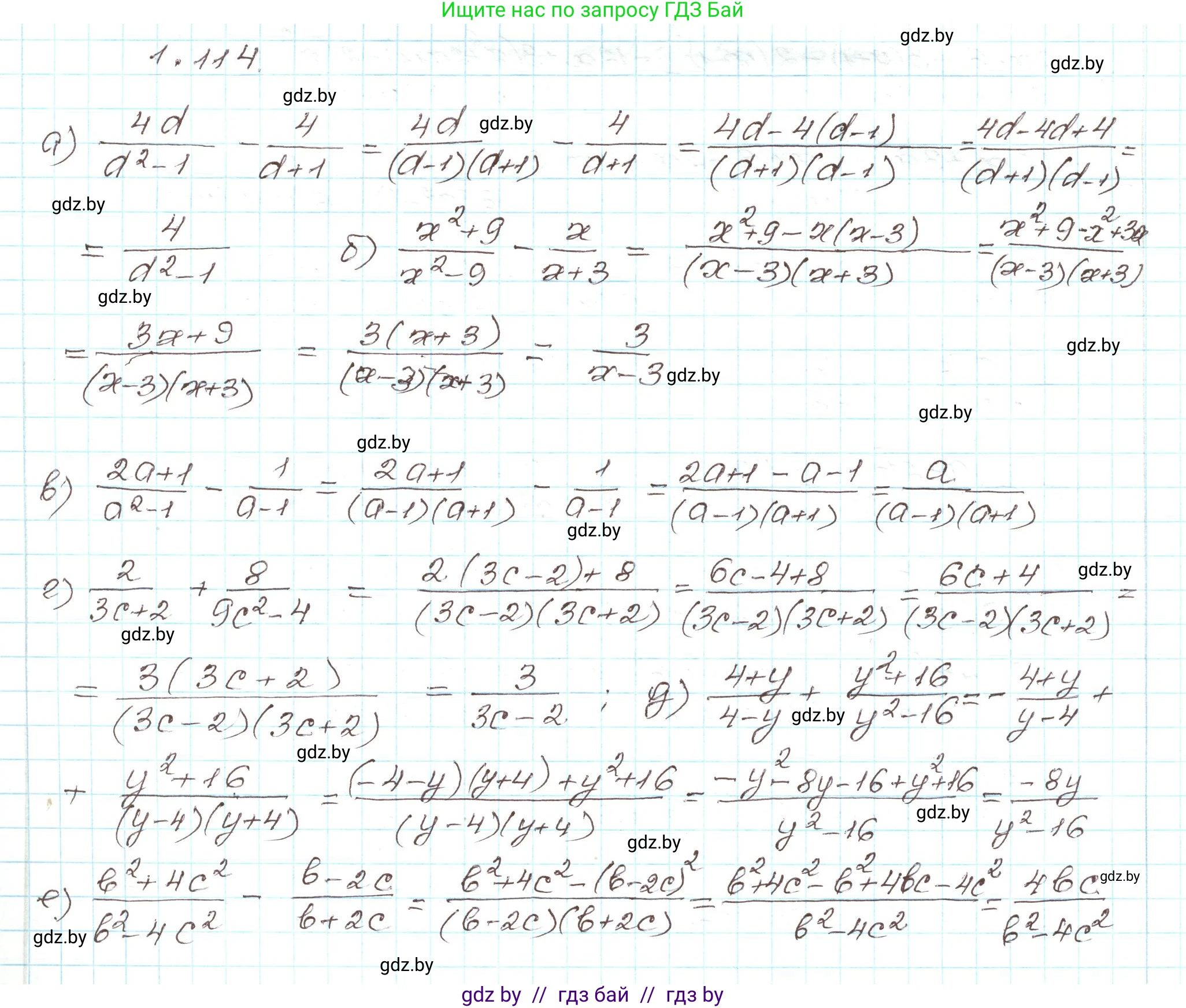
а) $\frac{4d}{d^2-1} - \frac{4}{d+1}$
Сначала разложим знаменатель $d^2-1$ на множители по формуле разности квадратов: $a^2-b^2 = (a-b)(a+b)$.
$d^2-1 = (d-1)(d+1)$.
Теперь приведем дроби к общему знаменателю $(d-1)(d+1)$ и выполним вычитание:
$\frac{4d}{(d-1)(d+1)} - \frac{4(d-1)}{(d+1)(d-1)} = \frac{4d - 4(d-1)}{(d-1)(d+1)} = \frac{4d - 4d + 4}{(d-1)(d+1)} = \frac{4}{d^2-1}$.
Ответ: $\frac{4}{d^2-1}$.

б) $\frac{x^2+9}{x^2-9} - \frac{x}{x+3}$
Разложим знаменатель $x^2-9$ по формуле разности квадратов: $x^2-9 = (x-3)(x+3)$.
Приведем дроби к общему знаменателю $(x-3)(x+3)$:
$\frac{x^2+9}{(x-3)(x+3)} - \frac{x(x-3)}{(x-3)(x+3)} = \frac{x^2+9 - x(x-3)}{(x-3)(x+3)} = \frac{x^2+9 - x^2 + 3x}{(x-3)(x+3)} = \frac{3x+9}{(x-3)(x+3)}$.
Вынесем в числителе общий множитель 3 за скобки и сократим дробь:
$\frac{3(x+3)}{(x-3)(x+3)} = \frac{3}{x-3}$.
Ответ: $\frac{3}{x-3}$.

в) $\frac{2a+1}{a^2-1} - \frac{1}{a-1}$
Разложим знаменатель $a^2-1$ на множители: $a^2-1 = (a-1)(a+1)$.
Приведем дроби к общему знаменателю $(a-1)(a+1)$:
$\frac{2a+1}{(a-1)(a+1)} - \frac{1(a+1)}{(a-1)(a+1)} = \frac{2a+1 - (a+1)}{(a-1)(a+1)} = \frac{2a+1 - a - 1}{(a-1)(a+1)} = \frac{a}{(a-1)(a+1)} = \frac{a}{a^2-1}$.
Ответ: $\frac{a}{a^2-1}$.

г) $\frac{2}{3c+2} - \frac{8}{4-9c^2}$
Разложим знаменатель $4-9c^2$ по формуле разности квадратов: $4-9c^2 = (2-3c)(2+3c)$.
Общий знаменатель дробей: $(2-3c)(2+3c)$.
$\frac{2(2-3c)}{(3c+2)(2-3c)} - \frac{8}{(2-3c)(2+3c)} = \frac{4-6c-8}{(2-3c)(2+3c)} = \frac{-4-6c}{(2-3c)(2+3c)}$.
Вынесем в числителе общий множитель -2 за скобки и сократим дробь:
$\frac{-2(2+3c)}{(2-3c)(2+3c)} = \frac{-2}{2-3c} = \frac{2}{3c-2}$.
Ответ: $\frac{2}{3c-2}$.

д) $\frac{4+y}{4-y} + \frac{y^2+16}{y^2-16}$
Разложим знаменатель $y^2-16$ на множители: $y^2-16 = (y-4)(y+4)$.
Для удобства приведения к общему знаменателю, изменим знак в знаменателе первой дроби: $\frac{4+y}{4-y} = -\frac{4+y}{y-4}$.
Теперь приведем дроби к общему знаменателю $(y-4)(y+4)$:
$-\frac{(y+4)(y+4)}{(y-4)(y+4)} + \frac{y^2+16}{(y-4)(y+4)} = \frac{-(y+4)^2 + y^2+16}{(y-4)(y+4)} = \frac{-(y^2+8y+16) + y^2+16}{(y-4)(y+4)} = \frac{-y^2-8y-16+y^2+16}{y^2-16} = \frac{-8y}{y^2-16}$.
Ответ: $\frac{-8y}{y^2-16}$.

е) $\frac{b^2+4c^2}{b^2-4c^2} - \frac{b-2c}{b+2c}$
Разложим знаменатель $b^2-4c^2$ на множители: $b^2-4c^2 = (b-2c)(b+2c)$.
Приведем дроби к общему знаменателю $(b-2c)(b+2c)$:
$\frac{b^2+4c^2}{(b-2c)(b+2c)} - \frac{(b-2c)(b-2c)}{(b+2c)(b-2c)} = \frac{b^2+4c^2 - (b-2c)^2}{(b-2c)(b+2c)}$.
Раскроем квадрат разности в числителе: $(b-2c)^2 = b^2-4bc+4c^2$.
$\frac{b^2+4c^2 - (b^2-4bc+4c^2)}{(b-2c)(b+2c)} = \frac{b^2+4c^2 - b^2 + 4bc - 4c^2}{b^2-4c^2} = \frac{4bc}{b^2-4c^2}$.
Ответ: $\frac{4bc}{b^2-4c^2}$.

Помогло решение? Оставьте отзыв в комментариях ниже.

Присоединяйтесь к Телеграм-группе @gdz_by_belarus

Присоединиться

Мы подготовили для вас ответ c подробным объяснением домашего задания по алгебре за 9 класс, для упражнения номер 1.114 расположенного на странице 41 к учебнику 2019 года издания для учащихся школ и гимназий.

Теперь на нашем сайте ГДЗ.ТОП вы всегда легко и бесплатно найдёте условие с правильным ответом на вопрос «Как решить ДЗ» и «Как сделать» задание по алгебре к упражнению №1.114 (с. 41), авторов: Арефьева (Ирина Глебовна), Пирютко (Ольга Николаевна), учебного пособия издательства Народная асвета.